Тесты онлайн, бесплатный конструктор тестов. Психологические тестирования, тесты на проверку знаний.
Список вопросов базы знанийМатематика (курс 13)Вопрос id:738709 Если ?) p/4 ?) p/3 ?) 0 ?) p/2 Вопрос id:738710 Если уравнение гиперболы имеет вид ?) 3 ?) 9 ?) 16 ?) 4 Вопрос id:738711 Если уравнение гиперболы имеет вид ?) 3 ?) 9 ?) 25 ?) 5 Вопрос id:738712 Если уравнение эллипса имеет вид ?) 25 ?) 16 ?) 4 ?) 5 Вопрос id:738713 Если уравнение эллипса имеет вид ?) 9 ?) 4 ?) 3 ?) 16 Вопрос id:738714 Из перечисленных прямых: A) y = 4x+1; B) y = 2x-3; C) y = -х/2+4; D) y = -4х-5, перпендикулярными являются ?) C и D ?) A и D ?) B и C ?) A и B Вопрос id:738715 Из перечисленных уравнений прямых: A) 3x-4y+5=0; B) 2x+5y-4=0; C) 6x-8y-3=0; D) y=3×х/4+2; E) 3x-5y+5=0, параллельными прямыми являются ?) A,C и D ?) A, B, E ?) B, C, D ?) A, C, D, E Вопрос id:738716 Координаты точек А(2,1,0), В(6,-3,-4), С(5,-2,-3). Точка С делит отрезок АВ в отношении ?) 2 ?) ?) 3 ?) Вопрос id:738717 Координаты точек А(4,1,1), В(3,4,7), С(2,3,5). Точка С делит отрезок АВ в отношении ?) 1 ?) 3 ?) 2 ?) Вопрос id:738718 Кривыми второго порядка, ограничивающими конечную область, являются ?) окружность ?) парабола ?) эллипс ?) гипербола Вопрос id:738719 Кривыми второго порядка, симметричными относительно начала координат, являются кривые ?) эллипс ?) парабола ?) гипербола ?) окружность с центром в точке О(1,1) Вопрос id:738720 Множество С, все элементы которого принадлежат каждому из множеств А и В, называется ?) пересечением множеств А и В, С = А ∩ В ?) объединением множеств А и В, С = А ∪ В ?) разностью множеств В и А, С = В \ А ?) разностью множеств А и В, С = А \ В Вопрос id:738721 Множество С, все элементы которого принадлежат хотя бы одному из множеств А и В, называется ?) объединением множеств А и В, С = А ∪ В ?) разностью множеств В и А, С = В \ А ?) разностью множеств А и В, С = А \ В ?) пересечением множеств А и В, С = А ∩ В Вопрос id:738722 Множество С, состоящее из тех элементов множества А, которые не принадлежат множеству В, называется ?) пересечением множеств А и В, С = А ∩ В ?) разностью множеств В и А, С = В \ А ?) объединение множеств А и В, С = А ∪ В ?) разностью множеств А и В, С = А \ В Вопрос id:738723 На плоскости введены прямоугольная и полярная системы координат, причем полюс расположен в точке с декартовыми координатами ?) ?) ?) ?) Вопрос id:738724 Написать уравнения плоскостей, имеющих нормальный вектор N(1,1,1) и проходящих через указанные точки
Вопрос id:738725 Написать уравнения плоскостей, имеющих нормальный вектор N(2,1,2) и проходящих через указанные точки
Вопрос id:738726 Написать уравнения плоскостей, имеющих нормальный вектор N(3,1,3) и проходящих через указанные точки
Вопрос id:738727 Написать уравнения плоскостей, проходящих через точку (0,0,0), и имеющих заданные нормальные векторы N
Вопрос id:738728 Написать уравнения плоскостей, проходящих через точку (1, 1, 1), и имеющих заданные нормальные векторы N
