Тесты онлайн, бесплатный конструктор тестов. Психологические тестирования, тесты на проверку знаний.
Список вопросов базы знанийФизика
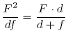
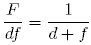
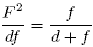
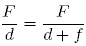
Вопрос id:362230 Тема/шкала: Оптика Угол падения равен 60°, а угол преломления - 30°. Определите показатель преломления второй среды относительно первой ?) √2 ?) 1,5 ?) 1,2 ?) √3 Вопрос id:362231 Тема/шкала: Оптика Каково расстояние от линзы до действительного изображения, если расстояние от предмета до изображения равно l, а увеличение равно k? ?) ![]() ?) k(k+1)l ?) ![]() ?) ![]() Вопрос id:362232 Тема/шкала: Оптика В прозрачной среде с показателем преломления 1,4 имеется сферическая воздушная полость диаметром d=5 см. В среде распространяется параллельный пучок света, диаметр которого больше d. Каков радиус светового пучка (см), проникшего в воздушную полость? ?) 1,56 ?) 1,92 ?) 1,67 ?) 1,79 Вопрос id:362233 Тема/шкала: Оптика В прозрачной среде с показателем преломления 1,6 имеется сферическая воздушная полость диаметром d=3 см. В среде распространяется параллельный пучок света, диаметр которого больше d. Каков радиус светового пучка (см), проникшего в воздушную полость? ?) 1 ?) 1,67 ?) 1,54 ?) 0,94 Вопрос id:362234 Тема/шкала: Оптика В прозрачной среде с показателем преломления 1,3 имеется сферическая воздушная полость диаметром d=5 см. В среде распространяется параллельный пучок света, диаметр которого больше d. Каков радиус светового пучка (см), проникшего в воздушную полость? ?) 1,92 ?) 1,79 ?) 1,67 ?) 1,56 Вопрос id:362235 Тема/шкала: Оптика В прозрачной среде с показателем преломления 1,6 имеется сферическая воздушная полость диаметром d=4 см. В среде распространяется параллельный пучок света, диаметр которого больше d. Каков радиус светового пучка (см), проникшего в воздушную полость? ?) 2,08 ?) 1,43 ?) 1,25 ?) 1,33 Вопрос id:362236 Тема/шкала: Оптика В прозрачной среде с показателем преломления 1,5 имеется сферическая воздушная полость диаметром d=4 см. В среде распространяется параллельный пучок света, диаметр которого больше d. Каков радиус светового пучка (см), проникшего в воздушную полость? ?) 2,08 ?) 1,25 ?) 1,33 ?) 1,43 Вопрос id:362237 Тема/шкала: Оптика В прозрачной среде с показателем преломления 1,2 имеется сферическая воздушная полость диаметром d=4 см. В среде распространяется параллельный пучок света, диаметр которого больше d. Каков радиус светового пучка (см), проникшего в воздушную полость? ?) 1 ?) 1,54 ?) 1,67 ?) 0,94 Вопрос id:362238 Тема/шкала: Оптика В прозрачной среде с показателем преломления 1,3 имеется сферическая воздушная полость диаметром d=4 см. В среде распространяется параллельный пучок света, диаметр которого больше d. Каков радиус светового пучка (см), проникшего в воздушную полость? ?) 1,54 ?) 1 ?) 0,94 ?) 1,67 Вопрос id:362239 Тема/шкала: Оптика В прозрачной среде с показателем преломления 1,4 имеется сферическая воздушная полость диаметром d=4 см. В среде распространяется параллельный пучок света, диаметр которого больше d. Каков радиус светового пучка (см), проникшего в воздушную полость? ?) 1,43 ?) 1,25 ?) 2,08 ?) 1,33 Вопрос id:362240 Тема/шкала: Оптика В прозрачной среде с показателем преломления 1,2 имеется сферическая воздушная полость диаметром d=5 см. В среде распространяется параллельный пучок света, диаметр которого больше d. Каков радиус светового пучка (см), проникшего в воздушную полость? ?) 2,08 ?) 1,43 ?) 1,25 ?) 