Тесты онлайн, бесплатный конструктор тестов. Психологические тестирования, тесты на проверку знаний.
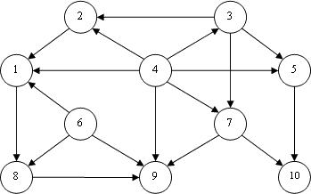
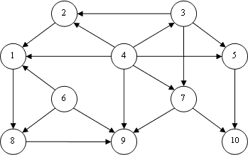
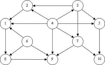
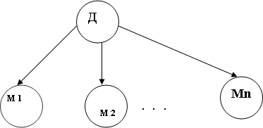
Список вопросов базы знанийИсследование социально-экономических и политических процессов.Вопрос id:27324 Тема/шкала: «Введение», «Методы исследований» Процесс – это ?) смена одного состояния другим ?) явление ?) упорядоченная во времени последовательность элементарных событий ?) структура ?) нет правильного ответа Вопрос id:27325 Тема/шкала: «Введение», «Методы исследований» Социальный процесс ?) в широком смысле означает «общественный», т.е. принадлежащий не природе, а обществу; в узком – применяется для характеристики только тех процессов, которые происходят в социальной сфере ?) выражает борьбу различных социальных сил за государственную власть, использование ее для реализации собственных экономических и политических интересов ?) нет правильного ответа ?) отражает процесс развития материального производства, присущих ему производительных сил и производственных отношений Вопрос id:27326 Тема/шкала: «Введение», «Методы исследований» Синтез – это ?) совокупность приемов и закономерностей расчленения (мысленного или реального) предмета исследования на составляющие его части ?) умозаключение от частного к общему (к некоторой гипотезе) ?) мысленное отвлечение от несущественных частных свойств и связей объекта с целью выделения существенных признаков ?) выведение из общих положений определенных следствий, частных выводов (от общего к частному) ?) исследование каких-либо процессов, явлений, систем путем построения и изучения моделей ?) совокупность приемов и закономерностей соединения отдельных частей объекта в единое целое Вопрос id:27327 Тема/шкала: «Введение», «Методы исследований» Неуправляемый процесс – это ?) нет правильного ответа ?) процесс, который носит спонтанный характер ?) процесс, который поддается изменению в нужном направлении при сознательном воздействии на них ?) процесс, характер которого не поддается изменению в нужном направлении Вопрос id:27328 Тема/шкала: «Введение», «Методы исследований» К методам теоретического исследования относят: ?) формализация; идеализация; восхождение от абстрактного к конкретному; аксиоматический метод ?) анализ и синтез; дедукция и индукция; абстрагирование; моделирование; ?) эксперимент; анализ и синтез; сравнение; примитивизация ?) аксиоматический метод; эксперимент; измерение; наблюдение; сравнение ?) формализация; идеализация; наблюдение; абстрагирование; моделирование ?) сравнение; абстрагирование; наблюдение; идеализация Вопрос id:27329 Тема/шкала: «Введение», «Методы исследований» Может ли быть процесс абсолютно управляемым? ?) нет ?) да Вопрос id:27330 Тема/шкала: «Введение», «Методы исследований» Признаки системной революции: ?) глобализация, интенсивность процессов и катастрофичность ?) интерактивность, изоморфизм, структурированность ?) глобализация, усложнение, интенсификация процессов ?) интегративность, эквифинальность; сфероценоз ?) необратимость, бездуховность, дефицит ресурсов ?) эквифинальность, разнообразие проявлений, историчность ?) глобальность, неустойчивость, интегрируемость процессов ?) целостность, прогнозируемость, открытость Вопрос id:27331 Тема/шкала: «Введение», «Методы исследований» Индукция – это ?) выведение из общих положений определенных следствий, частных выводов (от общего к частному) ?) совокупность приемов и закономерностей расчленения (мысленного или реального) предмета исследования на составляющие его части ?) умозаключение от частного к общему (к некоторой гипотезе) ?) мысленное отвлечение от несущественных частных свойств и связей объекта с целью выделения существенных признаков ?) исследование каких-либо процессов, явлений, систем путем построения и изучения моделей ?) совокупность приемов и закономерностей соединения отдельных частей объекта в единое целое Вопрос id:27332 Тема/шкала: «Введение», «Методы исследований» Анализ – это ?) мысленное