Список вопросов базы знанийСтатистика_Вопрос id:2143853 Тема/шкала: 4334.05.01;ТТА.01;1 - Тест-тренинг адаптивный - Статистика (курс 4) Укажите соответствие
Вопрос id:2143854 Тема/шкала: 4334.05.01;ТТА.01;1 - Тест-тренинг адаптивный - Статистика (курс 4) Укажите соответствие
Вопрос id:2143855 Тема/шкала: 4334.05.01;ТТА.01;1 - Тест-тренинг адаптивный - Статистика (курс 4) Укажите соответствие
Вопрос id:2143856 Тема/шкала: 4334.05.01;ТТА.01;1 - Тест-тренинг адаптивный - Статистика (курс 4) Укажите соответствие
Вопрос id:2143857 Тема/шкала: 4334.05.01;ТТА.01;1 - Тест-тренинг адаптивный - Статистика (курс 4) Укажите соответствие
Вопрос id:2143858 Тема/шкала: 4334.05.01;ТТА.01;1 - Тест-тренинг адаптивный - Статистика (курс 4) Фонды обращения ?) расходы будущих периодов ?) готовая продукция ?) производственные запасы ?) отгруженные товары Вопрос id:2143859 Тема/шкала: 4334.05.01;ТТА.01;1 - Тест-тренинг адаптивный - Статистика (курс 4) Часть стоимости основных производственных фондов, которую они теряют в процессе производства и переносят на произведенный продукт называется Вопрос id:2143860 Тема/шкала: 4334.04.01;ТТА.01;1 - Тест-тренинг адаптивный - Статистика (курс 4) Верны ли утверждения? А) В условиях плановой экономики предметом статистики рынка труда было экономически активное население, безработица. В) Информация о рынке труда используется при разработке экономической и социальной политики государства. Подберите правильный ответ ?) А-да, В-нет ?) А- нет, В- нет ?) А- да, В- да ?) А- нет, В- да Вопрос id:2143861 Тема/шкала: 4334.04.01;ТТА.01;1 - Тест-тренинг адаптивный - Статистика (курс 4) Верны ли утверждения? А) Если в результате сокращенного числа выходов на работу установлена продолжительность рабочего дня больше нормальной, учет сверхурочного времени не ведется. В) При шестидневной рабочей неделе установленная трудовым законодательством продолжительность рабочего дня составляет 8 часов. Подберите правильный ответ ?) А- нет, В- нет ?) А- да, В- да ?) А- нет, В- да ?) А-да, В-нет Вопрос id:2143862 Тема/шкала: 4334.04.01;ТТА.01;1 - Тест-тренинг адаптивный - Статистика (курс 4) Верны ли утверждения? А) Если индекс номинальной заработной платы меньше индекса потребительских цен, то индекс реальной заработной платы больше 1. В) Анализ дифференциации работников по уровню заработной платы проводится по 5% высокооплачиваемых и 5% низкооплачиваемых сотрудников. Подберите правильный ответ ?) А- нет, В- да ?) А-да, В-нет ?) А- нет, В- нет ?) А- да, В- да Вопрос id:2143863 Тема/шкала: 4334.04.01;ТТА.01;1 - Тест-тренинг адаптивный - Статистика (курс 4) Верны ли утверждения? А) Заработная плата представляет собой стоимость рабочей силы. В) К заработной плате не относятся пособия и выплаты за счет государственных внебюджетных фондов. Подберите правильный ответ ?) А- да, В- да ?) А- нет, В- нет ?) А- нет, В- да ?) А-да, В-нет Вопрос id:2143864 Тема/шкала: 4334.04.01;ТТА.01;1 - Тест-тренинг адаптивный - Статистика (курс 4) Верны ли утверждения? А) Наиболее распространенная продолжительность трудовой недели 41-50 часов. В) В составе отработанных человеко-часов отдельно выделяется сверхурочное время. Подберите правильный ответ ?) А- да, В- да ?) А-да, В-нет ?) А- нет, В- да ?) А- нет, В- нет Вопрос id:2143865 Тема/шкала: 4334.04.01;ТТА.01;1 - Тест-тренинг адаптивный - Статистика (курс 4) Верны ли утверждения? А) Оплата организацией питания сотрудников в буфете не входит в фонд оплаты труда. В) Организация не обязана заключать договоры добровольного медицинского