Тесты онлайн, бесплатный конструктор тестов. Психологические тестирования, тесты на проверку знаний.
Список вопросов базы знанийФизика
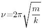
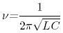
Вопрос id:361617 Тема/шкала: Электричество и магнетизм Магнитный поток через катушку, содержащую 200 витков и имеющую сопротивление 0,5 Ом, изменяется от 30 мВб до 55 мВб за 0,1 с. Определите силу тока короткого замыкания через катушку (А) ?) 80 ?) 60 ?) 100 ?) 40 Вопрос id:361618 Тема/шкала: Электричество и магнетизм Магнитный поток через катушку, содержащую 200 витков и имеющую сопротивление 0,5 Ом, изменяется от 30 мВб до 60 мВб за 0,1 с. Определите силу тока короткого замыкания через катушку (А) ?) 120 ?) 100 ?) 80 ?) 60 Вопрос id:361619 Тема/шкала: Электричество и магнетизм Магнитный поток через катушку, содержащую 200 витков и имеющую сопротивление 0,5 Ом, изменяется от 10 мВб до 35 мВб за 0,1 с. Определите силу тока короткого замыкания через катушку (А) ?) 60 ?) 80 ?) 100 ?) 40 Вопрос id:361620 Тема/шкала: Электричество и магнетизм Магнитный поток через катушку, содержащую 200 витков и имеющую сопротивление 0,5 Ом, изменяется от 20 мВб до 45 мВб за 0,1 с. Определите силу тока короткого замыкания через катушку (А) ?) 40 ?) 100 ?) 80 ?) 60 Вопрос id:361621 Тема/шкала: Электричество и магнетизм Магнитный поток через катушку, содержащую 200 витков и имеющую сопротивление 0,5 Ом, изменяется от 10 мВб до 25 мВб за 0,1 с. Определите силу тока короткого замыкания через катушку (А) ?) 80 ?) 100 ?) 60 ?) 40 Вопрос id:361622 Тема/шкала: Электричество и магнетизм Магнитный поток через катушку, содержащую 200 витков и имеющую сопротивление 0,5 Ом, изменяется от 20 мВб до 35 мВб за 0,1 с. Определите силу тока короткого замыкания через катушку (А) ?) 60 ?) 100 ?) 40 ?) 80 Вопрос id:361623 Тема/шкала: Электричество и магнетизм Магнитный поток через катушку, содержащую 200 витков и имеющую сопротивление 0,5 Ом изменяется от 10 мВб до 40 мВб за 0,1 с. Определите силу тока короткого замыкания через катушку (А) ?) 60 ?) 100 ?) 80 ?) 120 Вопрос id:361624 Тема/шкала: Электричество и магнетизм Магнитный поток через катушку, содержащую 200 витков и имеющую сопротивление 0,5 Ом, изменяется от 10 мВб до 30 мВб за 0,1 с. Определите силу тока короткого замыкания через катушку (А) ?) 100 ?) 60 ?) 80 ?) 40 Вопрос id:361625 Тема/шкала: Электричество и магнетизм Как изменится емкостное сопротивление конденсатора в цепи переменного тока, если его частота уменьшится в 2 раза? ?) не изменится ?) увеличится в 2 раза ?) уменьшится в 2 раза ?) вопрос не корректен, конденсатор электрический ток не пропускает Вопрос id:361626 Тема/шкала: Электричество и магнетизм По цепи течет переменный ток, задаваемый уравнением i=0,04 sin 600t (А). Какое из перечисленных утверждений ошибочно? ?) эффективное значение тока равно 0,04√2А ?) начальная фаза равна нулю ?) частота переменного тока равна 300/π Гц ?) амплитудное значение тока равно 0,04 А Вопрос id:361627 Тема/шкала: Электричество и магнетизм Как изменится частота электромагнитных колебаний, если из катушки колебательного контура убрать сердечник из ферромагнетика? ?) сначала увеличится, потом уменьшится ?) увеличится ?) сначала уменьшится, потом увеличится ?) не изменится Вопрос id:361628 Тема/шкала: Электричество и магнетизм Из приведенных выражений выберите формулу для частоты