Тесты онлайн, бесплатный конструктор тестов. Психологические тестирования, тесты на проверку знаний.
Список вопросов базы знанийСтатистика_Вопрос id:2143776 Тема/шкала: 4334.05.01;ТТА.01;1 - Тест-тренинг адаптивный - Статистика (курс 4) Предприятия имели на начало и конец месяца следующие товарные запасы:
![]() Расположите предприятия в порядке увеличения их удельных расходов мяса. ?) Г ?) А ?) Б ?) В Вопрос id:2143778 Тема/шкала: 4334.05.01;ТТА.01;1 - Тест-тренинг адаптивный - Статистика (курс 4) Расположите годы в порядке роста коэффициента оборачиваемости оборотных фондов:
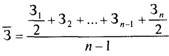
![]() ?) 2008 г. ?) 2010 г. ?) 2007 г. ?) 2009 г. Вопрос id:2143779 Тема/шкала: 4334.05.01;ТТА.01;1 - Тест-тренинг адаптивный - Статистика (курс 4) Активные основные фонды ?) машины ?) здания ?) сооружения ?) инструмент Вопрос id:2143780 Тема/шкала: 4334.05.01;ТТА.01;1 - Тест-тренинг адаптивный - Статистика (курс 4) В зависимости от объекта затрат различают себестоимость ?) производства ?) сбыта ?) единицы продукции ?) всей продукции Вопрос id:2143781 Тема/шкала: 4334.05.01;ТТА.01;1 - Тест-тренинг адаптивный - Статистика (курс 4) В состав оборотных фондов входят ?) производственные фонды ?) основные средства ?) дебиторская задолженность ?) денежные средства Вопрос id:2143782 Тема/шкала: 4334.05.01;ТТА.01;1 - Тест-тренинг адаптивный - Статистика (курс 4) Валовая прибыль - 1200 тыс.руб., среднегодовая стоимость производственных фондов - 600 тыс.руб. Общая рентабельность производства равна ___ %. Вопрос id:2143783 Тема/шкала: 4334.05.01;ТТА.01;1 - Тест-тренинг адаптивный - Статистика (курс 4) Выраженные в денежной форме текущие затраты предприятия на производство и реализацию продукции образуют ее ___ Вопрос id:2143784 Тема/шкала: 4334.05.01;ТТА.01;1 - Тест-тренинг адаптивный - Статистика (курс 4) Выручка от реализации составила за год 5 млн руб., а средний остаток оборотных фондов - 400 тыс.руб. Коэффициент оборачиваемости оборотных фондов равен ___ раз. Вопрос id:2143785 Тема/шкала: 4334.05.01;ТТА.01;1 - Тест-тренинг адаптивный - Статистика (курс 4) Выручка от реализации составила за год 6 млн руб., а средний остаток оборотных фондов - 600 тыс.руб. Длительность одного оборота - ___ дн. Вопрос id:2143786 Тема/шкала: 4334.05.01;ТТА.01;1 - Тест-тренинг адаптивный - Статистика (курс 4) Выручка от реализации составила за год 6 млн руб., а средний остаток оборотных фондов - 600 тыс.руб. Коэффициент закрепления оборотных фондов равен Вопрос id:2143787 Тема/шкала: 4334.05.01;ТТА.01;1 - Тест-тренинг адаптивный - Статистика (курс 4) Годовая выручка от реализации 6 млн руб., средний остаток оборотных фондов 0,6 млн руб.Год - 360 дней. Коэффициент оборачиваемости оборотных фондов равен Вопрос id:2143788 Тема/шкала: 4334.05.01;ТТА.01;1 - Тест-тренинг адаптивный - Статистика (курс 4) Годовая выручка от реализации 8 млн руб., средний остаток оборотных фондов 2 млн руб. Год - 360 дней. Коэффициент оборачиваемости оборотных фондов равен ?) 4 ?) 10 ?) 8 ?) 