Тесты онлайн, бесплатный конструктор тестов. Психологические тестирования, тесты на проверку знаний.
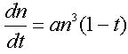
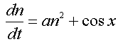
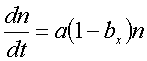
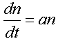
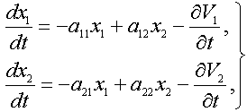
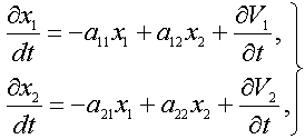
Список вопросов базы знанийИсследование социально-экономических и политических процессов.Вопрос id:27272 Тема/шкала: «Основные понятия системного подхода. Фундаментальные свойства социально-экономических и политических систем» Открытость экономической или политической системы проявляется в ?) управляемости и устойчивости процессов изменения состояний системы ?) целевой и ценностной ориентированности ?) иерархичности и историчности существования системы многоаспектности и коммуникативности эмпирической согласованности и квантованности семантической интерпретируемости реальной системы расплывчатости границ системы и ее коммуникативности Вопрос id:27273 Тема/шкала: «Основные понятия системного подхода. Фундаментальные свойства социально-экономических и политических систем» Обратная связь – это ?) воздействие результатов функционирования на характер этого функционирования ?) интегративное свойство реальной системы ?) частичный образ реальной системы ?) особая функциональная подсистема Вопрос id:27274 Тема/шкала: «Основные понятия системного подхода. Фундаментальные свойства социально-экономических и политических систем» Целесообразность социально-политической системы заключается в ?) целевой и ценностной ориентированности существования реальной системы ?) наблюдаемости и прогнозируемости изменения состояния системы ?) активности существования элементов системы и ее подсистем ?) наличии внутренних целей элементов системы ?) наличии целевых установок существования системы ?) ценностной соразмерности и законоподчиненности процессов существования систем ?) согласованности существования структурных компонент реальной систем ?) ресурсной обеспеченности существования системы Вопрос id:27275 Тема/шкала: «Основные понятия системного подхода. Фундаментальные свойства социально-экономических и политических систем» Внешнее окружение (или внешняя среда) – это ?) часть внешнего мира, непосредственно взаимодействующая с системой или оказывающая на нее существенное влияние ?) активное отношение, существующее между структурными образованиями ?) часть системы, выступающая по отношению к остальной части системы как целостное структурное образование ?) элемент системы Вопрос id:27276 Тема/шкала: «Основные понятия системного подхода. Фундаментальные свойства социально-экономических и политических систем» Граница является ?) особой функциональной подсистемой ?) активным отношением, существующим между структурными образованиями ?) пространственно-временным континуумом. ?) наименьшей частью системы ?) отношением, устанавливающимся посредством обменных взаимодействий Вопрос id:27277 Тема/шкала: «Основные понятия системного подхода. Фундаментальные свойства социально-экономических и политических систем» Подсистема – это ?) пространственно-временной континуум ?) активное отношение, существующее между структурными образованиями ?) наименьшая часть системы, внутренняя структура которой не проявляется во взаимодействии с системой-наблюдателем в течение заданного отрезка времени ?) частичный образ некоторой реальной системы ?) часть системы, выступающая по отношению ко всей остальной части системы как целостное структурное образование, обладающее признаками системы Вопрос id:27278 Тема/шкала: «Основные понятия системного подхода. Фундаментальные свойства социально-экономических и политических систем» Элемент реальной системы – это ?) часть системы, выступающая по отношению к остальной части системы как некоторое целостное структурное образование, обладающее признаками системы ?) наименьшая часть системы, внутренняя структура которой не проявляется во взаимодействии с системой-наблюдателем в течение заданного отрезка времени ?) особая функциональная подсистема Вопрос id:27279 Тема/шкала: «Основные понятия системного подхода. Фундаментальные свойства социально-экономических и политических систем» Целесообразность экономической открытости страны проявляется в: ?) сбалансированности цен на промышленные и сельскохозяйственные товары ?) ограничении внешнего долга страны ?) дефиците государственного бюджета ?) оптимальном уровне таможенных пошлин ?) финансовой поддержке собственных товаропроизводителей Вопрос id:27280 Тема/шкала: «Основные понятия системного подхода. Фундаментальные свойства социально-экономических и политических