свободных электромагнитных колебаний в колебательном контуре ?) ![]() ?) ![]() ?) ![]() ?) ![]() Вопрос id:361629 Тема/шкала: Электричество и магнетизм Через какую часть периода после замыкания конденсатора на катушку индуктивности энергия в колебательном контуре распределится поровну между конденсатором и катушкой индуктивности? ?) T/6 ?) Т/3 ?) Т/8 ?) Т/4 Вопрос id:361630 Тема/шкала: Электричество и магнетизм Ток в колебательном контуре изменяется в соответствии с уравнением i = 0, 01cos1000t. Какова индуктивность контура (Гн), если его емкость С=20 мкФ? ?) 0,05 ?) 0,1 ?) 0,4 ?) 0,2 Вопрос id:361631 Тема/шкала: Электричество и магнетизм Действующее значение напряжения в сети переменного тока равно 220 В. На какое минимальное рабочее напряжение должен быть рассчитан конденсатор, включаемый в эту сеть, чтобы не произошло пробоя его диэлектрика (В)? ?) 110 ?) 220 ?) 440 ?) 311 Вопрос id:361632 Тема/шкала: Электричество и магнетизм Мгновенное значение силы тока, изменяющегося по закону i = Imsin10t, для фазы π/3 равно 0,5 А. Каково амплитудное значение тока (А)? ?) 0,5 ?) 0,58 ?) 0,73 ?) 1 Вопрос id:361633 Тема/шкала: Электричество и магнетизм Оцените емкостное сопротивление (кОм) конденсатора емкостью 0,1 мкФ переменному току частотой 50 Гц ?) 53 ?) 127 ?) 32 ?) 21 Вопрос id:361634 Тема/шкала: Электричество и магнетизм Амплитудное значение силы переменного тока равно 12 А. Каково действующее значение силы тока (А)? ?) 6 ?) 3√2 ?) 3 ?) 6√2 Вопрос id:361635 Тема/шкала: Электричество и магнетизм В идеальном колебательном контуре максимальное значение энергии электрического поля конденсатора составляет 5 Дж. Как изменяется во времени полная энергия электромагнитного поля контура? ?) изменяется от 0 до 5 Дж ?) не изменяется и равна 10 Дж ?) изменяется от 0 до 10 Дж ?) не изменяется и равна 5 Дж Вопрос id:361636 Тема/шкала: Электричество и магнетизм Как изменятся тепловые потери в линии электропередачи при уменьшении напряжения на линии √2раз? ?) уменьшатся в 4 раза ?) не изменятся ?) увеличатся в 2 раза ?) увеличатся в 4 раза Вопрос id:361637 Тема/шкала: Электричество и магнетизм Как изменится амплитуда колебаний силы тока, протекающего через катушку, активное сопротивление которой равно нулю, если при неизменной амплитуде колебаний напряжения частоту колебаний увеличить в два раза? ?) уменьшится в 2 раза ?) увеличится в 2 раза ?) увеличится в 4 раза ?) уменьшится в 4 раза Вопрос id:361638 Тема/шкала: Электричество и магнетизм Как изменится емкостное сопротивление конденсатора переменному току, если последовательно с ним включить такой же конденсатор? ?) увеличится в 4 раза ?) увеличится в 2 раза ?) уменьшится в 4 раза ?) уменьшится в 2 раза Вопрос id:361639 Тема/шкала: Электричество и магнетизм Как изменится частота колебаний в колебательном контуре, если индуктивность контура увеличить в 2 раза? ?) увеличится в 2 раза ?) не изменится ?) увеличится в 4 раза ?) уменьшится в √2 раз Вопрос id:361640 Тема/шкала: Электричество и магнетизм Сила тока в цепи изменяется по закону i = 5sin200πt (А). Найдите частоту (Гц) изменения тока ?) 50 ?) 5 ?) 100 ?) 100π Вопрос id:361641 Тема/шкала: Электричество и магнетизм При вращении проволочной рамки в однородном магнитном поле магнитный поток через нее изменяется по закону ф=0,02cos200t (Вб) Определите максимальное значение ЭДС (В) индукции в рамке ?) 0,4 ?) 16 ?) 8 ?) 