страхования своих сотрудников. Подберите правильный ответ ?) А-да, В-нет ?) А- нет, В- нет ?) А- нет, В- да ?) А- да, В- да Вопрос id:2143866 Тема/шкала: 4334.04.01;ТТА.01;1 - Тест-тренинг адаптивный - Статистика (курс 4) Верны ли утверждения? А) Повышение квалификации – это более продолжительное мероприятие, чем профессиональная переподготовка. В) Вид непрерывного профессионального обучения рабочих и служащих, организуемый для изучения новой техники, вопросов, связанных с повышением качества продукции, – это стажировка. Подберите правильный ответ ?) А- нет, В- да ?) А- да, В- да ?) А- нет, В- нет ?) А-да, В-нет Вопрос id:2143867 Тема/шкала: 4334.04.01;ТТА.01;1 - Тест-тренинг адаптивный - Статистика (курс 4) Верны ли утверждения? А) Работа по найму – работа, при которой лицо заключает явный (письменный или устный) или подразумеваемый трудовой договор, гарантирующий ему базовое вознаграждение (деньгами или натурой), которое прямо не зависит от дохода единицы, где лицо работает. В) Индивидуальный предприниматель – это работающий не по найму. Подберите правильный ответ ?) А- нет, В- нет ?) А- да, В- да ?) А-да, В-нет ?) А- нет, В- да Вопрос id:2143868 Тема/шкала: 4334.04.01;ТТА.01;1 - Тест-тренинг адаптивный - Статистика (курс 4) За март средняя заработная плата была следующая:
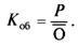
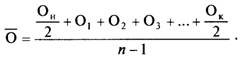
Коэффициент фондов равен (ответ дать цифрой). Вопрос id:2143869 Тема/шкала: 4334.04.01;ТТА.01;1 - Тест-тренинг адаптивный - Статистика (курс 4) Имеются данные об индивидуальных индексах производительности труда (νi) и затратах труда (Тi). Индекс Струмилина равен:
(ответ дать цифрой). Вопрос id:2143870 Тема/шкала: 4334.04.01;ТТА.01;1 - Тест-тренинг адаптивный - Статистика (курс 4) Расположите годы в порядке увеличения коэффициента экономической активности населения:
?) 2011 г. ?) 2009 г. ?) 2010 г. Вопрос id:2143871 Тема/шкала: 4334.04.01;ТТА.01;1 - Тест-тренинг адаптивный - Статистика (курс 4) Среднемесячная заработная плата в текущих ценах составила в базисном году 28000 руб., в отчетном 32000 руб. Стоимость потребительской корзины в базисном году равнялась 4000 руб., в отчетном 5000 руб. Установите соответствие между понятиями и их определениями
Вопрос id:2143872 Тема/шкала: 4334.04.01;ТТА.01;1 - Тест-тренинг адаптивный - Статистика (курс 4) Абсолютные показатели движения персонала предприятия ?) оборот по приему ?) оборот по увольнению ?) коэффициент общего оборота ?) оборот кадров Вопрос id:2143873 Тема/шкала: 4334.04.01;ТТА.01;1 - Тест-тренинг адаптивный - Статистика (курс 4) Академик, предложивший обобщающий показатель динамики производительности труда по совокупности производственных единиц, - это ___ (указать фамилию) Вопрос id:2143874 Тема/шкала: 4334.04.01;ТТА.01;1 - Тест-тренинг адаптивный - Статистика (курс 4) Баланс трудовых ресурсов состоит из двух разделов. В первом разделе показываются ___, а во втором – их распределение. Вопрос id:2143875 Тема/шкала: 4334.04.01;ТТА.01;1 - Тест-тренинг адаптивный - Статистика (курс 4) В количество оплаченных человеко-часов включают ?) отработанные человеко-часы ?) листок нетрудоспособности ?) учебный отпуск ?) исполнение обязанностей присяжного Вопрос id:2143876 Тема/шкала: 4334.04.01;ТТА.01;1 - Тест-тренинг адаптивный - Статистика (курс 4) В соответствии с межународными стандартами Международное бюро труда осуществляет ежегодное обследование заработной платы в ___ месяце. Вопрос id:2143877 Тема/шкала: 4334.04.01;ТТА.01;1 - Тест-тренинг