1,33 Вопрос id:362241 Тема/шкала: Оптика В прозрачной среде с показателем преломления 1,6 имеется сферическая воздушная полость диаметром d=2 см. В среде распространяется параллельный пучок света, диаметр которого больше d. Каков радиус светового пучка (см), проникшего в воздушную полость? ?) 0,625 ?) 1,07 ?) 1,25 ?) 1,15 Вопрос id:362242 Тема/шкала: Оптика Мнимое изображение светящейся точки находится на расстоянии 60 см от линзы. Чему равно фокусное расстояние линзы (см), если расстояние от светящейся точки до линзы равно 30 см? ?) 40 ?) 60 ?) -50 ?) 35 Вопрос id:362243 Тема/шкала: Оптика Какое наибольшее увеличение можно получить, пользуясь лупой с фокусным расстоянием 5 см? Расстояние наилучшего зрения принять равным 25см ?) 10 ?) 2,5 ?) 7,5 ?) 5 Вопрос id:362244 Тема/шкала: Оптика Собирающую линзу из стекла с показателем преломления n=1,7 с фокусным расстоянием F1, опустили в воду (n = 1,3), а затем в анилин (n=1,59) и измерили фокусные расстояния F2 и F3, соответственно. Укажите правильное соотношение между ними ?) F1>F2>F3 ?) F1<F2<F3 ?) F1=F2=F3 ?) F2<F1<F3 Вопрос id:362245 Тема/шкала: Оптика В прозрачной среде с показателем преломления 1,6 имеется сферическая воздушная полость диаметром d=8 см. В среде распространяется параллельный пучок света, диаметр которого больше d. Каков радиус светового пучка (см), проникшего в воздушную полость? ?) 2,67 ?) 3,08 ?) 3,33 ?) 2,5 Вопрос id:362246 Тема/шкала: Оптика В прозрачной среде с показателем преломления 1,5 имеется сферическая воздушная полость диаметром d=8 см. В среде распространяется параллельный пучок света, диаметр которого больше d. Каков радиус светового пучка (см), проникшего в воздушную полость? ?) 2,5 ?) 3,33 ?) 3,08 ?) 2,67 Вопрос id:362247 Тема/шкала: Оптика В прозрачной среде с показателем преломления 1,4 имеется сферическая воздушная полость диаметром d=8 см. В среде распространяется параллельный пучок света, диаметр которого больше d. Каков радиус светового пучка (см), проникшего в воздушную полость? ?) 3,33 ?) 2,86 ?) 3,08 ?) 1,875 Вопрос id:362248 Тема/шкала: Оптика В прозрачной среде с показателем преломления 1,3 имеется сферическая воздушная полость диаметром d=8 см. В среде распространяется параллельный пучок света, диаметр которого больше d. Каков радиус светового пучка (см), проникшего в воздушную полость? ?) 3,33 ?) 3,08 ?) 2,86 ?) 1,875 Вопрос id:362249 Тема/шкала: Оптика В прозрачной среде с показателем преломления 1,4 имеется сферическая воздушная полость диаметром d=6 см. В среде распространяется параллельный пучок света, диаметр которого больше d. Каков радиус светового пучка (см), проникшего в воздушную полость? ?) 2,14 ?) 2,5 ?) 2,3 ?) 2 Вопрос id:362250 Тема/шкала: Оптика В прозрачной среде с показателем преломления 1,6 имеется сферическая воздушная полость диаметром d=6 см. В среде распространяется параллельный пучок света, диаметр которого больше d. Каков радиус светового пучка (см), проникшего в воздушную полость? ?) 1,875 ?) 2,86 ?) 3,08 ?) 3,33 Вопрос id:362251 Тема/шкала: Оптика В прозрачной среде с показателем преломления 1,5 имеется сферическая воздушная полость диаметром d=5 см. В среде распространяется параллельный пучок света, диаметр которого больше d. Каков радиус светового пучка (см), проникшего в воздушную полость? ?) 1,67 ?) 1,92 ?) 1,56 ?) 1,79 Вопрос id:362252 Тема/шкала: Оптика Человек, сфотографированный с расстояния 5 м, получился на пленке ростом 19 мм. Оцените рост (м) человека, если фокусное расстояние объектива равно 50 мм? ?) 1,8 ?) 1,9 ?) 1,6 ?) 