Тесты онлайн, бесплатный конструктор тестов. Психологические тестирования, тесты на проверку знаний.
Список вопросов базы знанийФизика
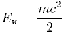
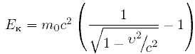
Вопрос id:361362 Тема/шкала: Механика Из космического корабля, движущегося со скоростью 0,6с, в направлении его движения отправили световой импульс с важной информацией для другого космического корабля, удаляющегося от первого со скоростью 0,8с. Какова скорость этого светового импульса относительно второго корабля? (с - скорость света в вакууме) ?) 1,4с ?) c ?) 0,8с ?) 0,6с Вопрос id:361363 Тема/шкала: Механика По какой из приведённых формул определяют кинетическую энергию тела в специальной теории относительности? (с - скорость света в вакууме, υ - скорость движения тела, m0 - масса покоя тела, m - масса тела при движении.) ?) ![]() ?) ![]() ?) ![]() ?) ![]() Вопрос id:361364 Тема/шкала: Механика При какой скорости движения кинетическая энергия частицы равна её энергии покоя? с - скорость света ?) 3c/4 ?) (√2/2)c ?) (√3/2)c ?) c/2 Вопрос id:361365 Тема/шкала: Механика Однородный стержень, собственная длина которого равна 1 м, движется в направлении своей длины со скоростью 0,6с (с - скорость света в вакууме) относительно Земли. Какова длина этого стержня (м) по измерениям земного наблюдателя? ?) 0,6 ?) 0,7 ?) 0,8 ?) 1 Вопрос id:361366 Тема/шкала: Механика При скоростях движения, близких к скорости света, течение времени… ?) ускоряется ?) прекращается ?) замедляется ?) течение времени не зависит от скорости движения тела Вопрос id:361367 Тема/шкала: Механика На сколько миллиграммов увеличится масса тела при сообщении ему энергии 9•1012Дж? ?) 10 ?) 100 ?) масса тела не увеличится ?) 1000 Вопрос id:361368 Тема/шкала: Механика Два протона движутся навстречу друг другу со скоростями по 0,6с каждый (c - скорость света в вакууме) по отношению к неподвижному наблюдателю. С какой скоростью они движутся друг относительно друга? ?) 1,2с ?) 0,88с ?) 0,6с ?) c Вопрос id:361369 Тема/шкала: Механика Масса движущейся частицы в 7 раз больше её массы покоя равной m0. Определите кинетическую энергию этой частицы, с - скорость света в вакууме ?) 2m0c2 ?) m0c2 ?) 6m0c2 ?) 7m0c2 Вопрос id:361370 Тема/шкала: Механика Какую форму будет иметь шар, находящийся в звездолёте, который движется со скоростью, близкой к скорости света, для членов экипажа этого звездолёта, если его радиус в неподвижном состоянии был равен R0? ?) шар радиуса R0 ?) шар радиуса R>R0 ?) эллипсоид вращения, сплюснутый в направлении движения ?) шар радиуса R Вопрос id:361371 Тема/шкала: Механика Какую форму будет иметь шар, движущийся со скоростью, близкой к скорости света, для неподвижного наблюдателя? ?) шара большего радиуса ?) эллипсоида вращения, сплюснутого в направлении движения ?) шара меньшего радиуса ?) шара тех же размеров Вопрос id:361372 Тема/шкала: Механика При скоростях движения, близких к скорости света, плотность тела… ?) не изменяется ?) уменьшается ?) возрастает ?) становится неопределённой Вопрос id:361373 Тема/шкала: Механика Два одинаковых звездолёта движутся навстречу друг другу с одинаковыми скоростями. Длина первого звездолёта, измеренная экипажем второго, равна 50 м. Какова длина второго звездолёта (м), измеренная экипажем первого ?) 30 ?) 100 ?) 40 ?) 50 Вопрос id:361375 Тема/шкала: Механика Электрон (его энергия покоя равна 511 кэВ) движется со скоростью 0,8с (с - скорость света в вакууме). Какова кинетическая энергия электрона (МэВ)? ?) 427 ?) 300 ?) 342 ?) 