Список вопросов базы знанийСтатистика_Вопрос id:2142810 Тема/шкала: 4334.05.01;МТ.01;1 - Модульный тест - Статистика (курс 4) Комплексный показатель выполнения обязательств с учетом объема, ассортимента и сроков рассчитывается как ?) частное индексов объема, ассортиментов и срока ?) разность индексов объема, ассортиментов и срока ?) произведение индексов объема, ассортиментов и срока ?) сумма индексов объема, ассортиментов и срока Вопрос id:2142811 Тема/шкала: 4334.05.01;МТ.01;1 - Модульный тест - Статистика (курс 4) Коэффициент годности основных средств рассчитывается по формуле ?) ![]() ?) ![]() ?) ![]() ?) ![]() Вопрос id:2142812 Тема/шкала: 4334.05.01;МТ.01;1 - Модульный тест - Статистика (курс 4) Коэффициент обеспеченности запасов собственными оборотными средствами отражает ?) оборачиваемость материально-производственных запасов ?) ликвидность материально-производственных запасов ?) долю материально-производственных запасов, финансируемую за счет собственных источников средств ?) долю собственного капитала, используемого для финансирования сырья, материалов Вопрос id:2142813 Тема/шкала: 4334.05.01;МТ.01;1 - Модульный тест - Статистика (курс 4) Коэффициент оборота по своему экономическому содержанию схож с показателем ?) закрепления ?) рентабельности ?) фондоемкости ?) фондоотдачи Вопрос id:2142814 Тема/шкала: 4334.05.01;МТ.01;1 - Модульный тест - Статистика (курс 4) Коэффициент фондовооруженности труда за год определяется как отношение ?) ![]() ?) ![]() ?) ![]() ?) ![]() Вопрос id:2142815 Тема/шкала: 4334.05.01;МТ.01;1 - Модульный тест - Статистика (курс 4) Метод, не используемый для определения потребности в оборотных фондах ?) дифференциальный метод ?) коэффициентный метод ?) метод прямого счета ?) аналитический метод Вопрос id:2142816 Тема/шкала: 4334.05.01;МТ.01;1 - Модульный тест - Статистика (курс 4) На начало года запасы предприятия составили 150 тыс.руб., на конец года - 170 тыс.руб. Среднегодовой объем запасов предприятия (тыс.руб.) ?) 170 ?) 160 ?) 150 ?) 320 Вопрос id:2142817 Тема/шкала: 4334.05.01;МТ.01;1 - Модульный тест - Статистика (курс 4) Наиболее ликвидная статья баланса ?) товарные запасы ?) основные фонды ?) денежные средства ?) дебиторская задолженность Вопрос id:2142818 Тема/шкала: 4334.05.01;МТ.01;1 - Модульный тест - Статистика (курс 4) О росте эффективности деятельности будет свидетельствовать следующее неравенство ?) 100% > Темп роста активов < Темп роста выручки > Темп роста прибыли ?) 100% < Темп роста активов > Темп роста выручки > Темп роста прибыли ?) 100% < Темп роста активов < Темп роста выручки < Темп роста прибыли ?) 100% > Темп роста активов > Темп роста выручки > Темп роста прибыли Вопрос id:2142819 Тема/шкала: 4334.05.01;МТ.01;1 - Модульный тест - Статистика (курс 4) Оборотные фонды потребляются в течение ?) не более двух производственных циклов ?) одного производственного цикла ?) не более трех производственных циклов ?) нескольких производственных циклов Вопрос id:2142820 Тема/шкала: 4334.05.01;МТ.01;1 - Модульный тест - Статистика (курс 4) Общая сумма затрат, связанных с производством продукции и расходов по ее реализации ?) восстановительная стоимость ?) полная себестоимость ?) ликвидационная стоимость ?) частичная себестоимость Вопрос id:2142821 Тема/шкала: 4334.05.01;МТ.01;1 - Модульный тест - Статистика (курс 4) Общий показатель, характеризующий оснащенность работников предприятий или отраслей основными фондами ?) фондоотдача постоянного состава ?) фондовооруженность труда ?) фондоотдача переменного состава ?) индекс структурных сдвигов Вопрос id:2142822 Тема/шкала: 4334.05.01;МТ.01;1 - Модульный тест - Статистика (курс 4) Одним из показателей, характеризующих эффективность использования материально-производственных ресурсов, является ?) доля постоянных расходов в общей сумме расходов ?) доля расходов на оплату труда в себестоимости производства единицы продукции ?) доля задолженности поставщикам сврья и материалов в совокупной величине кредиторской задолженности ?) доля материальных расходов в себестоимости производства единицы продукции Вопрос id:2142823 Тема/шкала: 4334.05.01;МТ.01;1 - Модульный тест - Статистика (курс 4) Оперативный анализ равномерности отгрузки продукции необходим для ?) улучшения состава производственного оборудования ?) рационального управления запасами готовой продукции ?) повышения среднегодовой заработной платы одного работника ?) повышения ликвидности основных средств Вопрос id:2142825 Тема/шкала: 4334.05.01;МТ.01;1 - Модульный тест - Статистика (курс 4) Отношение средней договорной цены при фактическом соотношении сортов к средней договорной цене при плановом соотношении сортов - это ?) коэффициент качества продукции ?) коэффициент динамики качества ?) индекс качества ?) индекс сортности Вопрос id:2142826 Тема/шкала: 4334.05.01;МТ.01;1 - Модульный тест - Статистика (курс 4) По формуле: Сумма износа. Полная стоимость основных средств рассчитывается коэффициент ?) ликвидности основных средств ?) износа основных средств ?) выбытия основных средств ?) годности основных средств Вопрос id:2142827 Тема/шкала: 4334.05.01;МТ.01;1 - Модульный тест - Статистика (курс 4) Показатель рентабельности активов рассчитывается как отношение ?) чистой прибыли к выручке от продаж ?) прибыли до налогообложения к выручке от продаж ?) выручки от продаж к совокупным активам ?) прибыли до налогообложения к совокупным активам Вопрос id:2142828 Тема/шкала: 4334.05.01;МТ.01;1 - Модульный тест - Статистика (курс 4) Показатель, рассчитываемый делением временных затрат на выпуск продукции в натуральном выражении ?) рентабельность ?) трудоемкость единицы продукции ?) выработка продукции в единицу времени ?) фондоемкость Вопрос id:2142829 Тема/шкала: 4334.05.01;МТ.01;1 - Модульный тест - Статистика (курс 4) Показатель, характеризующий стоимость основных производственных фондов, приходящуюся на 1 рубль произведенной продукции ?) рентабельность ?) трудоемкость ?) фондоотдача ?) фондоемкость Вопрос id:2142830 Тема/шкала: 4334.05.01;МТ.01;1 - Модульный тест - Статистика (курс 4) При 100%-ном выполнении договорных обязательств по поставке продукции всем потребителям коэффициент вариации равен ?) 1 ?) 0,3 ?) 0 ?) 0,5 Вопрос id:2142831 Тема/шкала: 4334.05.01;МТ.01;1 - Модульный тест - Статистика (курс 4) При изготовлении 500 батонов хлеба было израсходовано 110 кг муки. Удельный расход муки составляет ?) 330 г ?) 110 кг/шт. ?) 500 г ?) 0,22 кг/шт. Вопрос id:2142832 Тема/шкала: 4334.05.01;МТ.01;1 - Модульный тест - Статистика (курс 4) При использовании метода цепных подстановок количество факторов, включенных в аналитическую модель, ограничивается ?) двумя ?) четырьмя ?) не ограничивается ?) тремя Вопрос id:2142833 Тема/шкала: 4334.05.01;МТ.01;1 - Модульный тест - Статистика (курс 4) Прибыль предприятия является характеристикой ?) рентабельности капитала ?) финансовых результатов ?) ликвидности ?) оборачиваемости совокупных активов Вопрос id:2142834 Тема/шкала: 4334.05.01;МТ.01;1 - Модульный тест - Статистика (курс 4) Производственные запасы материальных ценностей входят в состав ?) пассивов ?) внеоборотных фондов ?) гудвилла ?) оборотных фондов Вопрос id:2142835 Тема/шкала: 4334.05.01;МТ.01;1 - Модульный тест - Статистика (курс 4) Самостоятельный хозяйствующий субъект, созданный для организации предпринимательской деятельности, экономическими целями которого являются обеспечение общественных потребностей и извлечение прибыли ?) общество ?) учреждение ?) товарищество ?) предприятие Вопрос id:2142836 Тема/шкала: 4334.05.01;МТ.01;1 - Модульный тест - Статистика (курс 4) Сравнение отчетных показателей с показателями предшествующих периодов позволяет определить ?) степень отклонения от нормы ?) динамику развития организации ?) степень выполнения бизнес-плана организации ?) рейтинг