1,7 Вопрос id:362253 Тема/шкала: Оптика В прозрачной среде с показателем преломления 1,5 имеется сферическая воздушная полость диаметром d=3 см. В среде распространяется параллельный пучок света, диаметр которого больше d. Каков радиус светового пучка (см), проникшего в воздушную полость? ?) 0,94 ?) 1,67 ?) 1 ?) 1,54 Вопрос id:362254 Тема/шкала: Оптика Под каким углом должен падать луч на плоское стекло, чтобы преломленный луч оказался перпендикулярным к отраженному? Показатель преломления стекла n ?) arccos п ?) arctg п ?) arcctg п ?) arcsin п Вопрос id:362255 Тема/шкала: Оптика В прозрачной среде с показателем преломления 1,5 имеется сферическая воздушная полость диаметром d=6 см. В среде распространяется параллельный пучок света, диаметр которого больше d. Каков радиус светового пучка (см), проникшего в воздушную полость? ?) 2,3 ?) 2,5 ?) 2 ?) 2,14 Вопрос id:362256 Тема/шкала: Оптика В прозрачной среде с показателем преломления 1,3 имеется сферическая воздушная полость диаметром d=6 см. В среде распространяется параллельный пучок света, диаметр которого больше d. Каков радиус светового пучка (см), проникшего в воздушную полость? ?) 2,3 ?) 2,5 ?) 2 ?) 2,14 Вопрос id:362257 Тема/шкала: Оптика В прозрачной среде с показателем преломления 1,2 имеется сферическая воздушная полость диаметром d=6 см. В среде распространяется параллельный пучок света, диаметр которого больше d. Каков радиус светового пучка (см), проникшего в воздушную полость? ?) 2,5 ?) 2 ?) 2,3 ?) 2,14 Вопрос id:362258 Тема/шкала: Оптика В прозрачной среде с показателем преломления 1,6 имеется сферическая воздушная полость диаметром d=5 см. В среде распространяется параллельный пучок света, диаметр которого больше d. Каков радиус светового пучка (см), проникшего в воздушную полость? ?) 1,92 ?) 1,67 ?) 1,56 ?) 1,79 Вопрос id:362259 Тема/шкала: Оптика В прозрачной среде с показателем преломления 1,2 имеется сферическая воздушная полость диаметром d=8 см. В среде распространяется параллельный пучок света, диаметр которого больше d. Каков радиус светового пучка (см), проникшего в воздушную полость? ?) 3,08 ?) 3,33 ?) 2,86 ?) 1,875 Вопрос id:362260 Тема/шкала: Оптика Уменьшенное мнимое изображение предмета образовалась на расстоянии 10 см от линзы с оптической силой -4 дптр. На каком расстоянии от линзы расположен предмет (см)? ?) 16,7 ?) 30 ?) 60 ?) 8,6 Вопрос id:362261 Тема/шкала: Оптика Точечный источник света находится в фокусе рассеивающей линзы с оптической силой -2 дптр. На каком расстоянии от линзы (см) получается изображение источника? ?) 50 ?) 25 ?) 12,5 ?) 100 Вопрос id:362262 Тема/шкала: Оптика За какое время (с) свет пройдет расстояние, равное длине конуса тени, отбрасываемой Землей в солнечных лучах? Влиянием атмосферы пренебречь. Rc= 7•108 м - радиус Солнца R = 6,4•106 м - радиус Земли R0= 1,5•1011м - радиус земной орбиты с = 3•108м/с - скорость света.
?) ≈480 ?) ≈4,6 ?) ≈10 ?) ≈46 Вопрос id:362263 Тема/шкала: Оптика Можно ли с помощью плосковогнутой стеклянной линзы получить действительное изображение? ?) можно, поместив ее в среду с показателем преломления п < пстекла ?) нельзя ?) можно, поместив предмет в 2F (F - фокусное расстояние) ?) можно, поместив ее в среду с показателем преломления п > пстекла Вопрос id:362264 Тема/шкала: Оптика Расстояние от предмета до рассеивающей линзы в n раз больше фокусного расстояния линзы. Во сколько раз изображение меньше предмета? ?) n ?) п-1 ?) 1/(п+1) ?) n+1 Вопрос id:362265 Тема/шкала: Оптика С помощью собирающей линзы с фокусным расстоянием F получено действительное изображение предмета высотой ?) ![]() ?) Какова высота изображения, если расстояние от него до линзы равно f?