250 Вопрос id:361376 Тема/шкала: Механика Цилиндр длиной 1 м и диаметром 0,5 м движется со скоростью 0,8с (с - скорость света в вакууме) в направлении своей образующей относительно Земли. Чему равен, по измерениям земного наблюдателя диаметр цилиндра (м)? ?) 0,35 ?) 0,4 ?) 0,3 ?) 0,5 Вопрос id:361377 Тема/шкала: Механика При скоростях движения, близких к скорости света, продольные размеры тела… ?) возрастают ?) сокращаются ?) изменяются случайным образом ?) не изменяются Вопрос id:361378 Тема/шкала: Механика При скоростях движения, близких к скорости света, поперечные размеры тела… ?) не изменяются ?) возрастают ?) сокращаются ?) изменяются случайным образом Вопрос id:361379 Тема/шкала: Механика Тело массой 10т подняли на высоту 10 км. Как при этом изменилась масса данного тела? ?) не изменилась ?) увеличилась на 11 мкг ?) увеличилась на 11 мг ?) уменьшилась на 10-7 кг Вопрос id:361380 Тема/шкала: Механика В ускорителе на встречных пучках электроны летят навстречу друг другу со скоростями 0,5с (с - скорость света в вакууме) по отношению к ускорителю. С какой скоростью они движутся друг относительно друга? ?) 0,7с ?) 0,8c ?) 0,9с ?) с Вопрос id:361381 Тема/шкала: Механика Мощность излучения Солнца равна 3,83•1026 Вт. Какую массу теряет Солнце каждую секунду в результате излучения (т)? ?) 4,5•104 ?) 4,26•106 ?) 3•103 ?) 4,25•109 Вопрос id:361383 Тема/шкала: Механика Чему равна для неподвижного наблюдателя длина метрового стержня (м), движущегося со скоростью 0,75с (с - скорость света в вакууме) в перпендикулярном к стержню направлении? ?) 0,25 ?) 0,5 ?) 0,75 ?) 1 Вопрос id:361384 Тема/шкала: Механика На железнодорожной платформе установлено орудие. Из орудия производится выстрел вдоль железнодорожного полотна, но под углом 60° к горизонту. Масса снаряда 150 кг, масса платформы с орудием, боеприпасами и солдатами равна 35 т. Скорость вылета снаряда из орудия равна 800 м/с. Какова скорость платформы (м/с) сразу после вылета снаряда? ?) 3,33 ?) 1,71 ?) 1,43 ?) 0,64 Вопрос id:361385 Тема/шкала: Механика На железнодорожной платформе установлено орудие. Из орудия производится выстрел вдоль железнодорожного полотна, но под углом 60° к горизонту. Масса снаряда 50 кг, масса платформы с орудием, боеприпасами и солдатами равна 35 т. Скорость вылета снаряда из орудия равна 900 м/с. Какова скорость платформы (м/с) сразу после вылета снаряда? ?) 1,71 ?) 0,64 ?) 1,43 ?) 3,33 Вопрос id:361386 Тема/шкала: Механика В ракете массой 1,2 кг содержится 400 г пороха. После мгновенного взрыва пороха ракета, нацеленная вертикально вверх, поднялась на высоту 180 м. С какой скоростью (м/с) вылетели из сопла ракеты продукты сгорания? ?) 120 ?) 140 ?) 180 ?) 160 Вопрос id:361387 Тема/шкала: Механика На тела массами m1 ?) у всех тел оно одинаково ?) 3 ?) 1 ?) 2 Вопрос id:361388 Тема/шкала: Механика Тело массой 2 кг движется по окружности радиусом 3 м с постоянной скоростью 6 м/с. Оцените модуль изменения его импульса (кг м/с) за время, равное Т/4, где Т - период его обращения по окружности ?) 6 ?) 0 ?) 12 ?) 17 Вопрос id:361389 Тема/шкала: Механика На железнодорожной платформе установлено орудие. Из орудия производится выстрел вдоль железнодорожного полотна, но под углом 60° к горизонту. Масса снаряда 250 кг, масса платформы с орудием, боеприпасами и солдатами равна 15 т. Скорость вылета снаряда из орудия равна 800 м/с. Какова скорость платформы (м/с) сразу после вылета снаряда? ?) 2,5 ?) 1,125 ?) 2,67 ?) 6,67 Вопрос id:361390 Тема/шкала: Механика На железнодорожной платформе установлено орудие. Из орудия производится выстрел вдоль железнодорожного полотна, но под углом 60° к горизонту. Масса снаряда 50 кг, масса платформы с орудием, боеприпасами и солдатами равна 20 т. Скорость вылета снаряда из орудия равна 900 м/с. Какова скорость платформы (м/с) сразу после вылета снаряда? ?) 