4 Вопрос id:361642 Тема/шкала: Электричество и магнетизм Амплитудное значение силы переменного тока 2√2 А. Чему равно действующее значение силы тока (А)? ?) 3 ?) √2 ?) 2√2 ?) 2 Вопрос id:361643 Тема/шкала: Электричество и магнетизм Из приведенных соотношений выберите выражение для действующего значения силы переменного тока ?) I=Δq/Δt ?) I=I0/√2 ?) I=I0coswt ?) I=U/R Вопрос id:361644 Тема/шкала: Электричество и магнетизм Во сколько раз уменьшится энергия конденсатора в колебательном контуре через 1/6 часть периода после подключения к нему катушки индуктивности? ?) 4 ?) 6 ?) 2 ?) 3 Вопрос id:361645 Тема/шкала: Электричество и магнетизм Электроемкость конденсатора в колебательном контуре С=2 мкФ, циклическая частота колебаний контура 1000 рад/с. Чему равна индуктивность (Гн) контура? ?) 50 ?) 5 ?) 0,5 ?) 1 Вопрос id:361646 Тема/шкала: Электричество и магнетизм В цепь переменного тока с частотой 2000 Гц включена катушка индуктивностью 100 мГн. Какой емкости конденсатор надо включить в эту цепь (нФ), чтобы осуществился резонанс? ?) 4 ?) 2,5 ?) 1 ?) 62,5 Вопрос id:361647 Тема/шкала: Электричество и магнетизм На рис. 13 приведены графики переменного тока и напряжения (сплошная линия напряжение, пунктирная ток). При подключении каких сопротивлений в цепь переменного тока возникают такие зависимости?
?) 1 емкостное, 2 индуктивное, 3 активное ?) 1 активное, 2 емкостное, 3 индуктивное ?) 1 емкостное, 2 активное, 3 индуктивное ?) 1 активное, 2 индуктивное, 3 емкостное Вопрос id:361648 Тема/шкала: Электричество и магнетизм Электрический самовар включили сначала в сеть переменного тока, а потом в сеть постоянного тока на одинаковое время. Вольтметры, подключенные к самовару, в обоих случаях показали одинаковые напряжения. Сопоставьте количества теплоты, которые выделяются в обоих случаях. Индуктивностью спирали пренебречь ?) при подключении к источнику постоянного тока самовар не нагревается ?) при подключении к источнику переменного тока выделяется в √2 раз больше теплоты ?) одинаковы ?) при подключении к источнику постоянного тока выделяется в √2 раз больше теплоты Вопрос id:361649 Тема/шкала: Электричество и магнетизм Циклическая частота колебаний контура при переходе от схемы а к схеме б…
?) не изменится ?) увеличится в 4 раза ?) увеличится в 2 раза ?) уменьшится в 2 раза Вопрос id:361650 Тема/шкала: Электричество и магнетизм Вольтметр, подключенный ко вторичной обмоте понижающего трансформатора, показывает 30 В. К трансформатору подключены параллельно 100 ламп, каждая из которых потребляет ток в 0,6 А. Какова мощность на выходе трансформатора (кВт), если его КПД равен 90% ?) 3 ?) 1,6 ?) 2,5 ?) 2 Вопрос id:361651 Тема/шкала: Электричество и магнетизм Определите емкостное сопротивление (кОм) цепи, состоящей из двух последовательно соединенных конденсаторов емкостями 500 нФ и 700 нФ переменному току частотой 350 Гц ?) 2,2 ?) 1,2 ?) 2,9 ?) 1,6 Вопрос id:361652 Тема/шкала: Электричество и магнетизм Определите емкостное сопротивление (кОм) цепи, состоящей из двух последовательно соединенных конденсаторов емкостями 600 нФ и 800 нФ переменному току частотой 400 Гц ?) 2,9 ?) 1,6 ?) 2,2 ?) 1,2 Вопрос id:361653 Тема/шкала: Электричество и магнетизм Определите емкостное сопротивление (кОм) цепи, состоящей из двух последовательно соединенных конденсаторов емкостями 600 нФ и 900 нФ переменному току частотой 450 Гц ?) 0,6 ?) 