Тесты онлайн, бесплатный конструктор тестов. Психологические тестирования, тесты на проверку знаний.
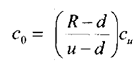
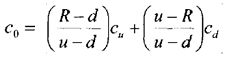
Список вопросов базы знанийМатематические модели финансовых рисковВопрос id:777347 Актуарные расчеты по временному признаку классифицируются на актуарные расчеты плановые и ?) оперативные ?) тактические ?) корректирующие ?) стратегические Вопрос id:777348 Актуарные расчеты по отраслям страхования классифицируются на актуарные расчеты по рисковым видам страхования и актуарные расчеты по ?) страхованию бизнеса ?) страхованию жизни ?) государственным видам страхования ?) массовым видам страхования Вопрос id:777350 Биржевая торговля опционами оперирует партиями в ___ акций ?) 10 ?) 1000 ?) 50 ?) 5 Вопрос id:777351 Брутто-ставка договора страхования рассчитывается по формуле …, где Тб-с - тарифная брутто-ставка; Тн-с - тарифная нетто-ставка; f - доля нагрузки в брутто-ставке ?) Тб-с = f × Тн-с ?) ![]() ?) Тб-с = Тн-с - f ?) Тб-с = Тн-с + f Вопрос id:777352 В актуарной математике в качестве первичной характеристики продолжительности жизни используется ?) кривая смертей ?) табицы смертности ?) норма доходности ?) состояние здоровья страхователя Вопрос id:777353 В риск-нейтральной оценке стоимость опциона в начале периода с0 определяется по формуле …, где си - стоимость опциона в случае роста цены акции; сd - стоимость опциона в случае падения цены акции; n - количество акций; и = 1 + процент прироста цены акции; d = 1 - процент падения цены акции; R = 1 + ставка без риска ?) ![]() ?) ![]() ?) ![]() ?) ![]() Вопрос id:777354 Величина волатильности опционного контракта, предполагаемая рынком, - это ___ волатильность для данного опционного контракта ?) текущая ?) внутренняя ?) затратная ?) внешняя Вопрос id:777355 Верны ли определения?А) Внутренняя стоимость колл-опциона - это величина, на которую цена базового актива превышает цену исполнения В) Внутренняя стоимость пут-опциона - это величина, на которую цена исполнения превышает цену базового актива. Подберите правильный ответ ?) А- нет, В- нет ?) А- да, В- нет ?) А-да, В-да ?) А- нет, В- да Вопрос id:777356 Верны ли определения?А) Держатель опциона - это покупатель опциона В) Держатель опциона - это продавец опциона. Подберите правильный ответ ?) А- да, В- нет ?) А-да, В-да ?) А- нет, В- да ?) А- нет, В- нет Вопрос id:777357 Верны ли определения?А) Количество базисного актива, которое является объектом приобретения после исполнения одного опционного контракта, - единица торговли опциона с физической поставкой В) Количество базисного актива, которое является объектом приобретения после исполнения одного опционного контракта, - единица торговли опциона с натуральной поставкой. Подберите правильный ответ ?) А-да, В-да ?) А- нет, В- да ?) А- да, В- нет ?) А- нет, В- нет Вопрос id:777358 Верны ли определения?А) Колл опционы - это опционы на покупку В) Пут опционы - это опционы на покупку. Подберите правильный ответ ?) А- нет, В- да ?) А- да, В- нет ?) А- нет, В- нет ?) А-да, В-да Вопрос id:777359 Верны ли определения?А) Положительный знак дельты позиции инвестора говорит о том, что он будет выигрывать от роста цены базисного актива В) Положительный знак дельты позиции инвестора говорит о том, что он будет проигрывать от падения цены базисного актива. Подберите правильный ответ ?) А-да, В-да ?) А- нет, В- да ?) А- нет, В- нет ?) А- да, В- нет Вопрос id:777360 Верны ли определения?А) Страховые тарифы по обязательным видам страхования устанавливаются в законах об обязательном страховании В) Страховые тарифы по обязательным видам страхования рассчитываются страховщиками самостоятельно на основе актуарных расчетов. Подберите правильный ответ ?) А- нет, В- нет ?) А- нет, В- да ?) А-да, В-да ?) А- да, В- нет Вопрос id:777361 Верны ли утверждения?