Тесты онлайн, бесплатный конструктор тестов. Психологические тестирования, тесты на проверку знаний.
Список вопросов базы знанийИсследование социально-экономических и политических процессов.Вопрос id:37948 Тема/шкала: «Пространства информации. Информационные свойства реальных систем» Фундаментальными свойствами информации являются: ?) тиражируемость; полезность; релевантность ?) сжимаемость; интегративность; новизна ?) актуальность; значимость; информативность ?) квантованность; тиражируемость; измеримость ?) интерпретируемость; новизна; истинность Вопрос id:37949 Тема/шкала: «Пространства информации. Информационные свойства реальных систем» Квантованность – это ?) дискретное (порционное) поступление информации ?) сфероценоз ?) полезность информации ?) присвоение числовых значений объектам, явлениям, системам Вопрос id:37950 Тема/шкала: «Пространства информации. Информационные свойства реальных систем» Семантическими свойствами информации являются: ?) релевантность; полезность; ценность; целесообразность ?) информативность; новизна; интерпретируемость; дополняемость; восстанавливаемость ?) квантованность; целесообразность; степень новизны; интегрируемость; тиражируемость ?) интерпретируемость; измеримость; очевидность; сжимаемость; правдивость; тезаурус Вопрос id:37951 Тема/шкала: «Пространства информации. Информационные свойства реальных систем» Вычислите объем информации следующего афоризма Теодора Рузвельта –
«Никогда не ошибается тот, кто ничего не делает. Не бойтесь ошибаться –
бойтесь повторять ошибки»: ?) 425 бит ?) 390 бит ?) 415 бит ?) 395 бит ?) 385 бит Вопрос id:37952 Тема/шкала: «Пространства информации. Информационные свойства реальных систем» Тиражируемость – это ?) квантификация ?) многократное повторение информации без потери смысла ?) дискретное (порционное) поступление информации ?) ценность информации ?) значимость информации Вопрос id:37953 Тема/шкала: «Пространства информации. Информационные свойства реальных систем» Прагматическими свойствами информации являются: ?) ценность; релевантность; своевременность; значимость; доступность; полнота ?) рациональность; логичность; истинность; ценность; полезность; интерес ?) своевременность; значимость; информативность; квантованность; новизна ?) релевантность; новизна; значимость; полезность; интерпретируемость; информативность Вопрос id:37954 Тема/шкала: «Пространства информации. Информационные свойства реальных систем» Обозначим число различных символов алфавита языка через m. Пусть
имеется некоторое сообщение, состоящее из n символов. Тогда
вероятностная мера оценки количества информации (по Шеннону) имеет
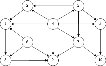
следующий вид: ?) I=nm ?) I=mn ?) I=mn ?) I=n*log2m Вопрос id:37989 Тема/шкала: «Принципы системного подхода при исследовании социально-экономических и политических процессов» Принцип системного замыкания при исследовании социально-экономических и политических процессов требует ?) замыкания исходного предмета задачи, используемых методов и результатов решения в соответствующие системные оболочки с целью превращения их в так называемые минимальные информационные системы и придания им свойства целостности, многоаспектности, целесообразности, открытости ?) использования формальных моделей предмета задачи и процесса ее решения ?) многоаспектного, целостного, целесообразного, открытого подхода к исследуемому предмету задачи и процессу ее решения ?) многоуровневого и исторического подходов к исследуемому предмету задачи и процессу его решения ?) проведения только таких исследований, которые имеют достаточную практическую ценность, компенсирующую за счет полученного эффекта затраты тех или иных ценностей на проведение этих исследований Вопрос id:37990 Тема/шкала: «Принципы системного подхода при исследовании социально-экономических и политических процессов» Метод декомпозиции при исследовании социально-экономических и политических процессов ?) заключается в объединении в иерархически упорядоченную структуру каких-либо объектов ?) заключается в расчленении образа исследуемого целостного объекта на иерархически упорядоченную совокупность подсистем ?) заключается в проведении только таких исследований, которые имеют достаточную практическую ценность, компенсирующую за счет полученного эффекта затраты тех или иных ценностей на проведение этих исследований ?) нет правильного ответа Вопрос id:37991 Тема/шкала: «Принципы системного подхода при исследовании социально-экономических и политических процессов» К группе дополнительных принципов системного подхода относятся ?) принципы прагматизма, системного замыкания ?) принципы системного замыкания, эмпирической согласованности ?) принципы интегральности, прагматизма ?) принципы прагматизма, системного замыкания, интегральности ?) принципы системности, физической содержательности, интегральности ?) принципы иерархичности, формализма, системности Вопрос id:37992 Тема/шкала: «Принципы системного подхода при исследовании социально-экономических и