систем» Целостность экономической или социально-политической системы проявляется ?) в пространственной связности и временной согласованности структурных компонент системы ?) в единстве и согласованности существования элементов системы ?) в целевой и ценностной ориентированности существования структурных компонент системы ?) в разнообразии и эквифинальности эволюции системы ?) в пространственном взаимодействии и временном взаимопроникновении структурных компонент системы Вопрос id:27281 Тема/шкала: «Основные понятия системного подхода. Фундаментальные свойства социально-экономических и политических систем» Подсистемами общества являются: ?) минеральные ресурсы ?) предприятия ?) граждане ?) социальные классы, слои ?) территория Вопрос id:27282 Тема/шкала: «Основные понятия системного подхода. Фундаментальные свойства социально-экономических и политических систем» Целостность социально-политической системы проявляется в ?) независимости средств массовой информации ?) всеобщих выборах в высший законодательный орган страны ?) реально действующем кодексе Законов ?) многопартийности ?) наличии трех независимых ветвей власти ?) разделении светской и духовной жизни ?) наличии сети железных и автомобильных дорог Вопрос id:27283 Тема/шкала: «Основные понятия системного подхода. Фундаментальные свойства социально-экономических и политических систем» Элементами общества являются: ?) граждане ?) населенные пункты ?) предприятия ?) политические партии ?) регионы ?) животный мир страны ?) территория страны ?) энергетические ресурсы страны ?) государственные институты Вопрос id:27284 Тема/шкала: «Основные понятия системного подхода. Фундаментальные свойства социально-экономических и политических систем» Интегративность социально-политической системы – это ?) функциональное свойство элементов системы ?) целостность системы и ее окружения ?) функциональное свойство подсистем системы ?) взаимосвязь системы и метасистемы ?) общее свойство реальной системы, присущее ей в целом, и не присущее отдельным элементам Вопрос id:27285 Тема/шкала: «Основные понятия системного подхода. Фундаментальные свойства социально-экономических и политических систем» Эквифинальность реальной системы – это ?) свойство системы, характеризующее ситуационную направленность (ориентированность) ее поведения в пространстве ?) свойство системы, заключающееся в наличии между системой и внешней средой множества связей ?) способность системы предвидеть и предотвращать внутренние и внешние угрозы ?) квантованность и непредсказуемость поведения реальной системы ?) пространственная связность структурных элементов и временная согласованность их существования ?) способность системы достигать независимо от времени и начальных условий состояния, которое определяется внутренними параметрами системы Вопрос id:27286 Тема/шкала: «Принципы системного подхода при исследовании социально-экономических и политических процессов» Основным принципом системного подхода является ?) принцип иерархичности; ?) принцип системности; ?) принцип интегральности; ?) принцип формализма (оформленности); ?) принцип системной реальности; ?) принцип физической содержательности. ?) принцип системного замыкания; Вопрос id:27287 Тема/шкала: «Принципы системного подхода при исследовании социально-экономических и политических процессов» Принцип формализма при исследовании социально-экономических и политических процессов требует ?) замыкания исходного предмета задачи, используемых методов и результатов решения в соответствующие системные оболочки с целью превращения их в так называемые минимальные информационные системы и придания им свойства целостности, многоаспектности, целесообразности, открытости ?) многоаспектного, целостного, целесообразного, открытого подхода к исследуемому предмету задачи и процессу ее решения ?) чтобы в пределах области своей применимости формальные модели не противоречили известным эмпирическим данным ?) многоуровневого и исторического подходов к исследуемому предмету задачи и процессу его решения ?) использования формальных моделей предмета задачи и процесса ее решения ?) проведения только таких исследований, которые имеют достаточную практическую ценность, компенсирующую за счет полученного эффекта затраты тех или иных ценностей на проведение этих исследований Вопрос id:27288 Тема/шкала: «Принципы системного подхода при исследовании социально-экономических и политических процессов» Принцип иерархичности при исследовании социально-экономических и политических процессов требует ?) чтобы в пределах области своей применимости формальные модели не противоречили известным эмпирическим данным ?) использования формальных моделей предмета задачи и процесса ее решения; ?) замыкания исходного предмета задачи, используемых методов и результатов решения в соответствующие системные оболочки с целью превращения их в так называемые минимальные информационные системы и придания им свойства целостности, многоаспектности, целесообразности, открытости ?) проведения только таких исследований, которые имеют достаточную практическую ценность, компенсирующую за счет полученного эффекта затраты тех или иных ценностей на проведение этих исследований ?) многоуровневого и исторического подходов к исследуемому предмету задачи и процессу его решения ?) многоаспектного, целостного, целесообразного, открытого подхода к исследуемому предмету задачи и процессу ее решения Вопрос id:27289 Тема/шкала: «Пространства и системы ценностей» Определите левый собственный вектор следующей матрицы эквивалентности ![]() ?) ?) ?) ?) ?) ?) Вопрос id:27290 Тема/шкала: «Пространства и системы ценностей» Квантификация – это ?) функция полезности ?) ценностная установка, которой подчиняет свое поведение система ?) процедура присвоения числовых значений объектам и явлениям ?) преобразование одного вида энергии в другой ?) множество желаемых для системы ситуаций или состояний Вопрос id:27291 Тема/шкала: «Пространства и системы ценностей» В шкале интервалов: ?) возможно только количественное оценивание ?) возможно «слабое» качественное оценивание ?) возможно качественное и количественное оценивание ?) оценивание невозможно Вопрос id:27292 Тема/шкала: «Пространства и системы ценностей» Шкала силы ветра – это ?) шкала порядка ?) шкала интервалов ?) шкала отношений ?) шкала Рихтера ?) нет правильного ответа ?) номинативная шкала Вопрос id:27293 Тема/шкала: «Пространства и системы ценностей» Какие из приведенных ниже матриц эквивалентности являются согласованными? ?) ![]() ?) ![]() ?) ![]() ?) ![]() ?) ![]() ?) ![]() ?) ![]() Вопрос id:27294 Тема/шкала: «Пространства и системы ценностей» Шкала сортности товаров – это ?) номинальная шкала ?) номинативная шкала ?) шкала интервалов ?) шкала порядка ?) шкала отношений ?) шкала Рихтера ?) шкала наименований Вопрос id:27295 Тема/шкала: «Пространства и системы ценностей» Шкала твердости минералов – это ?) шкала отношений ?) номинативная шкала ?) шкала Рихтера ?) шкала интервалов ?) шкала порядка Вопрос id:27297 Тема/шкала: «Пространства и системы ценностей» Шкала температур – это ?) шкала наименований ?) шкала интервалов ?) номинативная шкала ?) шкала Рихтера ?) шкала порядка ?) ординальная шкала Вопрос id:27298 Тема/шкала: «Пространства и системы ценностей» Шкала социометрического статуса – это ?) шкала отношений ?) шкала порядка ?) шкала интервалов ?) номинативная шкала ?) шкала Рихтера Вопрос id:27299 Тема/шкала: «Пространства и системы ценностей» В шкалах наименований (номинативных, номинальных шкалах): ?) возможно количественное оценивание ?) оценивание невозможно ?) возможно качественное и количественное оценивание ?) возможно «слабое» качественное оценивание Вопрос id:27300 Тема/шкала: «Пространства и системы ценностей» Какие преобразования считаются допустимыми в шкалах порядка (ординальных шкалах)? ?) суммирование оценок ?) среднее геометрическое ?) умножение оценок на положительный множитель ?) среднее арифметическое ?) возведение в положительную степень ?) логарифмирование Вопрос id:27301 Тема/шкала: «Пространства и системы ценностей» В шкале отношений: ?) возможно качественное и количественное оценивание ?) возможно «слабое» количественное оценивание ?) возможно «слабое» качественное оценивание ?) оценивание невозможно Вопрос id:27303 Тема/шкала: «Пространства информации. Информационные свойства реальных систем» Релевантность – это ?) доступность информации ?) своевременное поступление информации ?) отношение информации к целям системы ?) измеримость информации ?) истинность информации Вопрос id:27304 Тема/шкала: «Моделирование социально-экономических и политических процессов» Прогнозируемость – это ?) способность сохранять постоянным значение некоторого признака системы на интервале времени ?) способность системы эффективно выполнять свои функции в течение заданного времени ?) информационная закрытость прошлого реальной системы ?) способность к сохранению своего равновесия ?) способность системы возвращаться в некоторое равновесное состояние после окончания действия внешних сил или внутренних возмущений ?) информационная открытость будущего реальной системы ?) информационная открытость настоящего и прошлого реальной системы Вопрос id:27305 Тема/шкала: «Моделирование социально-экономических и политических