А) Опционная премия указывается в расчете на одну акцию В) Опционная премия указывается в расчете на сто акций. Подберите правильный ответ ?) А- да, В- нет ?) А- нет, В- да ?) А- нет, В- нет ?) А-да, В-да Вопрос id:777362 Верны ли утверждения?А) Опционы на акции с высокой волатильностью имеют более высокие премии, чем на акции с низкой волатильностью В) Опционы на акции с низкой волатильностью имеют более высокие премии, чем на акции с высокой волатильностью. Подберите правильный ответ ?) А- нет, В- да ?) А-да, В-да ?) А- нет, В- нет ?) А- да, В- нет Вопрос id:777363 Верны ли утверждения?А) Покупатель опционов не обязан непременно купить соответствующие акции В) Покупатель опционов обязан непременно купить соответствующие акции. Подберите правильный ответ ?) А- да, В- нет ?) А- нет, В- нет ?) А-да, В-да ?) А- нет, В- да Вопрос id:777364 Верны ли утверждения?А) При оценке премии опциона не должно приниматься во внимание отношение инвесторов к риску В) При оценке премии опциона принимается во внимание отношение инвесторов к риску. Подберите правильный ответ ?) А-да, В-да ?) А- нет, В- да ?) А- нет, В- нет ?) А- да, В- нет Вопрос id:777365 Верны ли утверждения?А) Чем больше срок действия опциона, тем выше его цена В) Чем больше срок действия опциона, тем ниже его цена. Подберите правильный ответ ?) А- нет, В- нет ?) А- нет, В- да ?) А- да, В- нет ?) А-да, В-да Вопрос id:777366 Впервые биномиальный подход к оценке стоимости опциона был предложен ?) Дж. Коксом ?) У.Шарпом ?) М.Рубинштейном ?) С.Россом Вопрос id:777367 Дельта опциона колл определяется по формуле …, где ∆с - дельта опциона колл; дс -небольшое изменение цены опциона колл; дS - небольшое изменение цены базисного актива ?) ∆с = дс /дS ?) ∆с = дс + дS ?) ∆с = дс - дS ?) ∆с = дS / дс Вопрос id:777368 Дельта опциона пут определяется по формуле …, где ∆р - дельта опциона пут; др - небольшое изменение цены опциона пут; дS - небольшое изменение цены базисного актива ?) ∆р = дS / др ?) ∆р = др - дS ?) ∆р = др /дS ?) ∆р = др + дS Вопрос id:777369 Дельта-хеджированной позицией вкладчика по акциям называют позицию с дельтой равной ?) 0,5 ?) 1 ?) 0 ?) -1 Вопрос id:777370 Для европейских опционов колл и пут на один и тот же базисный актив с одинаковыми ценами исполнения и датами истечения контрактов справедливо равенство ?) Дельта опциона колл / дельта опциона пут = 1 ?) Дельта опциона колл + дельта опциона пут = 1 ?) Дельта опциона колл - дельта опциона пут = 1 ?) Дельта опциона колл × дельта опциона пут = 1 Вопрос id:777371 Для определения коэффициента хеджирования позиции по базисному активу с использованием дельты опциона используется отношение ?) ![]() ?) ![]() ?) ![]() ?) ![]() Вопрос id:777372 Для хеджирования позиции по базисному активу с помощью опционов требуемое количество опционных контрактов определяют по формуле ?) количество опционных контрактов =100/дельта ?) количество опционных контрактов =1/дельта ?) количество опционных контрактов =1 - дельта ?) количество опционных контрактов =1 + дельта Вопрос id:777373 Документ, который позволяет определить себестоимость услуги, оказываемой страховщиком, - это ?) актуарная накладная ?) актуарная калькуляция ?) акт актуарных расчетов ?) актуарная счет-фактура Вопрос id:777374 Если дельта задается в процентах, то дельта длинной позиции по базисному активу равна ?) 100 ?) -1 ?) 0 ?) 1 Вопрос id:777375 Если дельта задается в процентах, то дельта короткой позиции по базисному активу равна ?) -1 ?) - 100 ?) 1 ?) 0 Вопрос id:777376 Если опционный контракт включает 100 акций, тогда дельта 0,5 эквивалентна для контракта ___ акциям ?) 50 ?) 10 ?) 500 ?) 