Тесты онлайн, бесплатный конструктор тестов. Психологические тестирования, тесты на проверку знаний.
Список вопросов базы знанийФизика
Вопрос id:361465 Тема/шкала: Электричество и магнетизм Резистор какого сопротивления (Ом) надо подсоединить параллельно резистору сопротивлением 20 Ом, чтобы их общее сопротивление стало равным 35 Ом? ?) это невозможно ?) 150 ?) 50 ?) 100 Вопрос id:361466 Тема/шкала: Электричество и магнетизм Три проводника R1>R2>R3 включены в цепь параллельно друг другу. В каком из них выделится наибольшее количество теплоты? ?) во всех выделится одинаковое количество теплоты ?) 1 ?) 2 ?) 3 Вопрос id:361467 Тема/шкала: Электричество и магнетизм Из приведенных соотношений выберите все выражения для работы электрического тока. 1)А = q(φ2 - φ1) 2)А = FScos?;
4) А = IUt; 5) А = I2Rt ?) 1, 4 ?) 1, 2 ?) 1, 4, 5 ?) 3, 4 Вопрос id:361468 Тема/шкала: Электричество и магнетизм На сколько равных частей надо разделить проводник сопротивлением 200 Ом, чтобы, соединив их затем параллельно, получить сопротивление 2 Ом? ?) 5 ?) 20 ?) 2 ?) 10 Вопрос id:361469 Тема/шкала: Электричество и магнетизм С повышением температуры сопротивление металлических проводников… ?) уменьшается ?) не изменяется ?) сначала увеличивается, а начиная с температуры Кюри остается постоянным ?) возрастает Вопрос id:361470 Тема/шкала: Электричество и магнетизм Проводники сопротивлениями 8 и 12 Ом соединены параллельно и подключены к источнику напряжения 12 В. Определите силу тока (А) в неразветвленной части цепи ?) 2,5 ?) 5 ?) 6 ?) 8 Вопрос id:361471 Тема/шкала: Электричество и магнетизм Электрическая цепь состоит из резистора сопротивлением 10 Ом и источника питания с Э.Д.С. 12 В и внутренним сопротивлением 2 Ом. Каково падение напряжения на резисторе (В)? ?) 8 ?) 10 ?) 2 ?) 4 Вопрос id:361472 Тема/шкала: Электричество и магнетизм При включении электрического прибора в сеть, диск электросчетчика вращается 30 раз в минуту. Какую мощность (кВт) потребляет прибор, если на счетчике указано, что 1 кВтч равносилен 1200 оборотам диска ?) 0,5 ?) 2 ?) 1,5 ?) 1,2 Вопрос id:361473 Тема/шкала: Электричество и магнетизм Какое количество теплоты (Дж) выделилось в проводнике, если напряжение на его концах 9В и по нему протек заряд 4Кл? ?) 2 ?) 4 ?) 36 ?) 0,25 Вопрос id:361474 Тема/шкала: Электричество и магнетизм Как изменится напряжение на зажимах лампы накаливания в приведенной схеме при перемещении ползунка реостата влево?
?) ответ зависит от мощности лампы ?) увеличится ?) уменьшится ?) станет равным нулю Вопрос id:361475 Тема/шкала: Электричество и магнетизм Каково внутреннее сопротивление (Ом) источника тока с ЭДС 9 В, если падение напряжения на внешней цепи с сопротивлением 8 Ом равно 8 В? ?) 1,5 ?) 2 ?) 0,5 ?) 1 Вопрос id:361476 Тема/шкала: Электричество и магнетизм В электрической цепи, изображенной на рисунке, все сопротивления одинаковы. Как изменятся показания амперметра при замыкании ключа К?