процессов» Модель Гольдстайна относят к ?) логистическим моделям ?) формальным моделям ?) вероятностным (статистическим) моделям ?) когнитивным моделям ?) экономико-аналитическим моделям Вопрос id:27306 Тема/шкала: «Моделирование социально-экономических и политических процессов» Пусть процесс автономного существования некоторой системы описывается системой обыкновенных дифференциальных уравнений второго порядка. На рисунке представлен один из возможных морфологических типов состояний этой системы: ![]() ?) устойчивый предельный цикл ?) неустойчивый узел ?) неустойчивый фокус ?) устойчивый узел ?) неустойчивый предельный цикл ?) седло ?) устойчивый фокус ?) центр Вопрос id:27307 Тема/шкала: «Моделирование социально-экономических и политических процессов» Какой морфологический тип процесса изображен на рисунке? ![]() ?) монотонный ?) циклический ?) ациклический ?) периодический (колебательный) Вопрос id:27308 Тема/шкала: «Моделирование социально-экономических и политических процессов» Какие из перечисленных ниже процессов являются динамическими ?) экономический кризис ?) извержение вулкана ?) социальный взрыв ?) повышение урожайности плодовых культур ?) банкротство предприятия ?) улучшение плодородия почвы ?) полет артиллерийского снаряда Вопрос id:27309 Тема/шкала: «Моделирование социально-экономических и политических процессов» Какой морфологический тип процесса изображен на рисунке? ![]() ?) монотонный ?) периодический (колебательный) ?) ациклический ?) циклический Вопрос id:27310 Тема/шкала: «Моделирование социально-экономических и политических процессов» Важнейшими процессуальными свойствами системы являются: ?) цикличность системных процессов; необратимость; изоморфизм; управляемость ?) наблюдаемость; системная дисперсия; информативность; интенсификация процессов ?) управление; прогнозирование; динамическая согласованность; пространственная связность элементов ?) стабильность; равновесие; устойчивость; управляемость; наблюдаемость; прогнозируемость ?) дополняемость; интегрируемость; системная дисперсия; динамичность; колебательность процессов Вопрос id:27311 Тема/шкала: «Моделирование социально-экономических и политических процессов» Наблюдаемость – это ?) информационная закрытость прошлого реальной системы ?) способность к сохранению своего равновесия ?) информационная открытость настоящего и прошлого реальной системы ?) способность системы эффективно выполнять свои функции в течение заданного времени ?) информационная открытость будущего реальной системы ?) способность системы возвращаться в некоторое равновесное состояние после окончания действия внешних сил или внутренних возмущений ?) способность сохранять постоянным значение некоторого признака системы на интервале времени Вопрос id:27312 Тема/шкала: «Моделирование социально-экономических и политических процессов» Равновесие социально-политической или экономической системы – это ?) способность сохранять постоянным значение некоторого признака системы на интервале времени ?) способность к сохранению своей стабильности ?) способность системы возвращаться в некоторое равновесное состояние после окончания действия внешних сил или внутренних возмущений ?) способность системы эффективно выполнять свои функции в течение заданного времени Вопрос id:27313 Тема/шкала: «Моделирование социально-экономических и политических процессов» Устойчивость социально-политической или экономической системы – это ?) способность к сохранению своего равновесия ?) способность сохранять постоянным значение некоторого признака системы на интервале времени ?) способность системы возвращаться в некоторое равновесное состояние после окончания действия внешних сил или внутренних возмущений ?) способность системы эффективно выполнять свои функции в течение заданного времени Вопрос id:27314 Тема/шкала: «Моделирование социально-экономических и политических процессов» Задана численность некоторой биологической популяции n, которая при отсутствии каких-либо ограничений меняется с течением времени t. Дифференциальная форма закона Мальтуса будет иметь следующий вид: ?) ![]() ?) ![]() ?) ![]() ?) ![]() Вопрос id:27315 Тема/шкала: «Моделирование социально-экономических и политических процессов» Управляемость социально-политической системой – это ?) информационная открытость настоящего и прошлого реальной системы ?) способность системы эффективно выполнять свои функции в течение заданного времени ?) способность системы возвращаться в некоторое равновесное состояние после окончания действия внешних сил или внутренних возмущений ?) способность системы к сохранению своего равновесия ?) информационная открытость