адаптивный - Статистика (курс 4) В формуле расчета уровня занятости в знаменателе находится ?) численность экономически активного населения на t-ю дату ?) общая численность населения на t-ю дату ?) численность занятых на t-ю дату ?) численность наемных работников Вопрос id:2143878 Тема/шкала: 4334.04.01;ТТА.01;1 - Тест-тренинг адаптивный - Статистика (курс 4) Временный добровольный отказ работников от исполнения трудовых обязанностей (полностью или частично) в целях разрешения коллективного трудового спора - это Вопрос id:2143879 Тема/шкала: 4334.04.01;ТТА.01;1 - Тест-тренинг адаптивный - Статистика (курс 4) Все виды заработков, прямо или косвенно связанные с количественными или качественными результатами труда наемных работников, выплачиваемые им через определенные промежутки времени, – это ___ ___ Вопрос id:2143882 Тема/шкала: 4334.04.01;ТТА.01;1 - Тест-тренинг адаптивный - Статистика (курс 4) Засчитывается как сверхурочное время у водителя городского пассажирского транспорта ?) работа 1 января ?) работа в воскресенье ?) невозможность перемещения в парк и ожидание эвакуатора ?) работа 4 ноября Вопрос id:2143884 Тема/шкала: 4334.04.01;ТТА.01;1 - Тест-тренинг адаптивный - Статистика (курс 4) Индекс, показывающий, во сколько раз возросла (уменьшилась) производительность труда в среднем по всем единицам исследуемой совокупности – это индекс ?) Стреджесса ?) Струве ?) Кейнса ?) Струмилина Вопрос id:2143885 Тема/шкала: 4334.04.01;ТТА.01;1 - Тест-тренинг адаптивный - Статистика (курс 4) К работающим не по найму относятся ?) член производственного кооператива ?) операционист в банке ?) генеральный директор компании, являющийся ее собственником ?) индивидуальный предприниматель Вопрос id:2143887 Тема/шкала: 4334.04.01;ТТА.01;1 - Тест-тренинг адаптивный - Статистика (курс 4) Категории, не являвшиеся предметом статистики рынка труда ?) затраты на рабочую силу ?) трудовые конфликты ?) отраслевая занятость ?) безработица Вопрос id:2143888 Тема/шкала: 4334.04.01;ТТА.01;1 - Тест-тренинг адаптивный - Статистика (курс 4) Категории, относящиеся к экономически неактивному населению ?) лица, прекратившие поиски работы ?) пенсионеры по старости и инвалиды ?) женщины, находящиеся в отпуске по уходу за ребенком ?) учащиеся и студенты заочной формы обучения Вопрос id:2143889 Тема/шкала: 4334.04.01;ТТА.01;1 - Тест-тренинг адаптивный - Статистика (курс 4) Лица обоего пола в возрасте 15-72 лет, которые обеспечивают предложение рабочей силы (труда) для производства товаров или услуг в границах производства, определенного в Системе национальных счетов, в течение отчетного периода, - это ?) работающее по найму население ?) занятое население ?) экономически неактивное население ?) экономически активное население Вопрос id:2143890 Тема/шкала: 4334.04.01;ТТА.01;1 - Тест-тренинг адаптивный - Статистика (курс 4) Лица, постоянно работающие на собственном частном предприятии, и лица, занимающиеся профессиональной деятельностью или ремеслом на самостоятельной основе и постоянно использующие труд наемных работников, - это Вопрос id:2143891 Тема/шкала: 4334.04.01;ТТА.01;1 - Тест-тренинг адаптивный - Статистика (курс 4) Лицо, которое мигрирует из одной страны в другую с намерением получить работу, - это ?) гастарбайтер ?) трудящийся мигрант ?) мимикрирующий ?) летун Вопрос id:2143892 Тема/шкала: 4334.04.01;ТТА.01;1 - Тест-тренинг адаптивный - Статистика (курс 4) Лицо, удовлетворяющее следующим критериям: не имеет работы, занимается поиском работы, готов приступить к работе, – называется Вопрос id:2143893 Тема/шкала: 4334.04.01;ТТА.01;1 - Тест-тренинг адаптивный - Статистика (курс 4) На начало года в организации было 110 человек, за год принято 20 человек, уволено 40 человек. Коэффициент текучести кадров равен ___ % (ответ дать цифрой).. Вопрос id:2143894 Тема/шкала: 4334.04.01;ТТА.01;1 - Тест-тренинг адаптивный - Статистика (курс 4) Общая численность населения 100 млн.