?) увеличатся в 4 раза ?) уменьшатся в 2 раза ?) увеличатся в 2 раза ?) не изменятся Вопрос id:361477 Тема/шкала: Электричество и магнетизм Два проводника сопротивлениями 150 и 90 Ом соединены последовательно и подключены к источнику тока. Какое количество теплоты (кДж) выделится на первом сопротивлении, когда на втором выделится 27 кДж теплоты? ?) 45 ?) 90 ?) 20 ?) 30 Вопрос id:361478 Тема/шкала: Электричество и магнетизм Два проводника сопротивлениями 2 и 6 Ом соединены параллельно Сила тока в неразветвленной цепи 8 А. Чему равно напряжение (В) на концах проводников? ?) 6 ?) 18 ?) 12 ?) 10 Вопрос id:361479 Тема/шкала: Электричество и магнетизм Один кипятильник сопротивлением R1, включенный в сеть с напряжением U , нагревает некоторое количество воды до кипения за время t1. Второй кипятильник сопротивлением R2, нагревает туже воду при тех же условиях за время t2. Тогда два этих кипятильника, соединенных последовательно, нагреют воду за время t, равное: ?) ![]() ?) t = t1 +t2 ?) ![]() ?) ![]() Вопрос id:361480 Тема/шкала: Электричество и магнетизм Источники с ЭДС ε1 и ε2 соединены последовательно в замкнутую цепь. Какова разность потенциалов между полюсами источников, если их внутренние сопротивления одинаковы? ?) ε1 + ε2 ?) ε1 - ε2 ?) (ε1 - ε2)/2 ?) (ε1 + ε2)/2 Вопрос id:361481 Тема/шкала: Электричество и магнетизм Определите общее сопротивление следующей электрической цепи (между точками А и B) ![]() ?) 18/5 R ?) 3/5 R ?) 8R ?) 3R Вопрос id:361482 Тема/шкала: Электричество и магнетизм Определите, чему равен заряд на конденсаторе в цепи, приведенной на рисунке.
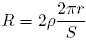
?) CεR / r ?) CεR / (R-r) ?) CεR / (R+r) ?) Cε(1-r/R) Вопрос id:361483 Тема/шкала: Электричество и магнетизм На сколько частей равной длины надо разрезать провод, чтобы после параллельного их соединения сопротивление проводника уменьшилось в 36 раз? ?) 4 ?) 16 ?) 6 ?) 8 Вопрос id:361484 Тема/шкала: Электричество и магнетизм Кольцо радиусом r, изготовленное из однородного провода с удельным сопротивлением и поперечным сечением S, соединено в диаметрально противоположных точках в электрическую цепь. Определите сопротивление такого участка цепи.
?) ![]() ?) ![]() ?) ![]() ?) ![]() Вопрос id:361485 Тема/шкала: Электричество и магнетизм Найдите ЭДС источника тока (В), если при силе тока 5 А во внешней цепи выделяется мощность 200 Вт, а при силе тока 3 А выделяется мощность 126 Вт ?) 45 ?) 58 ?) 32 ?) 39 Вопрос id:361486 Тема/шкала: Электричество и магнетизм Вольтметр, подключенный к клеммам источника тока с ЭДС Е=51 В и внутренним сопротивлением r= 10 Ом, показывает U=50 В Внутреннее сопротивление вольтметра составляет (Ом): ?) 50 ?) 500 ?) 1000 ?) 20 Вопрос id:361487 Тема/шкала: Электричество и магнетизм Найдите ЭДС источника тока (В), если при силе тока 4 А во внешней цепи выделяется мощность 104 Вт, а при силе тока 2 А выделяется мощность 56 Вт ?) 39 ?) 43 ?) 36 ?) 30 Вопрос id:361488 Тема/шкала: Электричество и магнетизм Найдите ЭДС источника тока (В), если при силе тока 4 А во внешней цепи выделяется мощность 92 Вт, а при силе тока 2 А выделяется мощность 50 Вт ?) 