Тесты онлайн, бесплатный конструктор тестов. Психологические тестирования, тесты на проверку знаний.
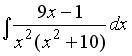
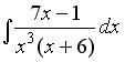
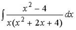
Список вопросов базы знанийМатематический анализ (курс 2)Вопрос id:773660 Несобственный интеграл ![]() ?) равен 1/2 ?) равен 1 ?) расходится ?) равен 0 Вопрос id:773661 Несобственный интеграл ![]() ?) равен 1 ?) расходится ?) равен 1/25 ?) равен 0 Вопрос id:773662 Несобственный интеграл ![]() ?) равен 0 ?) расходится ?) равен ![]() ?) равен 1 Вопрос id:773663 Несобственный интеграл ![]() ?) равен ![]() ?) равен 0 ?) расходится ?) равен 2 Вопрос id:773664 Несобственный интеграл равен ___ (ответ дать в виде дроби a/b)Вопрос id:773665 Несобственный интеграл равен ___ (ответ дать в виде целого числа)Вопрос id:773666 Несобственный интеграл равен ___ (ответ дать в виде целого числа)Вопрос id:773667 Несобственный интеграл от непрерывной, но___ на интервале [a,b) функции сходится, если существует конечный предел ![]() Вопрос id:773668 Несобственный интеграл по бесконечному промежутку интегрирования сходится, если существует конечный ___ .Вопрос id:773669 Объем тела, образованного вращением вокруг оси OX фигуры, ограниченной линиями и , равен разности интегралов?) ![]() ?) ![]() ?) ![]() ?) ![]() Вопрос id:773670 Объем тела, образованного вращением вокруг оси OX фигуры, ограниченной линиями и , вычисляется с помощью определенного интеграла?) ![]() ?) ![]() ?) ![]() ?) ![]() Вопрос id:773671 Объем тела, образованного вращением вокруг оси OX фигуры, ограниченной линиями и , равен?) 1 ?) 1/2 ?) ![]() ?) ![]() Вопрос id:773672 Объем тела, образованного вращением вокруг оси OX фигуры, ограниченной линиями , вычисляется с помощью определенного интеграла?) ![]() ?) ![]() ?) ![]() ?) ![]() Вопрос id:773674 Определённый и неопределенный интегралы связаны формулой ___: ![]() Вопрос id:773675 Определенный интеграл равен…?) 0 ?) - 1 ?) 8 ?) 1 Вопрос id:773676 Определенный интеграл заменой переменной сводится к интегралу?) ![]() ?) ![]() ?) ![]() ?) ![]() Вопрос id:773678 Определенный интеграл равен ___ (ответ дать в виде целого числа)Вопрос id:773680 Определенный интеграл равен ___ (ответ дать в виде целого числа)Вопрос id:773681 Определенный интеграл равен ___ (ответ дать в виде целого числа)Вопрос id:773682 Определенный интеграл равен ___ (ответ дать в виде целого числа)Вопрос id:773683 Определенный интеграл равен ___ (ответ дать в виде дроби a/b)Вопрос id:773684 Первообразной функцией для данной функции f(x) называется функция F(x), производная которой равна f(x), или ___которой равен f(x)dx. Вопрос id:773686 Первообразными функции являются…?) ![]() ?) ![]() ?) ![]() ?) ![]() Вопрос id:773687 Первообразными функции являются…?) ![]() ?) ![]() ?) ![]() ?) ![]() Вопрос id:773688 Площадь криволинейной трапеции равна ___ (ответ дать в виде дроби a/b)Вопрос id:773689 Площадь криволинейной трапеции равна ___ (ответ дать в виде дроби a/b)Вопрос id:773691 Площадь криволинейной трапеции, заключенной между кривыми и , равна ___ (ответ дать в виде дроби a/b)Вопрос id:773693 Площадь криволинейной трапеции, заключенной между кривыми и ( ), равна ___ (ответ дать в виде дроби a/b)Вопрос id:773694 Площадь криволинейной трапеции, заключенной между кривыми , , равна ___ (ответ дать в виде дроби a/b)Вопрос id:773695 Площадь криволинейной трапеции, заключенной между кривыми и , равна ___ (ответ дать в виде дроби a/b)Вопрос id:773697 Площадь криволинейной трапеции, заключенной между кривыми , и , равна ___ (ответ дать в виде дроби a/b)Вопрос id:773698 Площадь криволинейной трапеции, заключенной между линиями , , равна ___ (ответ дать в виде целого числа)Вопрос id:773699 Площадь области, ограниченной кривыми и , вычисляется с помощью определенного интеграла?) ![]() ?) ![]() ?) ![]() ?) ![]() Вопрос id:773701 Площадь фигуры, изображенной на рисунке, ![]() определяется интегралом … ?) ![]() ?) ![]() ?) ![]() ?) ![]() Вопрос id:773703 Площадь фигуры, ограниченной линиями , , , вычисляется с помощью определенного интеграла…?) ![]() ?) ![]() ?) ![]() ?) ![]() Вопрос id:773707 При взятии соответствующих интегралов необходимо применить следующие методы интегрирования
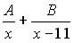
Вопрос id:773709 Рационализирующую подстановку используют для вычисления следующих интегралов ?) ![]() ?) ![]() ?) ![]() ?) ![]() Вопрос id:773711 Случайные события А и В, удовлетворяющие условиям , , , являются …?) совместными и зависимыми ?) совместными и независимыми ?) несовместными и независимыми ?) несовместными и зависимыми Вопрос id:773712 Теорема о среднем значении: Если функция f (x) непрерывна на отрезке [a,b], то существует ___ ξ такая, что .Вопрос id:773713 Укажите правильные действия, выполненные над определенным интегралом ![]() ?) ![]() ?) .?) ![]() ?) ![]() Вопрос id:773714 Укажите правильные действия, выполненные над определённым интегралом ![]() ?) ![]() ?) ![]() ?) ![]() ?) ![]() Вопрос id:773716 Укажите соответствие между интегралом и его первообразной
Вопрос id:773717 Укажите соответствие между свойством определённого интеграла и формулой.
Вопрос id:773719 Укажите соответствие между типом интеграла и методом его решения
Вопрос id:773721 Установите соответствие между заштрихованными фигурами и определенными интегралами, которые выражают площади этих фигур.
Вопрос id:773724 Установите соответствие между интегралами и их значениями
Вопрос id:773726 Установите соответствие между неопределенными интегралами и разложениями подынтегральных функций на элементарные дроби.
Вопрос id:773727 300 руб. положили в банк под 9% годовых. Через год сумма вклада будет (наберите число) Вопрос id:773730 Верны ли определения? A) Определенный интеграл Римана от функции f(x) на отрезке [a,b] - предел интегральных сумм при условии B) Аддитивность определенного интеграла – свойство, состоящее в том, что Подберите правильный ответ ?) А- нет, В- да ?) А-да, В-нет ?) А- да, В- да ?) А- нет, В- нет Вопрос id:773733 Верны ли определения? A) Формула объема тела через площади поперечных сечений B) Оценка модуля интеграла: неравенство Подберите правильный ответ ?) А- да, В- да ?) А-да, В-нет ?) А- нет, В- да ?) А- нет, В- нет |
Copyright tests.ithead.ru 2013-2026