политических процессов» Принцип системной реальности при исследовании социально-экономических и политических процессов требует ?) использования формальных моделей предмета задачи и процесса ее решения ?) многоаспектного, целостного, целесообразного, открытого подхода к исследуемому предмету задачи и процессу ее решения ?) многоуровневого и исторического подходов к исследуемому предмету задачи и процессу его решения ?) проведения только таких исследований, которые имеют достаточную практическую ценность, компенсирующую за счет полученного эффекта затраты тех или иных ценностей на проведение этих исследований ?) замыкания исходного предмета задачи, используемых методов и результатов решения в соответствующие системные оболочки с целью превращения их в так называемые минимальные информационные системы и придания им свойства целостности, многоаспектности, целесообразности, открытости ?) нет правильного ответа Вопрос id:37993 Тема/шкала: «Принципы системного подхода при исследовании социально-экономических и политических процессов» Принцип физической содержательности при исследовании социально-экономических и политических процессов требует ?) чтобы в пределах области своей применимости формальные модели не противоречили известным эмпирическим данным ?) многоуровневого и исторического подходов к исследуемому предмету задачи и процессу его решения ?) проведения только таких исследований, которые имеют достаточную
практическую ценность, компенсирующую за счет полученного эффекта
затраты тех или иных ценностей на проведение этих исследований ?) использования модельных представлений, элементы которых имеют содержательное, ясное толкование ?) многоаспектного, целостного, целесообразного, открытого подхода к исследуемому предмету задачи и процессу ее решения ?) использования формальных моделей предмета задачи и процесса ее решения Вопрос id:37994 Тема/шкала: «Принципы системного подхода при исследовании социально-экономических и политических процессов» К группе вспомогательных принципов системного подхода относятся ?) принципы системной реальности, физической содержательности, интегральности ?) принципы иерархичности, системного замыкания, сфероценоза ?) принципы иерархичности, формализма, системной реальности ?) принципы иерархичности, физической содержательности, эмпирической согласованности ?) принципы интегральности, прагматизма, эмпирической согласованности ?) принципы прагматизма, системности, системного замыкания Вопрос id:37995 Тема/шкала: «Принципы системного подхода при исследовании социально-экономических и политических процессов» Принцип прагматичности при исследовании социально-экономических и политических процессов требует ?) чтобы в пределах области своей применимости формальные модели не противоречили известным эмпирическим данным ?) многоаспектного, целостного, целесообразного, открытого подхода к исследуемому предмету задачи и процессу ее решения ?) замыкания исходного предмета задачи, используемых методов и результатов
решения в соответствующие системные оболочки с целью превращения их в
так называемые минимальные информационные системы и придания им свойства
целостности, многоаспектности, целесообразности, открытости ?) многоуровневого и исторического подходов к исследуемому предмету задачи и процессу его решения ?) использования формальных моделей предмета задачи и процесса ее решения ?) проведения только таких исследований, которые имеют достаточную
практическую ценность, компенсирующую за счет полученного эффекта
затраты тех или иных ценностей на проведение этих исследований Вопрос id:37996 Тема/шкала: «Принципы системного подхода при исследовании социально-экономических и политических процессов» Принципами системно-физического подхода при исследовании социально-экономических и политических процессов являются: ?) бинтегрируемость, многоаспектность, открытость, анизотропность, системная динамика, системная реальность ?) эффективность, эквифинальность, энтропийность, интенсификация, историчность; формализм ?) формализм, прагматичность, многоуровневость, сфероценоз; безопасность ?) системность, интерактивность, интегральность, изоморфизм, эмпирическая согласованность, динамичность ?) системность, иерархичность, формализм, интегративность, физическая содержательность ?) иерархичность, факторизованность, системность, открытость, квантификация, системная реальность Вопрос id:37997 Тема/шкала: «Принципы системного подхода при исследовании социально-экономических и политических процессов» Принцип системности при исследовании социально-экономических и политических процессов требует ?) замыкания исходного предмета задачи, используемых методов и результатов решения в соответствующие системные оболочки с целью превращения их в так называемые минимальные информационные системы и придания им свойства целостности, многоаспектности, целесообразности, открытости ?) чтобы в пределах области своей применимости формальные модели не противоречили известным эмпирическим данным ?) использования формальных