6,67 ?) 3 ?) 2,5 ?) 1,125 Вопрос id:361391 Тема/шкала: Механика На железнодорожной платформе установлено орудие. Из орудия производится выстрел вдоль железнодорожного полотна, но под углом 60° к горизонту. Масса снаряда 100 кг, масса платформы с орудием, боеприпасами и солдатами равна 20 т. Скорость вылета снаряда из орудия равна 1000 м/с. Какова скорость платформы (м/с) сразу после вылета снаряда? ?) 3 ?) 2,5 ?) 6,67 ?) 1,125 Вопрос id:361392 Тема/шкала: Механика На железнодорожной платформе установлено орудие. Из орудия производится выстрел вдоль железнодорожного полотна, но под углом 60° к горизонту. Масса снаряда 150 кг, масса платформы с орудием, боеприпасами и солдатами равна 20 т. Скорость вылета снаряда из орудия равна 800 м/с. Какова скорость платформы (м/с) сразу после вылета снаряда? ?) 6,25 ?) 0,8 ?) 3 ?) 4,5 Вопрос id:361393 Тема/шкала: Механика На железнодорожной платформе установлено орудие. Из орудия производится выстрел вдоль железнодорожного полотна, но под углом 60° к горизонту. Масса снаряда 200 кг, масса платформы с орудием, боеприпасами и солдатами равна 20 т. Скорость вылета снаряда из орудия равна 900 м/с. Какова скорость платформы (м/с) сразу после вылета снаряда? ?) 3 ?) 4,5 ?) 6,25 ?) 0,8 Вопрос id:361394 Тема/шкала: Механика На тела массами m1>m2>m3, движущиеся со скоростями v1>v2>v3, действуют силы F1 ?) у всех тел одинаково ?) 3 ?) 1 ?) 2 Вопрос id:361395 Тема/шкала: Механика Тело массой 10 кг движется по окружности радиусом 1 м с постоянной скоростью 2 м/с. Чему равен модуль изменения его импульса (кг•м/с) за время, равное Т/2, где Т - период обращения тела по окружности? ?) 0 ?) 20 ?) 40 ?) 28,2 Вопрос id:361396 Тема/шкала: Механика На земле лежит однородный стержень длиной 5 м и массой 100 кг. Определите работу (кДж) по поднятию одного конца стержня так, чтобы угол его наклона стал равным 30°. g=10м/с2 ?) 1,25 ?) 1,75 ?) 1,0 ?) 1,5 Вопрос id:361397 Тема/шкала: Механика На железнодорожной платформе установлено орудие. Из орудия производится выстрел вдоль железнодорожного полотна, но под углом 60° к горизонту. Масса снаряда 250 кг, масса платформы с орудием, боеприпасами и солдатами равна 35 т. Скорость вылета снаряда из орудия равна 1000 м/с. Какова скорость платформы (м/с) сразу после вылета снаряда? ?) 1,43 ?) 3,57 ?) 2,57 ?) 1,71 Вопрос id:361398 Тема/шкала: Механика На земле лежит однородный стержень длиной 2 м и массой 100 кг. Определите работу (кДж) по поднятию одного конца стержня так, чтобы угол его наклона стал равным 30°. g=10м/с2 ?) 0,75 ?) 0,25 ?) 1,0 ?) 0,50 Вопрос id:361399 Тема/шкала: Механика На земле лежит однородный стержень длиной 4 м и массой 100 кг. Определите работу (кДж) по поднятию одного конца стержня так, чтобы угол его наклона стал равным 30°. g=10м/с2 ?) 1,0 ?) 2,0 ?) 1,5 ?) 0,75 Вопрос id:361400 Тема/шкала: Механика На земле лежит однородный стержень длиной 6 м и массой 100 кг. Определите работу (кДж) по поднятию одного конца стержня так, чтобы угол его наклона стал равным 30°. g=10м/с2 ?) 1,25 ?) 1,5 ?) 1,0 ?) 0,75 Вопрос id:361401 Тема/шкала: Механика На земле лежит однородный стержень длиной 3 м и массой 100 кг. Определите работу (кДж) по поднятию одного конца стержня так, чтобы угол его наклона стал равным 30°. g=10м/с2 ?) 0,50 ?) 1,0 ?) 0,75 ?) 0,25 Вопрос id:361402 Тема/шкала: Механика Тело перемещают по трём разным траекториям (см.рис.) на одну и туже высоту: 1) поднимают вертикально вверх; 2) перемещают по наклонной плоскости (трение отсутствует) и 3) поднимают по ступенькам (трение отсутствует). Сравните работы, совершаемые в этих трёх случаях.