0,51 ?) 0,98 ?) 0,77 Вопрос id:361654 Тема/шкала: Электричество и магнетизм Индуктивность катушки 1 Гн, максимальная энергия магнитного поля 2•10-4Дж. Какова сила тока (А) в колебательном контуре в момент полной разрядки конденсатора? ?) 0,1 ?) 0,02 ?) 0,2 ?) 2 Вопрос id:361655 Тема/шкала: Электричество и магнетизм Определите емкостное сопротивление (кОм) цепи, состоящей из двух последовательно соединенных конденсаторов емкостями 700 нФ и 1000 нФ переменному току частотой 500 Гц ?) 0,98 ?) 0,51 ?) 0,77 ?) 0,6 Вопрос id:361656 Тема/шкала: Электричество и магнетизм Определите емкостное сопротивление (кОм) цепи, состоящей из двух последовательно соединенных конденсаторов емкостями 800 нФ и 1200 нФ переменному току частотой 550 Гц ?) 0,51 ?) 0,98 ?) 0,6 ?) 0,77 Вопрос id:361657 Тема/шкала: Электричество и магнетизм Конденсатор и лампочка последовательно подключены в сеть переменного тока. Как изменится накал лампы, если последовательно с конденсатором подсоединить еще один такой же конденсатор? ?) уменьшится ?) лампочка не будет гореть, так как конденсатор не пропускает ток ?) увеличится ?) не изменится Вопрос id:361658 Тема/шкала: Электричество и магнетизм Определите емкостное сопротивление (кОм) цепи, состоящей из двух последовательно соединенных конденсаторов емкостями 1000 нФ и 1300 нФ переменному току частотой 650 Гц ?) 0,34 ?) 0,51 ?) 0,43 ?) 0,28 Вопрос id:361659 Тема/шкала: Электричество и магнетизм Определите емкостное сопротивление (кОм) цепи, состоящей из двух последовательно соединенных конденсаторов емкостями 1200 нФ и 1500 нФ переменному току частотой 700 Гц ?) 0,51 ?) 0,34 ?) 0,28 ?) 0,43 Вопрос id:361660 Тема/шкала: Электричество и магнетизм Определите емкостное сопротивление (кОм) цепи, состоящей из двух последовательно соединенных конденсаторов емкостями 1300 нФ и 1800 нФ переменному току частотой 750 Гц ?) 0,34 ?) 0,43 ?) 0,51 ?) 0,28 Вопрос id:361661 Тема/шкала: Электричество и магнетизм Каково амплитудное значение ЭДС самоиндукции (В) на катушке индуктивностью 5 мГн, если сила тока в катушке меняется по закону i=cos500t (А)? ?) 2,5 ?) 0,5 ?) 1,4 ?) 3,5 Вопрос id:361662 Тема/шкала: Электричество и магнетизм Генератор отдает цепи мощность 4,35 кВт. Каков сдвиг фаз между током и напряжением, если их амплитудные значения равны 50 А и 100 В? ?) π ?) π/4 ?) π/6 ?) π/3 Вопрос id:361663 Тема/шкала: Электричество и магнетизм Напряжение источника тока 16 кВ, потери энергии на линиях электропередачи за сутки 120 кВтч. На сколько кВ надо увеличить напряжение источника, чтобы уменьшить потери энергии на 75%? ?) 16 ?) 24 ?) 4 ?) 8 Вопрос id:361664 Тема/шкала: Электричество и магнетизм При увеличении напряжения без изменения мощности источника потери энергии на линиях электропередачи уменьшились в 25 раз. Во сколько раз увеличено напряжение? ?) 10 ?) 7 ?) 20 ?) 5 Вопрос id:361665 Тема/шкала: Электричество и магнетизм Определите емкостное сопротивление (кОм) цепи, состоящей из двух последовательно соединенных конденсаторов емкостями 900 нФ и 1200 нФ переменному току частотой 600 Гц ?) 0,77 ?) 0,51 ?) 0,58 ?) 0,6 Вопрос id:361666 Тема/шкала: Электричество и магнетизм Определите емкостное сопротивление (кОм) цепи, состоящей из двух последовательно соединенных конденсаторов емкостями 120 нФ и 150 нФ переменному току частотой 700 Гц ?) 4,3 ?) 2,8 ?) 3,4 ?) 5,1 |
Copyright tests.ithead.ru 2013-2026