анализируемой организации в отрасли Вопрос id:2142837 Тема/шкала: 4334.05.01;МТ.01;1 - Модульный тест - Статистика (курс 4) Средний расход материальных ресурсов на производство единицы изделия ?) относительный расход ?) удельный расход ?) абсолютный расход ?) совокупный расход Вопрос id:2142838 Тема/шкала: 4334.05.01;МТ.01;1 - Модульный тест - Статистика (курс 4) Стоимость всех готовых изделий и полуфабрикатов, изготовленных в отчетном периоде из своего материала и материала заказчика, а также стоимость выполненных работ за вычетом стоимости готовых изделий и полуфабрикатов собственной выработки, потребленных в производстве ?) товарная продукция ?) валовая продукция ?) готовая продукция ?) чистая продукция Вопрос id:2142839 Тема/шкала: 4334.05.01;МТ.01;1 - Модульный тест - Статистика (курс 4) Традиционный метод экономического анализа предприятий ?) дифференциальное исчисление ?) интегральный ?) индексный ?) линейное программирование Вопрос id:2142840 Тема/шкала: 4334.05.01;МТ.01;1 - Модульный тест - Статистика (курс 4) Удельный расход майонеза на порцию салата 15 г. При расфасовке 200 партий салата израсходовано 3 кг майонеза ?) израсходовано больше норматива ?) данных недостаточно для ответа на вопрос ?) израсходовано меньше норматива ?) фактический расход соответствует нормативному Вопрос id:2142841 Тема/шкала: 4334.05.01;МТ.01;1 - Модульный тест - Статистика (курс 4) Что может стать причиной снижения величины чистых активов предприятия ?) оборотные фонды ?) чистый убыток отчетного года ?) увеличение уставного капитала ?) увеличение долгосрочных обязательств Вопрос id:2142842 Тема/шкала: 4334.05.01;МТ.01;1 - Модульный тест - Статистика (курс 4) Что не относится к фондам обращения ?) готовая продукция ?) расходы будущих периодов ?) отгруженные товары ?) денежные средства на расчетном счете и в кассе Вопрос id:2142843 Тема/шкала: 4334.05.01;МТ.01;1 - Модульный тест - Статистика (курс 4) Экономия основных средств достигается за счет повышения ?) фондоотдачи основных средств ?) оборачиваемости денежных средств ?) деловой активности ?) рентабельности собственного капитала Вопрос id:2142844 Тема/шкала: 4334.05.01;МТ.01;1 - Модульный тест - Статистика (курс 4) Элементом финансовой отчетности организации является ?) налог на имущество ?) среднесписочная численность работников ?) положение организации на рынке ?) капитал Вопрос id:2142845 Тема/шкала: 4334.01.01;МТ.01;1 - Модульный тест - Статистика (курс 4)
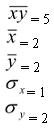
Линейный коэффициент корреляции равен: ?) 0,3 ?) 0,5 ?) -0,6 ?) 1 Вопрос id:2142846 Тема/шкала: 4334.01.01;МТ.01;1 - Модульный тест - Статистика (курс 4) В таблице приведена … группировка. Группировка коммерческих банков России по сумме активов баланса
?) синтетическая ?) аналитическая ?) типологическая ?) структурная Вопрос id:2142847 Тема/шкала: 4334.01.01;МТ.01;1 - Модульный тест - Статистика (курс 4) Верны ли утверждения? А) В системе цепных индексов уровни индексируемого показателя сопоставляются с уровнем базисного периода. В) В системе базисных индексов сравнения уровней индексируемого показателя в каждом индексе производят с уровнем последующего периода. Подберите правильный ответ ?) А- да, В- да ?) А-да, В-нет ?) А- нет, В- да ?) А- нет, В- нет Вопрос id:2142848 Тема/шкала: 4334.01.01;МТ.01;1 - Модульный тест - Статистика (курс 4) Верны ли утверждения? А) Если все значения признака уменьшить или увеличить на одну и ту же постоянную величину, то дисперсия от этого не изменится. В) Если все значения признака уменьшить или увеличить в одно и то же число раз (i раз), то дисперсия соответственно уменьшится или увеличится в i2 раз. Подберите правильный ответ ?) А- нет, В- да ?) А- нет, В- нет ?) А- да, В- да ?) А-да, В-нет Вопрос id:2142849 Тема/шкала: 4334.01.01;МТ.01;1 - Модульный тест - Статистика (курс 4) Верны ли утверждения? А) Относительный показатель интенсивности