18 ?) 27 ?) 34 ?) 21 Вопрос id:361489 Тема/шкала: Электричество и магнетизм Найдите ЭДС источника тока (В), если при силе тока 4 А во внешней цепи выделяется мощность 80 Вт, а при силе тока 2 А выделяется мощность 44 Вт ?) 18 ?) 31 ?) 37 ?) 24 Вопрос id:361490 Тема/шкала: Электричество и магнетизм Найдите ЭДС источника тока (В), если при силе тока 4 А во внешней цепи выделяется мощность 68 Вт, а при силе тока 2 А выделяется мощность 38 Вт ?) 16 ?) 21 ?) 34 ?) 27 Вопрос id:361491 Тема/шкала: Электричество и магнетизм Найдите ЭДС источника тока (В), если при силе тока 5 А во внешней цепи выделяется мощность 65 Вт, а при силе тока 3 А выделяется мощность 45 Вт ?) 11 ?) 27 ?) 34 ?) 18 Вопрос id:361492 Тема/шкала: Электричество и магнетизм Найдите ЭДС источника тока (В), если при силе тока 5 А во внешней цепи выделяется мощность 50 Вт, а при силе тока 3 А выделяется мощность 36 Вт ?) 6 ?) 15 ?) 9 ?) 22 Вопрос id:361493 Тема/шкала: Электричество и магнетизм Найдите ЭДС источника тока (В), если при силе тока 5 А во внешней цепи выделяется мощность 35 Вт, а при силе тока 3 А выделяется мощность 27 Вт ?) 12 ?) 25 ?) 3 ?) 6 Вопрос id:361494 Тема/шкала: Электричество и магнетизм Найдите ЭДС источника тока (В), если при силе тока 5А во внешней цепи выделяется мощность 20 Вт, а при силе тока 3А выделяется мощность 18 Вт ?) 22 ?) 16 ?) 15 ?) 9 Вопрос id:361495 Тема/шкала: Электричество и магнетизм Найдите ЭДС источника тока (В), если при силе тока 4А во внешней цепи выделяется мощность 116 Вт, а при силе тока 2А выделяется мощность 62 Вт ?) 56 ?) 30 ?) 49 ?) 33 Вопрос id:361496 Тема/шкала: Электричество и магнетизм Найдите ЭДС источника тока (В), если при силе тока 5 А во внешней цепи выделяется мощность 215 Вт, а при силе тока 3 А выделяется мощность 135 Вт ?) 55 ?) 39 ?) 48 ?) 32 Вопрос id:361497 Тема/шкала: Электричество и магнетизм Чему равна сила тока в цепи (А), показанной на рисунке, если ε1=ε2=ε3=12В; r1=r2 =r3=1 Ом и R=1 Ом?
?) 2 ?) 3 ?) 1,5 ?) 12 Вопрос id:361498 Тема/шкала: Электричество и магнетизм Найдите ЭДС источника тока (В), если при силе тока 5 А во внешней цепи выделяется мощность 185 Вт, а при силе тока 3 А выделяется мощность 117 Вт ?) 55 ?) 29 ?) 42 ?) 48 Вопрос id:361499 Тема/шкала: Электричество и магнетизм Найдите ЭДС источника тока (В), если при силе тока 5 А во внешней цепи выделяется мощность 170 Вт, а при силе тока 3 А выделяется мощность 108 Вт ?) 39 ?) 46 ?) 33 ?) 30 Вопрос id:361500 Тема/шкала: Электричество и магнетизм Найдите ЭДС источника тока (В), если при силе тока 5 А во внешней цепи выделяется мощность 155 Вт, а при силе тока 3 А выделяется мощность 99 Вт ?) 36 ?) 30 ?) 49 ?) 23 Вопрос id:361501 Тема/шкала: Электричество и магнетизм Найдите ЭДС источника тока (В), если при силе тока 2 А во внешней цепи выделяется мощность 32 Вт, а при силе тока 1 А выделяется мощность 17 Вт ?) 27 ?) 18 ?) 24 ?) 31 Вопрос id:361502 Тема/шкала: Электричество и магнетизм Найдите ЭДС источника тока (В), если при силе тока 2 А во внешней цепи выделяется мощность 26 Вт, а при силе тока 1 А выделяется мощность 14 Вт ?) 