?) А1<А2<А3 ?) А1<А2=А3 ?) А1>А2>А3 ?) А1=А2=А3 Вопрос id:361403 Тема/шкала: Механика Три тела массами m1>m2>m3 соскальзывают без трения с трёх горок одинаковой высоты, но разного профиля: 1) выпуклой, 2) плоской и 3) вогнутой (см.рис). Сравните скорости этих тел ν1, ν2, ν3 и из сразу после соскальзывания.
?) ν1>ν2>ν3 ?) ν1 < ν2 <ν3 ?) ν1= ν2 <ν3 ?) ν1=ν2=ν3 Вопрос id:361404 Тема/шкала: Механика Камень брошен вертикально вверх со скоростью 25 м/с. Пренебрегая сопротивлением воздуха, определите время полета камня (с) (т.е. время от момента бросания до падения на землю). g=10 м/с2 ?) 4 ?) 6 ?) 5 ?) 7 Вопрос id:361405 Тема/шкала: Механика Два тела массами 6 и 4 кг, связанные нерастяжимой невесомой нитью, перекинутой через блок, движутся с ускорением. Определите силу натяжения нити (Н) ?) 40 ?) 48 ?) 98 ?) 60 Вопрос id:361406 Тема/шкала: Механика Два посёлка Р и Q расположены вдоль прямой дороги на расстоянии s=5000 м друг от друга. Из посёлка Р по направлению к Q выезжает автомобиль, который движется с постоянной скоростью v1=10 м/с. С задержкой t=40 с из Q по направлению к Р начинает движение с постоянной скоростью v2=15 м/с второй автомобиль. На каком расстоянии (м) от пункта Р они встретятся? ?) 1960 ?) 2760 ?) 2240 ?) 1740 Вопрос id:361407 Тема/шкала: Механика Два бруска массой m1=7 кг и m2=3 кг движутся без трения равноускоренно под действием силы F=7 Н (см. рис.). Какова сила F2 (Н), действующая на брусок m2?
?) 1,4 ?) 7 ?) 4,9 ?) 2,1 Вопрос id:361408 Тема/шкала: Электричество и магнетизм Заряд 500 нКл в некоторой точке электрического поля имеет потенциальную энергию W=5•104Дж. Определите потенциал поля (В) в этой точке ?) 1000 ?) 100 ?) 1 ?) 10 Вопрос id:361409 Тема/шкала: Электричество и магнетизм Чему равно отношение зарядов q1/q2 на обкладках конденсаторов в приведенной схеме?
?) 1 ?) 0,5 ?) 2 ?) 4 Вопрос id:361410 Тема/шкала: Электричество и магнетизм Как изменится емкость конденсатора при уменьшении его заряда в 2 раза? ?) не изменится ?) уменьшится в 2 раза ?) увеличится в 4 раза ?) увеличится в 2 раза Вопрос id:361411 Тема/шкала: Электричество и магнетизм Напряжение между двумя точками, лежащими на одной силовой линии однородного электрического поля равно 2 кВ, а расстояние 10 см. Какова напряженность этого поля (кВ/м)? ?) 20 ?) 30 ?) 40 ?) 10 Вопрос id:361412 Тема/шкала: Электричество и магнетизм Как изменятся кинетическая и потенциальная энергии положительно заряженной частицы, если она под действием сил поля переходит из точки с большим потенциалом в точку с меньшим потенциалом? ?) уменьшатся ?) увеличатся ?) кинетическая - уменьшится, потенциальная - увеличится ?) кинетическая - увеличится, потенциальная - уменьшится Вопрос id:361413 Тема/шкала: Электричество и магнетизм Из нейтрального проводника изъято 5•1013 электронов. Каким стал заряд этого проводника (Кл)? ?) 8•10-9 ?) 5•10-6 ?) 1,6•10-6 ?) 8•10-6 |
Copyright tests.ithead.ru 2013-2026