равен ___ (ответ дать в виде дроби a/b)
равен ___ (ответ дать в виде целого числа)
равен ___ (ответ дать в виде целого числа)
.
и
, равен разности интегралов



и
, вычисляется с помощью определенного интеграла



и
, равен

, вычисляется с помощью определенного интеграла




равен…
заменой переменной
сводится к интегралу



равен ___ (ответ дать в виде целого числа)
равен ___ (ответ дать в виде целого числа)
равен ___ (ответ дать в виде целого числа)
равен ___ (ответ дать в виде целого числа)
равен ___ (ответ дать в виде дроби a/b)
являются…



являются…



равна ___ (ответ дать в виде дроби a/b)
равна ___ (ответ дать в виде дроби a/b)
и
, равна ___ (ответ дать в виде дроби a/b)
и
(
), равна ___ (ответ дать в виде дроби a/b)
,
, равна ___ (ответ дать в виде дроби a/b)
и
, равна ___ (ответ дать в виде дроби a/b)
,
и
, равна ___ (ответ дать в виде дроби a/b)
,
, равна ___ (ответ дать в виде целого числа)
и
, вычисляется с помощью определенного интеграла








,
,
, вычисляется с помощью определенного интеграла…











,
,
, являются …
.

.






.
.































, обозначаемый 
=
+
для любого 
где
- площадь сечения тела плоскостью 
, выполняющееся для любой интегрируемой функции 