9 ?) 22 ?) 15 ?) 6 Вопрос id:361503 Тема/шкала: Электричество и магнетизм Найдите ЭДС источника тока (В), если при силе тока 2 А во внешней цепи выделяется мощность 20 Вт, а при силе тока 1 А выделяется мощность 11 Вт ?) 9 ?) 25 ?) 6 ?) 12 Вопрос id:361504 Тема/шкала: Электричество и магнетизм Найдите ЭДС источника тока (В), если при силе тока 2 А во внешней цепи выделяется мощность 14 Вт, а при силе тока 1 А выделяется мощность 8 Вт ?) 22 ?) 26 ?) 15 ?) 9 Вопрос id:361505 Тема/шкала: Электричество и магнетизм Внутреннее сопротивление источника тока равно 5 Ом, внешнее сопротивление электрической цепи - 95 Ом. Каков КПД источника? ?) 0,8 ?) 0,95 ?) 0,97 ?) 0,9 Вопрос id:361506 Тема/шкала: Электричество и магнетизм ЭДС источника тока равна 8 В, внутреннее сопротивление 1 Ом, сопротивление внешней цепи - 63 Ом. Какое количество теплоты (Дж) выделится в замкнутой цепи за 10 минут? ?) 800 ?) 63 ?) 64 ?) 600 Вопрос id:361507 Тема/шкала: Электричество и магнетизм Единицей измерения величины, определяемой выражением j2clS, где j - плотность тока, с - удельное сопротивление проводника, l и S - длина и поперечное сечение проводника, в системе СИ является: ?) B ?) Дж ?) Вт ?) Ом Вопрос id:361508 Тема/шкала: Электричество и магнетизм Найдите ЭДС источника тока (В), если при силе тока 5 А во внешней цепи выделяется мощность 5 Вт, а при силе тока 3 А выделяется мощность 9 Вт ?) 6 ?) 19 ?) 12 ?) 15 Вопрос id:361509 Тема/шкала: Электричество и магнетизм Как изменятся показания вольтметров V1 и V2, включенных в цепь, показанную на рисунке, если отсоединить сопротивление R3 от цепи? R1≠R2≠R3≠0
?) V1 увеличится, V2 не изменится ?) V1 и V2 уменьшатся ?) V1 уменьшится, V2 увеличится ?) V1 увеличится, V2 уменьшится Вопрос id:361510 Тема/шкала: Электричество и магнетизм Найдите ЭДС источника тока (В), если при силе тока 4 А во внешней цепи выделяется мощность 140 Вт, а при силе тока 2 А выделяется мощность 74 Вт ?) 53 ?) 39 ?) 30 ?) 26 Вопрос id:361511 Тема/шкала: Электричество и магнетизм Цепь состоит из источника тока с ЭДС 18 В, внутренним сопротивлением r=1Ом и проводников сопротивлением R1= 3 Ом R2= 5 Ом (рис.). Чему равно напряжение (В) на проводнике R2?
?) 3 ?) 15 ?) 10 ?) 6 Вопрос id:361512 Тема/шкала: Электричество и магнетизм Найдите ЭДС источника тока (В), если при силе тока 4 А во внешней цепи выделяется мощность 152 Вт, а при силе тока 2 А выделяется мощность 80 Вт ?) 39 ?) 55 ?) 42 ?) 48 Вопрос id:361513 Тема/шкала: Электричество и магнетизм Пять одинаковых ламп накаливания включены в цепь постоянного напряжения по схеме, показанной на рисунке. Какая из лампочек светит ярче остальных?
?) 1, 2, 3 ?) все светят одинаково ?) 5 ?) 4, 5 Вопрос id:361514 Тема/шкала: Электричество и магнетизм Где выше температура нити электрической лампочки накаливания: у поверхности или внутри нити? ?) внутри нити ?) температура везде одинакова ?) у поверхности нити ?) при горизонтальном расположении нити лампы внутри |
Copyright tests.ithead.ru 2013-2026
