а) ![]() ?) ![]() ?) ![]() Вопрос id:362266 Тема/шкала: Оптика Формула рассеивающей линзы правильно записана в ответе: ?) 1/F=1/d-1/f ?) -1/F=1/f-1/d ?) 1/F=1/d+1/f ?) -1/F=1/d-1/f Вопрос id:362267 Тема/шкала: Оптика На каком расстоянии от собирающей линзы с фокусным расстоянием 1 м надо расположить предмет, чтобы его мнимое изображение получилось на расстоянии 3 м от линзы? ?) 1,5 ?) 1,25 ?) 1 ?) 0,75 Вопрос id:362268 Тема/шкала: Оптика В прозрачной среде с показателем преломления 1,4 имеется сферическая воздушная полость диаметром d=3 см. В среде распространяется параллельный пучок света, диаметр которого больше d. Каков радиус светового пучка (см), проникшего в воздушную полость? ?) 1,25 ?) 1,15 ?) 0,625 ?) 1,07 Вопрос id:362269 Тема/шкала: Оптика На рисунке показано положение рассеивающей линзы, ее главной оптической оси, фокусов и предмета АВ. Каким будет изображение предмета? 2F > d > F
?) мнимое, увеличенное ?) действительное, увеличенное ?) мнимое, уменьшенное ?) действительное, уменьшенное Вопрос id:362270 Тема/шкала: Оптика Пусть d- расстояние от собирающей линзы до предмета, f-от линзы до изображения, F- фокусное расстояние. Какое из приведенных соотношений между этими величинами верно? ?) ![]() ?) ![]() ?) ![]() ?) ![]() Вопрос id:362271 Тема/шкала: Оптика В прозрачной среде с показателем преломления 1,2 имеется сферическая воздушная полость диаметром d=3 см. В среде распространяется параллельный пучок света, диаметр которого больше d. Каков радиус светового пучка (см), проникшего в воздушную полость? ?) 0,625 ?) 1,15 ?) 1,07 ?) 1,25 Вопрос id:362272 Тема/шкала: Оптика Изображение предмета, расположенного на расстоянии 1 м от рассеивающей линзы, находится на расстоянии 20 см от линзы. Определите оптическую силу линзы в диоптриях ?) -4 ?) -2 ?) +4 ?) -3 Вопрос id:362273 Тема/шкала: Оптика В прозрачной среде с показателен преломления 1,3 имеется сферическая воздушная полость диаметром d=3 см. В среде распространяется параллельный пучок света, диаметр которого больше d. Каков радиус светового пучка (см), проникшего в воздушную полость? ?) 1,07 ?) 1,25 ?) 0,625 ?) 1,15 Вопрос id:362274 Тема/шкала: Оптика Светящаяся точка находится на расстоянии 2 м от рассеивающей линзы с оптической силой -2 дптр. На каком расстоянии от линзы получится ее изображение (м)? ?) 0,8 ?) 0,4 ?) 1,25 ?) 1 Вопрос id:362275 Тема/шкала: Оптика Определите постоянную дифракционной решетки (мкм) с 400 штрихами на каждом мм ?) 10 ?) 2,5 ?) 2 ?) 1 Вопрос id:362276 Тема/шкала: Оптика Определите скорость света (м/с) в алмазе (n=2,4)? ?) 2,40•108 ?) 1,35•108 ?) 1,5•108 ?) 1,25•108 Вопрос id:362277 Тема/шкала: Оптика Дифракционная решетка с периодом d освещается монохроматическим светом с длиной волны л, падающим перпендикулярно ее поверхности. Укажите условие дифракционных максимумов ?) dsinφ=(2k+1)λ/2 ?) dsinφ=kλ ?) dcosφ=(2k+1)λ/2 ?) dcosφ=kλ Вопрос id:362278 Тема/шкала: Оптика С какой скоростью (м/с) распространяется свет в среде с показателем преломления 1,3? ?) 3•108 ?) 2,3•108 ?) 0,5•108 ?) 2,5•108 Вопрос id:362279 Тема/шкала: Оптика Расстояние от центрального дифракционного максимума до первого, полученных с помощью дифракционной решетки с периодом 0,02 мм, составляет 3 см. Чему равна длина световой волны (нм), если расстояние от решетки до экрана -1 м? ?) 400 ?) 800 ?) 600 ?) 200 |
Copyright tests.ithead.ru 2013-2026