12 Вопрос id:2143789 Тема/шкала: 4334.05.01;ТТА.01;1 - Тест-тренинг адаптивный - Статистика (курс 4) Годовая сумма амортизационных отчислений рассчитывается по формуле ?) разность полной первоначальной стоимости основных фондов и ликвидационной стоимости основных фондов за вычетом расходов на их демонтаж, деленная на нормативный срок службы основных фондов ?) разность полной первоначальной стоимости основных фондов и ликвидационной стоимости основных фондов за вычетом расходов на их демонтаж, умноженная на нормативный срок службы основных фондов ?) сумма полной первоначальной стоимости основных фондов и ликвидационной стоимости основных фондов за вычетом расходов на их демонтаж, умноженная на нормативный срок службы основных фондов ?) сумма полной первоначальной стоимости основных фондов и ликвидационной стоимости основных фондов за вычетом расходов на их демонтаж, деленная на нормативный срок службы основных фондов Вопрос id:2143791 Тема/шкала: 4334.05.01;ТТА.01;1 - Тест-тренинг адаптивный - Статистика (курс 4) За год на предприятие поступило основных средств стоимостью 24000 тыс.руб. Стоимость основных средств на конец года - 100000 тыс.руб. Коэффициент ввода основных фондов равен Вопрос id:2143792 Тема/шкала: 4334.05.01;ТТА.01;1 - Тест-тренинг адаптивный - Статистика (курс 4) За квартал предприятием реализовано продукции на 12 000 тыс. руб. Средняя величина запаса за отчетный период равна 120 тыс.руб. За квартал товарные запасы обернулись ___ раз. Вопрос id:2143793 Тема/шкала: 4334.05.01;ТТА.01;1 - Тест-тренинг адаптивный - Статистика (курс 4) Запас материала на начало недели составил 240 т. Плановая потребность на 5-дневную неделю - 320 т материала. Запасоемкость предприятия - ___ %. Вопрос id:2143794 Тема/шкала: 4334.05.01;ТТА.01;1 - Тест-тренинг адаптивный - Статистика (курс 4) Запас материала на начало недели составил 256 т. Плановая потребность на 5-дневную неделю - 320 т материала. Предприятие обеспечено материалом на ?) 3 дня ?) 2 дня ?) 5 дней ?) 4 дня Вопрос id:2143795 Тема/шкала: 4334.05.01;ТТА.01;1 - Тест-тренинг адаптивный - Статистика (курс 4) Затратоотдача равна 0,5. Затратоемкость равна Вопрос id:2143796 Тема/шкала: 4334.05.01;ТТА.01;1 - Тест-тренинг адаптивный - Статистика (курс 4) Издержки, определяемые предприятиями, занимающимися активной производственной деятельностью ?) издержки реализации ?) издержки производства ?) издержки обращения ?) издержки приобретения Вопрос id:2143797 Тема/шкала: 4334.05.01;ТТА.01;1 - Тест-тренинг адаптивный - Статистика (курс 4) Коэффициент покрытия относятся к группе показателей Вопрос id:2143798 Тема/шкала: 4334.05.01;ТТА.01;1 - Тест-тренинг адаптивный - Статистика (курс 4) Методы, используемые для определения потребности в оборотных фондах ?) метод прямого счета ?) дифференциальный метод ?) аналитический метод ?) коэффициентный метод Вопрос id:2143799 Тема/шкала: 4334.05.01;ТТА.01;1 - Тест-тренинг адаптивный - Статистика (курс 4) На начало года запасы предприятия составили 210 тыс.руб., на конец года - 170 тыс.руб. Среднегодовой объем запасов предприятия - ___ тыс.руб. Вопрос id:2143800 Тема/шкала: 4334.05.01;ТТА.01;1 - Тест-тренинг адаптивный - Статистика (курс 4) Налогооблагаемая прибыль включает ?) балансовую прибыль ?) прибыль от внереализационных операций ?) прибыль от реализации ?) валовую прибыль Вопрос id:2143802 Тема/шкала: 4334.05.01;ТТА.01;1 - Тест-тренинг адаптивный - Статистика (курс 4) Основные производственные фонды - ?) дикорастущий лес ?) земля ?) фрезерный станок с ЧПУ ?) станки на складе готовой продукции Вопрос id:2143803 Тема/шкала: 4334.05.01;ТТА.01;1 - Тест-тренинг адаптивный - Статистика (курс 4) Основные фонды на начало года - 150 млн руб., на