рассчитывается как отношение уровня, запланированного на предстоящий период, к уровню, фактически сложившемуся в этом периоде. В) Относительный показатель динамики характеризует долю отдельных частей изучаемой совокупности во всем ее объеме. Подберите правильный ответ ?) А- нет, В- нет ?) А- да, В- да ?) А-да, В-нет ?) А- нет, В- да Вопрос id:2142850 Тема/шкала: 4334.01.01;МТ.01;1 - Модульный тест - Статистика (курс 4) Верны ли утверждения? А) Отношение двух взвешенных средних с изменяющимися (переменными) весами, показывающее изменение индексируемой средней величины, – индекс структурных сдвигов. В) Среди способов построения общих индексов есть агрегатные и средние. Подберите правильный ответ ?) А- да, В- да ?) А- нет, В- да ?) А-да, В-нет ?) А- нет, В- нет Вопрос id:2142851 Тема/шкала: 4334.01.01;МТ.01;1 - Модульный тест - Статистика (курс 4) Верны ли утверждения? А) Подлежащее статистической таблицы – единицы статистической совокупности или их группы, указывающие на характеризуемый объект. В) Сказуемое статистической таблицы – система показателей, которые характеризуют объект изучения. Подберите правильный ответ ?) А- нет, В- нет ?) А- да, В- да ?) А-да, В-нет ?) А- нет, В- да Вопрос id:2142852 Тема/шкала: 4334.01.01;МТ.01;1 - Модульный тест - Статистика (курс 4) Верны ли утверждения? А) Простой сводкой называется операция по подсчету общих итогов по совокупности единиц наблюдения. В) Сложной сводкой называется комплекс операций, включающих группировку единиц наблюдения, подсчет итогов по каждой группе и по всему объекту и представление результатов группировки и сводки в виде статистических таблиц. Подберите правильный ответ ?) А- нет, В- нет ?) А- нет, В- да ?) А-да, В-нет ?) А- да, В- да Вопрос id:2142853 Тема/шкала: 4334.01.01;МТ.01;1 - Модульный тест - Статистика (курс 4) Верны ли утверждения? А) Ряды изменяющихся во времени значений статистического показателя, расположенных в хронологическом порядке, называются рядами динамики. В) Показатель, характеризующий увеличение или уменьшение уровня ряда за определенный промежуток времени, называется дифференциальным приростом. Подберите правильный ответ ?) А-да, В-нет ?) А- да, В- да ?) А- нет, В- да ?) А- нет, В- нет Вопрос id:2142854 Тема/шкала: 4334.01.01;МТ.01;1 - Модульный тест - Статистика (курс 4) Верны ли утверждения? А) Статистика – древняя наука, имеющая короткую историю. В) Термин «статистика» введен Готфридом Ахенвалем. Подберите правильный ответ ?) А- нет, В- да ?) А-да, В-нет ?) А- да, В- да ?) А- нет, В- нет Вопрос id:2142855 Тема/шкала: 4334.01.01;МТ.01;1 - Модульный тест - Статистика (курс 4) Известно, что каждый рабочий изготовил следующее количество деталей: 20; 15; 18; 25; 17. Средняя выработка одного рабочего равна … ?) 20 ?) 19 ?) 18 ?) 15 Вопрос id:2142856 Тема/шкала: 4334.01.01;МТ.01;1 - Модульный тест - Статистика (курс 4) Имеется ряд индивидуальных значений признака: 1; 4; 8; 8. Средняя геометрическая равна: ?) 4,6 ?) 3,5 ?) 8 ?) 4 Вопрос id:2142857 Тема/шкала: 4334.01.01;МТ.01;1 - Модульный тест - Статистика (курс 4) Имеется ряд индивидуальных значений признака: 21; 20; 20; 19; 21; 19; 18; 22; 19; 20; 21; 20; 18; 19; 20. Простая арифметическая средняя равна: ?) 22 ?) 20 ?) 19 ?) 21 Вопрос id:2142858 Тема/шкала: 4334.01.01;МТ.01;1 - Модульный тест - Статистика (курс 4) Имеется ряд индивидуальных значений признака: 21; 21; 20; 19; 21; 19; 18; 22; 19; 20; 21; 20; 18; 19; 21. Медиана равна: ?) 20 ?) 18 ?) 21 ?) 22 Вопрос id:2142859 Тема/шкала: 4334.01.01;МТ.01;1 - Модульный тест - Статистика (курс 4) Имеется ряд индивидуальных значений признака: 21; 21; 20; 19; 21; 19; 18; 22; 19; 20; 21; 20; 18; 19; 21. Мода равна: ?) 20 ?) 18 ?) 19 ?) 21 Вопрос id:2142860 Тема/шкала: 4334.01.01;МТ.01;1 - Модульный тест - Статистика (курс 4) Имеются данные:
Базисный коэффициент роста в 2010 г. равен ___ %. ?) 100,2 ?) 87,9 ?) 106,2 ?) 111,8 |