отвлечение от несущественных частных свойств и связей объекта с целью выделения существенных признаков ?) исследование каких-либо процессов, явлений, систем путем построения и изучения моделей ?) умозаключение от частного к общему (к некоторой гипотезе) ?) совокупность приемов и закономерностей соединения отдельных частей объекта в единое целое ?) совокупность приемов и закономерностей расчленения (мысленного или реального) предмета исследования на составляющие его части ?) выведение из общих положений определенных следствий, частных выводов (от общего к частному) Вопрос id:27333 Тема/шкала: «Введение», «Методы исследований» Метод исследования – это ?) система регулятивных принципов практической или теоретической деятельности человека ?) частичный образ исследуемой системы ?) нет правильного ответа ?) гносеологическая модель ?) условный образ рассматриваемой системы ?) способ достижения какой-либо цели, решения, задачи Вопрос id:27334 Тема/шкала: «Введение», «Методы исследований» Дедукция – это ?) совокупность приемов и закономерностей расчленения (мысленного или реального) предмета исследования на составляющие его части ?) исследование каких-либо процессов, явлений, систем путем построения и изучения моделей ?) выведение из общих положений определенных следствий, частных выводов (от общего к частному) ?) умозаключение от частного к общему (к некоторой гипотезе) ?) совокупность приемов и закономерностей соединения отдельных частей объекта в единое целое ?) мысленное отвлечение от несущественных частных свойств и связей объекта с целью выделения существенных признаков Вопрос id:27335 Тема/шкала: «Введение», «Методы исследований» Управляемый процесс – это ?) процесс, который поддается изменению в нужном направлении при сознательном воздействии на них ?) процесс, который не поддается изменению в нужном направлении ?) нет правильного ответа ?) процесс, который носит спонтанный характер Вопрос id:27336 Тема/шкала: «Введение», «Методы исследований» Причины системного (управленческого) кризиса: ?) субъектно-монопольное управление ?) уровень сложности и разнообразия экономических и социально-политических объектов намного превзошел уровень сложности живых организмов ?) дуальное управление ?) системная революция, охватившая общество как объект управления, практически не затронула субъект управления Вопрос id:27337 Тема/шкала: «Введение», «Методы исследований» Формализация – это ?) умозаключение от частного к общему (к некоторой гипотезе) ?) совокупность приемов и закономерностей соединения отдельных частей объекта в единое целое ?) исследование каких-либо процессов, явлений, систем путем построения и изучения моделей ?) нет правильного ответа ?) совокупность познавательных операций, обеспечивающая отвлечение от значения понятий и смысла выражения научной теории ?) совокупность приемов и закономерностей расчленения (мысленного или реального) предмета исследования на составляющие его части ?) мысленное отвлечение от несущественных частных свойств и связей объекта с целью выделения существенных признаков Вопрос id:27338 Тема/шкала: «Введение», «Методы исследований» Сравнение – это ?) установление сходства и различия предметов, явлений, объектов ?) мысленное отвлечение от несущественных частных свойств и связей объекта с целью выделения существенных признаков ?) умозаключение от частного к общему (к некоторой гипотезе) ?) выведение из общих положений определенных следствий, частных выводов (от общего к частному) ?) адекватность ?) исследование каких-либо процессов, явлений, систем путем построения и изучения моделей ?) совокупность приемов и закономерностей расчленения (мысленного или реального) предмета исследования на составляющие его части Вопрос id:27339 Тема/шкала: «Введение», «Методы исследований» Аксиоматический метод – это ?) мысленное отвлечение от несущественных частных свойств и связей объекта с целью выделения существенных признаков ?) совокупность приемов и закономерностей соединения отдельных частей объекта в единое целое ?) метод, когда ряд утверждений принимается без доказательств, а все