будущего реальной системы ?) способность системы к сохранению или изменению в требуемом направлении своего состояния (структуры) Вопрос id:27316 Тема/шкала: «Моделирование социально-экономических и политических процессов» Какие из перечисленных ниже процессов являются эволюционными? ?) полет артиллерийского снаряда ?) социальный взрыв ?) извержение вулкана ?) повышение урожайности картофеля ?) экономический кризис ?) банкротство предприятия ?) ухудшение плодородия почвы Вопрос id:27317 Тема/шкала: «Моделирование социально-экономических и политических процессов» Пусть имеются две конкурирующие страны или группы стран, где xi- боевая мощь вооружения i-ой оперирующей страны, а Vi – некоторый постоянный стимул роста вооружения, не зависящий от уровня вооружения противоборствующей стороны. Тогда модель гонки вооружений Ричардсона имеет следующий вид: ?) ![]() ?) ![]() ?) ![]() Вопрос id:27318 Тема/шкала: «Введение», «Методы исследований» Модель – это ?) метод проведения исследований ?) условный образ исследуемой системы ?) требование, которому должны удовлетворять значения показателя функции полезности ?) иерархическая система принципов системного анализа ?) несовместный с другими вариант выбора ?) система регулятивных принципов практической или теоретической деятельности человека Вопрос id:27319 Тема/шкала: «Введение», «Методы исследований» Наблюдение – это ?) совокупность приемов и закономерностей расчленения (мысленного или реального) предмета исследования на составляющие его части ?) исследование каких-либо процессов, явлений, систем путем построения и изучения моделей ?) выведение из общих положений определенных следствий, частных выводов (от общего к частному) ?) нет правильного ответа ?) совокупность приемов и закономерностей соединения отдельных частей объекта в единое целое ?) умозаключение от частного к общему (к некоторой гипотезе) ?) мысленное отвлечение от несущественных частных свойств и связей объекта с целью выделения существенных признаков Вопрос id:27320 Тема/шкала: «Введение», «Методы исследований» Научное исследование – это ?) изучение причинно-следственных связей, возникающих в реальной действительности ?) система регулятивных принципов практической или теоретической деятельности человека ?) познавательная деятельность ученого, в процессе которой вырабатывается субъективное знание об изучаемом явлении или процессе ?) совокупность принципов системного анализа ?) познавательная деятельность ученого, в процессе которой вырабатывается объективное знание об изучаемом явлении или процессе Вопрос id:27321 Тема/шкала: «Введение», «Методы исследований» Абстрагирование – это ?) умозаключение от частного к общему (к некоторой гипотезе) ?) нет правильного ответа ?) исследование каких-либо процессов, явлений, систем путем построения и изучения моделей ?) совокупность приемов и закономерностей расчленения (мысленного или реального) предмета исследования на составляющие его части ?) мысленное отвлечение от несущественных частных свойств и связей объекта с целью выделения существенных признаков ?) выведение из общих положений определенных следствий, частных выводов (от общего к частному) ?) совокупность приемов и закономерностей соединения отдельных частей объекта в единое целое Вопрос id:27322 Тема/шкала: «Введение», «Методы исследований» Политический процесс ?) отражает процесс развития материального производства, присущих ему производительных сил и производственных отношений ?) выражает борьбу различных социальных сил за государственную власть, использование ее для реализации собственных экономических и политических интересов ?) в широком смысле означает «общественный», т.е. принадлежащий не природе, а обществу ?) в узком смысле отражает общественный процесс, происходящий в социальной сфере ?) отражает те отношения, которые происходят в духовной сфере Вопрос id:27323 Тема/шкала: «Введение», «Методы исследований» Закон «необходимого разнообразия» Эшби: ?) для эффективного управления необходимо, чтобы информационный потенциал субъекта управления был выше уровня разнообразия проявлений объекта управления ?) для эффективного управления необходимо, чтобы суммарная мощность связей между элементами системы была ниже мощности связей элементов системы с внешней средой ?) для эффективного управления необходимо, чтобы информационный потенциал субъекта управления был ниже уровня разнообразия проявлений объекта управления ?) для эффективного управления необходимо, чтобы суммарная мощность связей между элементами системы была выше мощности связей элементов системы с внешней средой |
Copyright tests.ithead.ru 2013-2026

