конец года - 120 млн руб. Выбыло за год 60 млн руб. Коэффициент выбытия равен Вопрос id:2143804 Тема/шкала: 4334.05.01;ТТА.01;1 - Тест-тренинг адаптивный - Статистика (курс 4) Основные фонды ?) оборотные ?) производственные ?) пассивные ?) непроизводственные Вопрос id:2143806 Тема/шкала: 4334.05.01;ТТА.01;1 - Тест-тренинг адаптивный - Статистика (курс 4) Отношение стоимости реализованной продукции за данный период на средний остаток оборотных фондов за тот же период ?) коэффициент закрепления оборотных фондов ?) показатель фондоемкости ?) коэффициент оборачиваемости основных фондов ?) коэффициент оборачиваемости оборотных фондов Вопрос id:2143808 Тема/шкала: 4334.05.01;ТТА.01;1 - Тест-тренинг адаптивный - Статистика (курс 4) Показатели продукции ?) юридические ?) натуральные ?) трудовые ?) стоимостные Вопрос id:2143809 Тема/шкала: 4334.05.01;ТТА.01;1 - Тест-тренинг адаптивный - Статистика (курс 4) Показатели, используемые при расчете коэффициента оборачиваемости активов ?) себестоимость продукции за отчетный период ?) выручка от реализации продукции за отчетный период ?) приыль от реализации ?) средняя сумма активов за отчетный период Вопрос id:2143810 Тема/шкала: 4334.05.01;ТТА.01;1 - Тест-тренинг адаптивный - Статистика (курс 4) Показатели, используемые при расчете оборачиваемости всех активов ?) балансовая прибыль ?) выручка от реализации ?) средняя сумма оборотных активов за отчетный период ?) средняя сумма активов за отчетный период Вопрос id:2143811 Тема/шкала: 4334.05.01;ТТА.01;1 - Тест-тренинг адаптивный - Статистика (курс 4) Показатели, используемые при расчете рентабельности товарной продукции ?) себестоимость товарной продукции ?) стоимость товарной продукции ?) чистая прибыль ?) валюта баланса Вопрос id:2143812 Тема/шкала: 4334.05.01;ТТА.01;1 - Тест-тренинг адаптивный - Статистика (курс 4) Показатель, обратный выработке; характеризует затраты труда на изготовление единицы продукции - ___ единицы продукции. Вопрос id:2143813 Тема/шкала: 4334.05.01;ТТА.01;1 - Тест-тренинг адаптивный - Статистика (курс 4) Прибыль от реализации равна 250 у.е., выручка от реализации равна 2000 у.е. Коэффициент нормы прибыли равен ___ %. Вопрос id:2143814 Тема/шкала: 4334.05.01;ТТА.01;1 - Тест-тренинг адаптивный - Статистика (курс 4) Производственные активы, часть национального имущества, созданная общественным трудом, которая длительное время неоднократно или постоянно в неизменной натурально-вещественной форме используется в экономике, постепенно перенося свою стоимость на создаваемые продукты и услуги - ?) основные фонды ?) основные непроизводственные фонды ?) основные производственные фонды ?) оборотные фонды Вопрос id:2143815 Тема/шкала: 4334.05.01;ТТА.01;1 - Тест-тренинг адаптивный - Статистика (курс 4) Расположите в порядке снижения ликвидности ?) денежные средства ?) краткосрочная дебиторская задолженность ?) долгосрочная дебиторская задолженность ?) товарные запасы Вопрос id:2143816 Тема/шкала: 4334.05.01;ТТА.01;1 - Тест-тренинг адаптивный - Статистика (курс 4) Расположите в порядке увеличения значений (при условии отсутствия внереализационных доходов и расходов) ?) балансовая прибыль ?) прибыль от основной прибыли ?) чистая прибыль Вопрос id:2143817 Тема/шкала: 4334.05.01;ТТА.01;1 - Тест-тренинг адаптивный - Статистика (курс 4) Расположите в порядке увеличения значений ?) коэффициент