остальные знания выводятся по определенным логическим правилам ?) выведение из общих положений определенных следствий, частных выводов (от общего к частному) ?) умозаключение от частного к общему (к некоторой гипотезе) ?) нет правильного ответа ?) исследование каких-либо процессов, явлений, систем путем построения и изучения моделей Вопрос id:27340 Тема/шкала: «Введение», «Методы исследований» Измерение – это ?) выведение из общих положений определенных следствий, частных выводов (от общего к частному) ?) совокупность приемов и закономерностей расчленения (мысленного или реального) предмета исследования на составляющие его части ?) нет правильного ответа ?) мысленное отвлечение от несущественных частных свойств и связей объекта с целью выделения существенных признаков ?) совокупность приемов и закономерностей соединения отдельных частей объекта в единое целое ?) умозаключение от частного к общему (к некоторой гипотезе) ?) совокупность действий, выполняемых при помощи измерительных средств, с целью нахождения числового значения измеряемой величины Вопрос id:27341 Тема/шкала: «Введение», «Методы исследований» К методам эмпирического исследования относят: ?) анализ и синтез; дедукция и индукция; абстрагирование; моделирование ?) эксперимент; измерение; наблюдение; сравнение ?) эксперимент; анализ и синтез; сравнение; примитивизация ?) формализация; идеализация; восхождение от абстрактного к конкретному; аксиоматический метод ?) факт; наблюдение; абстрагирование; моделирование ?) нет правильного ответа ?) сравнение; абстрагирование; наблюдение; идеализация Вопрос id:27342 Тема/шкала: «Введение», «Методы исследований» Моделирование – это ?) совокупность приемов и закономерностей соединения отдельных частей объекта в единое целое ?) совокупность приемов и закономерностей расчленения (мысленного или реального) предмета исследования на составляющие его части ?) мысленное отвлечение от несущественных частных свойств и связей объекта с целью выделения существенных признаков ?) выведение из общих положений определенных следствий, частных выводов (от общего к частному) ?) умозаключение от частного к общему (к некоторой гипотезе) ?) исследование каких-либо процессов, явлений, систем путем построения и изучения моделей ?) нет правильного ответа Вопрос id:27343 Тема/шкала: «Введение», «Методы исследований» К методам эмпирического и теоретического исследования относят: ?) анализ и синтез; дедукция и индукция; абстрагирование; моделирование; ?) формализация; идеализация; восхождение от абстрактного к конкретному; аксиоматический метод ?) факт; наблюдение; абстрагирование; моделирование; идеализация ?) сравнение; абстрагирование; наблюдение; идеализация ?) эксперимент; анализ и синтез; сравнение; примитивизация ?) эксперимент; измерение; наблюдение; сравнение Вопрос id:27344 Тема/шкала: «Введение», «Методы исследований» Экономический процесс ?) отражает те отношения, которые происходят в духовной сфере ?) в узком смысле отражает общественный процесс, происходящий в социальной сфере ?) выражает борьбу различных социальных сил за государственную власть, использование ее для реализации собственных экономических и политических интересов ?) в широком смысле означает «общественный», т.е. принадлежащий не природе, а обществу ?) отражает процесс развития материального производства, присущих ему производительных сил и производственных отношений Вопрос id:27345 Тема/шкала: «Введение», «Методы исследований» Эксперимент – это ?) совокупность приемов и закономерностей соединения отдельных частей объекта в единое целое ?) совокупность приемов и закономерностей расчленения (мысленного или реального) предмета исследования на составляющие его части ?) мысленное отвлечение от несущественных частных свойств и связей объекта с целью выделения существенных признаков ?) выведение из общих положений определенных следствий, частных выводов (от общего к частному) ?) умозаключение от частного к общему (к некоторой гипотезе) ?) исследование каких-либо процессов, явлений, систем путем построения и изучения моделей ?) нет правильного ответа Вопрос id:27346 Тема/шкала: «Структурное моделирование социально-экономических и политических систем» Определите сложность структуры: ![]() ?) 