чел. Коэффициент экономической активности населения 33%. Численность экономически активного населения составляет ___ млн чел. (ответ дать цифрой). Вопрос id:2143895 Тема/шкала: 4334.04.01;ТТА.01;1 - Тест-тренинг адаптивный - Статистика (курс 4) Общероссийский классификатор занятий (ОКЗ) содержит ___ укрупненных групп (ответ дать цифрой). Вопрос id:2143896 Тема/шкала: 4334.04.01;ТТА.01;1 - Тест-тренинг адаптивный - Статистика (курс 4) Оплата труда в бюджетной сфере основана на принципах организации оплаты труда работников исходя из ?) Единой тарифной сетки ?) Бюджетного кодекса ?) Гражданского кодекса ?) инструкции Росстата Вопрос id:2143897 Тема/шкала: 4334.04.01;ТТА.01;1 - Тест-тренинг адаптивный - Статистика (курс 4) Основные единицы измерения рабочего времени ?) человеко-годы ?) человеко-дни ?) человеко-минуты ?) человеко-часы Вопрос id:2143898 Тема/шкала: 4334.04.01;ТТА.01;1 - Тест-тренинг адаптивный - Статистика (курс 4) Показатели дифференциации работников по уровню заработной платы ?) промильный коэффициент дифференциации ?) децильный коэффициент дифференциации ?) коэффициент фондов ?) индекс реальной заработной платы Вопрос id:2143899 Тема/шкала: 4334.04.01;ТТА.01;1 - Тест-тренинг адаптивный - Статистика (курс 4) Показатель, измеряющий количество продукции, выпущенной работником за единицу времени, – это ___ ___. Вопрос id:2143900 Тема/шкала: 4334.04.01;ТТА.01;1 - Тест-тренинг адаптивный - Статистика (курс 4) При расчете числа вовлеченных в конфликт трудящихся и потерь рабочего времени в результате конфликтов в знаменателе стоит(ят) ?) число участвовавших в конфликте трудящихся ?) число уволенных сотрудников ?) среднесписочная численность работников ?) потери рабочего времени Вопрос id:2143901 Тема/шкала: 4334.04.01;ТТА.01;1 - Тест-тренинг адаптивный - Статистика (курс 4) Продолжительность времени, в течение которого работник физически выполнял работу, - это ?) трудовая смена ?) рабочий день ?) рабочее время ?) календарный фонд времени Вопрос id:2143902 Тема/шкала: 4334.04.01;ТТА.01;1 - Тест-тренинг адаптивный - Статистика (курс 4) Продолжительность рабочего дня, установленная трудовым законодательством, при 5-дневной рабочей неделе, ___ ч. (ответ дать цифрой). Вопрос id:2143903 Тема/шкала: 4334.04.01;ТТА.01;1 - Тест-тренинг адаптивный - Статистика (курс 4) Продолжительность рабочего дня, установленная трудовым законодательством, при 6-дневной рабочей неделе, ___ ч. (ответ дать цифрой). Вопрос id:2143904 Тема/шкала: 4334.04.01;ТТА.01;1 - Тест-тренинг адаптивный - Статистика (курс 4) Простая повременная система оплаты труда подразделяется на ?) поденную ?) премиальную ?) почасовую ?) помесячную Вопрос id:2143905 Тема/шкала: 4334.04.01;ТТА.01;1 - Тест-тренинг адаптивный - Статистика (курс 4) Расположите в порядке увеличения ?) календарный фонд времени ?) табельный фонд времени ?) располагаемый фонд времени Вопрос id:2143906 Тема/шкала: 4334.04.01;ТТА.01;1 - Тест-тренинг адаптивный - Статистика (курс 4) Расположите возрастные группы по мере уменьшения экономически активного населения в них ?) 40-50 лет ?) 60-70 лет ?) 55-60 лет ?) до 20 лет |