20 Вопрос id:777377 Если при расчете резерва используется особая таблица смертности и измененная техническая процентная ставка, то резерв называется ?) специальным ?) пассивным ?) коммерческим ?) полным Вопрос id:777378 Инвестор, который не принимает во внимание риск по инвестициям, - это инвестор ___ к риску ?) нейтральный ?) склонный ?) активный ?) пассивный Вопрос id:777379 Интенсивность смертности (μx) определяется по формуле …, где f(x) - функция смертей; s(х) - функция выживания ?) μx = f(x)× s(х) ?) μx = f(x)/ s(х) ?) μx = f(x) - s(х) ?) μx = f(x)+ s(х) Вопрос id:777380 Комиссионные вознаграждения страховым агентам и брокерам составляют основную часть ___ расходов ?) аквизиционных ?) инкассационных ?) ликвидационных ?) организационных Вопрос id:777381 Конкретные акции, купля - продажа которых является объектом опционного права, - это ___ акции ?) физические ?) базовые ?) нормативными ?) действующие Вопрос id:777382 Коэффициент дельта базисных активов всегда равен ?) 1 ?) 0 ?) 0,5 ?) -1 Вопрос id:777383 Коэффициент дельта фьючерсного контракта на активы с постоянной дивидендной доходностью определяется по формуле …, где q - постоянная дивидендная доходность при непрерывном начислении; r - безрисковая процентная ставка при непрерывном начислении; Т - дата поставки активов ?) ∆F = 10 (r × q)(T-t ) ?) ∆F = e (r - q)(T-t ) ?) ∆F = e (r / q)(T -t ) ?) ∆F = e (r + q)(T-t ) Вопрос id:777384 Коэффициент кумуляции риска определяется как …, где М - число пострадавших объектов;C - число страховых событий; ?) M - C ?) M/C ?) M × C ?) M + C Вопрос id:777385 Коэффициент чувствительности премии опционов, который выражает изменение цены опциона в результате изменения волатильности на 1 %, - это коэффициент ?) дельта ?) омега ?) тета ?) гамма Вопрос id:777386 Коэффициент чувствительности премии опционов, который называют «индикатором убывания временной стоимости опциона», - это коэффициент ?) омега ?) гамма ?) тета ?) дельта Вопрос id:777387 Коэффициент чувствительности премии опционов, который показывает, как меняется цена опциона в зависимости только от фактора времени, - это коэффициент ?) дельта ?) тета ?) гамма ?) омега Вопрос id:777388 Мера чувствительности и скорость изменения премии опциона относительно цены базисного актива - это коэффициент чувствительности премии опционов ?) гамма ?) омега ?) тета ?) дельта Вопрос id:777389 Модель стоимости опциона, в которой последовательным дисконтированием цен опциона определяют его значение в начальный момент времени, - это модель ?) Блэка-Шоулса ?) биномиальная ?) нормативная ?) балансовая Вопрос id:777390 Наиболее широко используемой моделью оценки стоимости опционов является модель ?) биномиальная ?) балансовая ?) Блэка-Шоулса ?) нормативная Вопрос id:777391 Норма убыточности определяется как …, где Sв - общая сумма страховых выплат; П - общая сумма страховых премий ?) (Sв + П)×100% ?) Sв × П×100% ?) (Sв - П)×100% ?) Sв / П×100% Вопрос id:777392 Объявление о продаже компанией дополнительных акции старым акционерам по льготным ценам - это ?) выпуск прав ?) выпуск обязательств ?) дробление акций ?) дополнительный выпуск Вопрос id:777393 Обязанности покупателя опционного контракта заключаются в ?) своевременной уплате премии ?) предоставлении гарантий выполнения своих обязательств ?) залоге денег ?) залоге ценных бумаг Вопрос id:777394 Ожидаемая величина ущерба, выступающая в качестве минимальной цены за риск, называется чистой нетто- ?) рентой ?) суммой ?) нагрузкой ?) премией Вопрос id:777395 Определенная договором страхования или установленная законом денежная сумма, исходя из которой устанавливаются размеры страхового взноса и страховой выплаты, - это страховая (-ой) ?) премия ?) тариф ?) сумма ?) рента Вопрос id:777396 Опцион, условия контракта которого могут быть реализованы в любое время, - это ___ опцион ?) российский ?) европейский ?) американский ?) азиатский Вопрос id:777397 Опцион, условия контракта которого могут быть реализованы только по истечении указанного в нем срока, - это ___ опцион ?) европейский ?) азиатский ?) российский ?) американский |
Copyright tests.ithead.ru 2013-2026