2,5 ?) 3,25 ?) 3 ?) 3,5 ?) 2 ?) 1,75 ?) 2,75 ?) 2,25 Вопрос id:27347 Тема/шкала: «Структурное моделирование социально-экономических и политических систем» Определите с помощью рангового метода самое влиятельное лицо в организации, веса связей сотрудников которой заданы следующей матрицей: ![]() ?) третий сотрудник ?) второй сотрудник ?) пятый сотрудник ?) шестой сотрудник ?) четвертый сотрудник Вопрос id:27348 Тема/шкала: «Структурное моделирование социально-экономических и политических систем» Найдите количество петель в графе: ![]() ?) 3 ?) 4 ?) 0 ?) 1 ?) 2 Вопрос id:27349 Тема/шкала: «Структурное моделирование социально-экономических и политических систем» Определите элементную связность графа: ![]() ?) 4 ?) 2 ?) 1 ?) 3 Вопрос id:27350 Тема/шкала: «Структурное моделирование социально-экономических и политических систем» По матрице инцидентности определите, какая вершина является тупиковой: ![]() ?) шестая вершина ?) вторая вершина ?) пятая вершина ?) восьмая вершина ?) седьмая вершина Вопрос id:27351 Тема/шкала: «Структурное моделирование социально-экономических и политических систем» Определите диаметр структуры: ![]() ?) 4 ?) 1 ?) 2 ?) 3 Вопрос id:27352 Тема/шкала: «Структурное моделирование социально-экономических и политических систем» Определите ранг четвертой вершины: ![]() ?) 5 ?) 7 ?) 6 ?) 4 Вопрос id:27353 Тема/шкала: «Структурное моделирование социально-экономических и политических систем» На рисунке изображена организационная структура оркестра (Д – дирижер; М1, М2, … Мn – музыканты). К какому типу дискретных пространственных структур относится данная структура ![]() ?) скелетная структура ?) сетевая структура ?) иерархическая организационная структура ?) нет правильного ответа ?) спиральная структура ?) центральная структура ?) кольцевая структура Вопрос id:27354 Тема/шкала: «Структурное моделирование социально-экономических и политических систем» По приведенной ниже матрице инцидентности определить, какая вершина является изолированной: ![]() ?) шестая вершина ?) первая вершина ?) четвертая вершина ?) вторая вершина Вопрос id:27355 Тема/шкала: «Структурное моделирование социально-экономических и политических систем» Оцените реберную связность графа, матрица смежности которого имеет вид: ![]() ?) 2 ?) 1 ?) 3 ?) 4 Вопрос id:27356 Тема/шкала: «Структурное моделирование социально-экономических и политических систем» Определите количество внутренних вершин графа: ![]() ?) 6 ?) 4 ?) 7 ?) 5 Вопрос id:27357 Тема/шкала: «Структурное моделирование социально-экономических и политических систем» Задан граф некоторой структуры (см. рисунок). Определите, какая из приведенных ниже матриц является матрицей смежности данного графа: ![]() ?) ![]() ?) ![]() ?) ![]() Вопрос id:27358 Тема/шкала: «Структурное моделирование социально-экономических и политических систем» Определите количество изолированных вершин графа: ![]() ?) 2 ?) 0 ?) 4 ?) 1 ?) 3 Вопрос id:27359 Тема/шкала: «Структурное моделирование социально-экономических и политических систем» Оцените элементную связность графа, матрица смежности которого имеет вид: ![]() ?) 1 ?) 4 ?) 2 ?) 3 Вопрос id:27360 Тема/шкала: «Структурное моделирование социально-экономических и политических систем» На рисунке изображена структура распространения эпидемии гриппа. К какому виду дискретных временных структур относится данная структура: ![]() ?) кольцевая структура ?) последовательная структура ?) параллельная структура ?) скелетная структура ?) ветвящаяся структура ?) нет правильного ответа ?) спиральная структура Вопрос id:27361 Тема/шкала: «Сферы взаимодействия и ситуационные пространства» Явление преступности заключается в ?) мошенничестве ?) загрязнении окружающей среды ?) повышении смертности ?) коррупции ?) инфляции ?) падении рождаемости ?) взяточничестве ?) падении производства Вопрос id:27362 Тема/шкала: «Сферы взаимодействия и ситуационные пространства» Ситуация – это ?) атрибутивный признак системы ?) пространственно-временное структурное образование ?) пространственно-временной образ ?) пространственно-временное явление ?) свойство ситуационного пространства Вопрос id:27363 Тема/шкала: «Сферы взаимодействия и ситуационные пространства» Сфероценоз – это ?) совокупность сферы и базиса, обеспечивающего ее существование ?) совокупность различных образов реальных систем ?) совокупность реальных систем ?) совокупность систем ценностей Вопрос id:27364 Тема/шкала: «Сферы взаимодействия и ситуационные пространства» К анизотропии политического пространства можно отнести ?) наличие исторически сложившихся межнациональных ориентаций (Сербия-Россия) ?) явление экономического коллапса ?) великое переселение народов, происходившее вдоль направления Восток-Запад ?) неоднородность государственно-политических образований ?) устойчивые связи России с балканскими странами Вопрос id:27365 Тема/шкала: «Сферы взаимодействия и ситуационные пространства» Ситуация раскрывается в ?) факторах и условиях ?) состояниях ?) явлениях ?) расплывчатости границ ?) эквифинальности реальной системы ?) образах реальных систем Вопрос id:27366 Тема/шкала: «Сферы взаимодействия и ситуационные пространства» Явление- это ?) системное свойство ?) системное замыкание ?) системный процесс ?) базис сфероценоза ?) признак ситуации ?) системообразующий фактор Вопрос id:27368 Тема/шкала: «Сферы взаимодействия и ситуационные пространства» Какие факторы являются системообразующими факторами политического процесса: ?) экологические проблемы ?) коррупция власти ?) высокие мировые цены на нефть ?) дифференциация населения ?) угрозы техногенных катастроф ?) политические партии ?) органы государственной власти ?) деятельность религиозных организаций Вопрос id:27369 Тема/шкала: «Сферы взаимодействия и ситуационные пространства» Какие условия могут стать факторами социальной напряженности: ?) коррупция власти ?) падение курса иностранной валюты ?) реформа образования ?) ранние зимы ?) повышение цен ?) падение реальной заработной платы ?) повышение пенсий ?) безработица ?) укрепление рубля ?) рост тарифов на коммунальные услуги Вопрос id:27370 Тема/шкала: «Сферы взаимодействия и ситуационные пространства» Ситуацию экономического кризиса выражают следующие явления: ?) алкоголизм ?) рост пассажиропотоков ?) увеличение числа иностранных рабочих ?) падение урожайности зерновых ?) социальная напряженность ?) безработица ?) высокие темпы инфляции Вопрос id:27371 Тема/шкала: «Сферы взаимодействия и ситуационные пространства» Структура сфероценоза включает в себя: ?) пространственно-временные континуумы; структурные образования; системы процессов ?) структурные образования; временные образования; дискретные структуры ?) системы ценностей; системы знаний; структурные образования ?) пространственно-временные континуумы; структурные образования; системы ценностей Вопрос id:27373 Тема/шкала: «Сферы взаимодействия и ситуационные пространства» Самодостаточность экономической или социально-политической системы характеризует ее способность ?) существовать за счет действия внешних факторов ?) к самостоятельному существованию и развитию ?) эффективно выполнять заданные функции в течение определенного времени ?) представлять единое целое при взаимодействии с окружающей средой ?) быть взаимосвязанной и взаимозависимой Вопрос id:27374 Тема/шкала: «Сферы взаимодействия и ситуационные пространства» Свойствами ситуационных пространств являются: ?) устойчивость; анизотропность; компактность; неоднородность; емкость ?) компактность; топология; связность; экономичность; кривизна; масштабность ?) неоднородность; сфероценоз; этногенез; анизотропность; изоморфизм; квантификация ?) размерность; устойчивость; емкость; коллапс; квантованность ?) квантованность; релевантность; кривизна; устойчивость; размерность; топология Вопрос id:37947 Тема/шкала: «Пространства информации. Информационные свойства реальных систем» Единицей измерения информации является ?) бит ?) количество слов в минуту ?) количество символов в тексте ?) килобайт |
Copyright tests.ithead.ru 2013-2026