моделей предмета задачи и процесса ее решения ?) многоаспектного, целостного, целесообразного, открытого подхода к исследуемому предмету задачи и процессу ее решения ?) проведения только таких исследований, которые имеют достаточную практическую ценность, компенсирующую за счет полученного эффекта затраты тех или иных ценностей на проведение этих исследований ?) многоуровневого и исторического подходов к исследуемому предмету задачи и процессу его решения Вопрос id:37998 Тема/шкала: «Принципы системного подхода при исследовании социально-экономических и политических процессов» Принцип интегральности при исследовании социально-экономических и политических процессов требует ?) замыкания исходного предмета задачи, используемых методов и результатов
решения в соответствующие системные оболочки с целью превращения их в
так называемые минимальные информационные системы и придания им свойства
целостности, многоаспектности, целесообразности, открытости ?) подхода к предмету задачи и процессу ее решения с точки зрения общих интегративных свойств системы ?) многоаспектного, целостного, целесообразного, открытого подхода к исследуемому предмету задачи и процессу ее решения ?) использования формальных моделей предмета задачи и процесса ее решения ?) чтобы в пределах области своей применимости формальные модели не противоречили известным эмпирическим данным ?) проведения только таких исследований, которые имеют достаточную
практическую ценность, компенсирующую за счет полученного эффекта
затраты тех или иных ценностей на проведение этих исследований Вопрос id:37999 Тема/шкала: «Принципы системного подхода при исследовании социально-экономических и политических процессов» Метод композиции при исследовании социально-экономических и политических процессов ?) заключается в объединении в иерархически упорядоченную структуру каких-либо объектов ?) заключается в расчленении образа исследуемого целостного объекта на иерархически упорядоченную совокупность подсистем ?) заключается в проведении только таких исследований, которые имеют
достаточную практическую ценность, компенсирующую за счет полученного
эффекта затраты тех или иных ценностей на проведение этих исследований ?) нет правильного ответа Вопрос id:38000 Тема/шкала: «Принципы системного подхода при исследовании социально-экономических и политических процессов» Принцип эмпирической согласованности при исследовании социально-экономических и политических процессов требует ?) чтобы в пределах области своей применимости формальные модели не противоречили известным эмпирическим данным ?) проведения только таких исследований, которые имеют достаточную практическую ценность, компенсирующую за счет полученного эффекта затраты тех или иных ценностей на проведение этих исследований ?) многоуровневого и исторического подходов к исследуемому предмету задачи и процессу его решения ?) многоаспектного, целостного, целесообразного, открытого подхода к исследуемому предмету задачи и процессу ее решения ?) замыкания исходного предмета задачи, используемых методов и результатов решения в соответствующие системные оболочки с целью превращения их в так называемые минимальные информационные системы и придания им свойства целостности, многоаспектности, целесообразности, открытости ?) использования формальных моделей предмета задачи и процесса ее решения Вопрос id:38015 Тема/шкала: «Пространства и системы ценностей» При медианном оценивании следует учитывать: ?) среднее арифметическое ?) среднее геометрическое ?) количественные оценки ?) порядок предпочтений Вопрос id:38016 Тема/шкала: «Моделирование социально-экономических и политических процессов» Какие из перечисленных ниже социально-политических или экономических процессов являются катастрофическими? ?) ухудшение плодородия почвы ?) банкротство предприятия ?) повышение урожайности картофеля ?) дефолт ?) полет артиллерийского снаряда ?) социальный взрыв ?) извержение вулкана Вопрос id:38017 Тема/шкала: «Моделирование социально-экономических и политических процессов» Стабильность экономической или социально-политической системы – это ?) способность системы эффективно выполнять свои функции в течение заданного времени ?) способность системы возвращаться в некоторое равновесное состояние после окончания действия внешних сил или внутренних возмущений ?) способность системы к сохранению своего равновесия ?) способность сохранять постоянным значение некоторого признака системы на интервале времени Вопрос id:38027 Тема/шкала: «Структурное моделирование социально-экономических и политических систем» Определите реберную связность графа: ![]() ?) 2 ?) 4 ?) 3 ?) 1 Вопрос id:60101 Тема/шкала: «Сферы взаимодействия и ситуационные пространства» Какие факторы являются системоформирующими факторами политического процесса: ?) политические партии ?) природные условия ?) рост промышленного производства ?) идеология ?) экологические проблемы ?) падение курса рубля ?) повышение курса иностранной валюты |
Copyright tests.ithead.ru 2013-2026