абсолютной ликвидности ?) коэффициент промежуточной ликвидности ?) коэффициент общей ликвидности Вопрос id:2143818 Тема/шкала: 4334.05.01;ТТА.01;1 - Тест-тренинг адаптивный - Статистика (курс 4) Расположите в порядке уменьшения ликвидности ?) товарные запасы ?) основные фонды ?) дебиторская задолженность Вопрос id:2143819 Тема/шкала: 4334.05.01;ТТА.01;1 - Тест-тренинг адаптивный - Статистика (курс 4) Расположите основные средства в порядке увеличения их срока полезного использования ?) персональные компьютеры ?) эскалаторы ?) автомобили легковые ?) киоски из металлоконструкций Вопрос id:2143820 Тема/шкала: 4334.05.01;ТТА.01;1 - Тест-тренинг адаптивный - Статистика (курс 4) Расположите основные фонды в порядке уменьшения их срока полезного использования ?) заборы металлические ?) жилища ?) щитовые здания ?) насаждения многолетних ягодных культур Вопрос id:2143822 Тема/шкала: 4334.05.01;ТТА.01;1 - Тест-тренинг адаптивный - Статистика (курс 4) Система индексов, используемых для анализа расхода материальных ресурсов ?) индекс структурных сдвигов ?) индекс цен на всю израсходованную продукцию ?) индекс обновления ?) индекс удельных расходов переменного состава Вопрос id:2143823 Тема/шкала: 4334.05.01;ТТА.01;1 - Тест-тренинг адаптивный - Статистика (курс 4) Соотношение, гарантирующее предприятию более высокий уровень платежеспособности ?) Период оборачиваемости дебиторской задолженности < Период оборачиваемости кредиторской задолженности ?) Период оборачиваемости дебиторской задолженности > Период оборачиваемости кредиторской задолженности ?) Не имеет значения ?) Период оборачиваемости дебиторской задолженности = Период оборачиваемости кредиторской задолженности Вопрос id:2143824 Тема/шкала: 4334.05.01;ТТА.01;1 - Тест-тренинг адаптивный - Статистика (курс 4) Способность денег быстро и с минимальными издержками обмениваться на любые другие виды активов - это Вопрос id:2143826 Тема/шкала: 4334.05.01;ТТА.01;1 - Тест-тренинг адаптивный - Статистика (курс 4) Среднегодовая стоимость основных производственных фондов - 1200 тыс.руб. Произведено в течение года продукции - 250000 тыс.руб. Среднесписочная численность сотрудников - 40 чел. Расположите в порядке увеличения числовых значений показатели ?) фондоемкость ?) фондовооруженность ?) фондоотдача Вопрос id:2143828 Тема/шкала: 4334.05.01;ТТА.01;1 - Тест-тренинг адаптивный - Статистика (курс 4) Статистика предпринимательства начала формироваться в ?) начале 1990-х годов ?) начале 1980-х годов ?) конце 1990-х годов ?) конце 1980-х годов Вопрос id:2143829 Тема/шкала: 4334.05.01;ТТА.01;1 - Тест-тренинг адаптивный - Статистика (курс 4) Стоимостные показатели продукции ?) товарная продукция ?) реализованная продукция ?) валовая продукция ?) трудоемкость ?) валовой оборот Вопрос id:2143830 Тема/шкала: 4334.05.01;ТТА.01;1 - Тест-тренинг адаптивный - Статистика (курс 4) Укажите соответствие формулы и рассчитываемого показателя
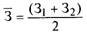
Вопрос id:2143831 Тема/шкала: 4334.05.01;ТТА.01;1 - Тест-тренинг адаптивный - Статистика (курс 4) Укажите соответствие
Вопрос id:2143832 Тема/шкала: 4334.05.01;ТТА.01;1 - Тест-тренинг адаптивный - Статистика (курс 4) Укажите соответствие
Вопрос id:2143833 Тема/шкала: 4334.05.01;ТТА.01;1 - Тест-тренинг адаптивный - Статистика (курс 4) Укажите соответствие
|
Copyright tests.ithead.ru 2013-2026