Вопрос id:738729 Направление прямой в пространстве можно определить с помощью ?) нормального вектора ?) направляющего вектора ?) углового коэффициента ?) координат точки, лежащей на прямой Вопрос id:738730 Окружность радиуса 2 с центром на положительной полуоси Оx может быть представлена в полярной системе координат с полюсом О и полярной осью Ох уравнением … ?) ?) ?) ?) Вопрос id:738731 Окружность радиуса 6 с центром на положительной полуоси Оx может быть представлена в полярной системе координат с полюсом О и полярной осью Ох уравнением … ?) ?) ?) ?) Вопрос id:738732 Операция скалярного произведения определена для следующих пар векторов ?) ?) ?) ?) Вопрос id:738733 Операция сложения определена для следующих пар векторов ?) ?) ?) ?) Вопрос id:738734 Переместительному закону удовлетворяют следующие операции ?) умножение матриц ?) произведение чисел ?) скалярное произведение векторов ?) деление чисел Вопрос id:738735 Перпендикулярными к плоскости ?) ?) ?) ?) Вопрос id:738736 Прямая ?) ?) ?) ?) Вопрос id:738737 Прямая проходит через точки О(-1;0) и В(0;1). Тогда ее угловой коэффициент равен ?) –2 ?) 1 ?) 2 ?) -1 Вопрос id:738738 Прямая проходит через точки О(0;0) и В(–2;1). Тогда ее угловой коэффициент равен ?) -1/2 ?) –2 ?) 1/2 ?) 2 Вопрос id:738739 Прямая проходит через точки О(1; 2) и В(0; 0). Тогда ее угловой коэффициент равен ?) 2 ?) 0 ?) -1 ?) 1 Вопрос id:738740 Радиус окружности, заданной уравнением x2+y2+2y=0, равен ?) 2 ?) 1 ?) –1 ?) 3 Вопрос id:738741 Радиус окружности, заданной уравнением x2+y2-2y=0, равен ?) 3 ?) –1 ?) 1 ?) 4 Вопрос id:738742 Радиус окружности, заданной уравнением x2+y2-4y=0, равен ?) 3 ?) 4 ?) 1 ?) 2 Вопрос id:738743 Расстояние между точками В(–1; 1) и D(2; 5) равно ?) 4 ?) 5 ?) 3 ?) 6 Вопрос id:738744 Расстояние между точками В(–3; –4) и D(6; 8) равно ?) 16 ?) 13 ?) 15 ?) 14 Вопрос id:738745 Расстояние между фокусами эллипса равно 6, а малая полуось в=4. Тогда уравнение этого эллипса имеет вид ?) x2/25+y2/9=1 ?) х2/25+y2/16=1 ?) x2/16+y2/9=1 ?) x2/9+y2/16=1 Вопрос id:738746 Точка ?) ?) ?) ?) Вопрос id:738747 Указать соответствие между каноническими уравнениями прямых и их направляющими векторами
Вопрос id:738748 Указать соответствие между каноническими уравнениями прямых и точками, лежащими на этих прямых
Вопрос id:738749 Указать соответствие между каноническими уравнениями прямых и точками, лежащими на этих прямых
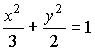
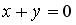
Вопрос id:738750 Уравнение гиперболы, у которой действительная полуось а=4, а мнимая полуось в=3, имеет вид ?) x2/16-y2/9=1 ?) x2/16+y2/9=1 ?) x2/4-y2/3=1 ?) x2/4+y2/3=1 Вопрос id:738751 Уравнение кривой, изображенной на рисунке, имеет вид ![]() ?) ![]() ?) ![]() ?) ![]() ?) ![]() Вопрос id:738752 Уравнение окружности радиуса R=3 с центром в точке С(-1;2) имеет вид ?) (x-1)2+(y+2)2=9 ?) (x+1)2+(y-2)2=9 ?) (x+1)2+(y+2)2=3 ?) (x+1)2+(y-2)2=3 Вопрос id:738753 Уравнение окружности радиуса R=4 с центром в точке С(2;-3) имеет вид ?) (x-2)2+(y+3)2=16 ?) (x-2)2+(y+3)2=4 ?) (x-2)2+(y-3)2=16 ?) (x+2)2+(y-3)2=16 Вопрос id:738754 Уравнение параболы, у которой фокус имеет координаты F(2,0), а директриса имеет уравнение х=-2, имеет вид ?) y2=х ?) y2=4x ?) y2=8x ?) y2=2x Вопрос id:738755 Уравнение плоскости имеет вид: x-2y+5z-4=0. Вектор ?) ?) ?) ?) Вопрос id:738756 Уравнение плоскости, проходящей через точку М(1,2,0) перпендикулярно вектору ?) 2x-y+3z+1=0 ?) x+2y-5=0 ?) 2x-y+3z+2=0 ?) 2x-y+3z=0 Вопрос id:738757 Уравнение прямой в пространстве может иметь следующий вид ?) канонический ?) уравнение с угловым коэффициентом ?) параметрический ?) асимптотический Вопрос id:738758 Уравнение прямой, изображенной на рисунке, имеет вид ![]() ?) 2x + 3y = 6 ?) 2x + 3y = 1 ?) 3x + 2y = 6 ?) 3x + 2y = 1 |
Copyright tests.ithead.ru 2013-2026





