Тесты онлайн, бесплатный конструктор тестов. Психологические тестирования, тесты на проверку знаний.
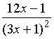
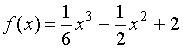
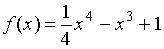
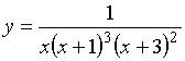
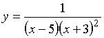
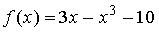
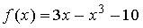
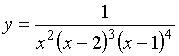
Список вопросов базы знанийМатематика (курс 13)Вопрос id:739012 Наибольшее значение функции ?) 5 ?) 3 ?) 2 ?) 1 Вопрос id:739013 Наибольшее значение функции ?) 13 ?) 1 ?) 15 ?) 3 Вопрос id:739014 Наибольшее значение функции ?) 0 ?) – 18 ?) – 11 ?) 11 Вопрос id:739015 Наибольшее значение функции ?) ?) ?) 2 ?) 3 Вопрос id:739016 Наибольшее значение функции ?) 2 ?) 0 ?) 4 ?) 5 Вопрос id:739017 Наибольшее значение функции ?) 0 ?) 9 ?) 10 ?) 1 Вопрос id:739018 Наибольшее значение функции ?) – 10 ?) 2 ?) 6 ?) – 8 Вопрос id:739019 Наибольшее значение функции ?) – 9 ?) – 10 ?) – 11 ?) – 6 Вопрос id:739020 Наименьшее значение функции ?) – 1,5 ?) 1,5 ?) 0,5 ?) 2,5 Вопрос id:739021 Наименьшее значение функции ?) 0 ?) 5 ?) 4 ?) – 2 Вопрос id:739022 Наименьшее значение функции ?) – 12 ?) – 2 ?) – 10 ?) – 16 Вопрос id:739023 Наименьшее значение функции ?) – 1 ?) 1 ?) 0 ?) 9 Вопрос id:739024 Наименьшее значение функции ?) 10,5 ?) 0 ?) – 15 ?) – 1,5 Вопрос id:739025 Производная функции ?) ![]() ?) ![]() ?) ![]() ?) ![]() Вопрос id:739026 Производная частного ?) ![]() ?) ?) ![]() ?) ![]() Вопрос id:739027 Число точек разрыва функции равно?) 1 ?) 2 ?) 0 ?) 3 Вопрос id:739028 Число точек разрыва функции равно?) 0 ?) 3 ?) 6 ?) 5 Вопрос id:739029 Число точек разрыва функции равно?) 4 ?) 3 ?) 0 ?) 7 Вопрос id:739030 Число точек разрыва функции равно?) 2 ?) 0 ?) 3 ?) 5 Вопрос id:739031 Число точек разрыва функции равно?) 3 ?) 2 ?) 7 ?) 9 Вопрос id:739032 Число точек разрыва функции равно?) 2 ?) 4 ?) 7 ?) 3 Вопрос id:739033 Число точек разрыва функции равно?) 8 ?) 3 ?) 2 ?) 4 Вопрос id:739034 Число точек разрыва функции равно?) 9 ?) 4 ?) 3 ?) 1 Вопрос id:739035 {x: –1 ≤ х ≤ 1}, B = {y: 0 ≤ y ≤ 1}. Соответствие, заданное формулой: y = x2 является взаимно однозначным при ?) х ⊂ (0,1) ?) х ⊂ [0,1] ?) х ⊂ (-1,1) ?) х ⊂ [-1,1] Вопрос id:739036 а и b – высказывания, а – истинно, b – ложно. Высказывание «а или b» истинно или ложно? Какая операция использована? ?) ложно, дизъюнкция ?) истинно, конъюнкция ?) истинно, дизъюнкция ?) ложно, конъюнкция Вопрос id:739037 а и b – высказывания, а – истинно, b – ложно. Высказывание «а или b» истинно или ложно? Ответ дайте словом Вопрос id:739038 а и b – высказывания, а – ложно, b – истинно. Высказывание «а и b» истинно или ложно? Какая операция использована? ?) истинно, конъюнкция ?) истинно, дизъюнкция ?) ложно, дизъюнкция ?) ложно, конъюнкция Вопрос id:739039 а и b – высказывания, а – ложно, b – истинно. Высказывание «а и b» истинно или ложно? Ответ дайте словом Вопрос id:739040 Бесконечно убывающей геометрической прогрессией называют такую, у которой знаменатель q удовлетворяет условию ?) |q| = 1 ?) |q| < 1 ?) |q| > 1 ?) q < 1 Вопрос id:739041 Восьмой член арифметической прогрессии равен 16, десятый – 20, девятый её член равен ?) 18 ?) 19 ?) 24 ?) 22 Вопрос id:739042 Восьмой член арифметической прогрессии равен 26, десятый – 32, девятый её член равен ___. Ответ дайте числом Вопрос id:739043 Восьмой член геометрической прогрессии равен 10, десятый - 20. Знаменатель этой прогрессии равен ?) 2. ?) ?) 8 ?) 4 Вопрос id:739044 Восьмой член геометрической прогрессии равен 16, десятый - 32. Знаменатель этой прогрессии равен Вопрос id:739045 Восьмой член геометрической прогрессии равен 8, десятый - 16. Знаменатель этой прогрессии равен ?) 4 ?) ?) ?) 8 Вопрос id:739046 Восьмой член геометрической прогрессии равен 8, десятый равен 32, девятый её член равен ?) 24 ?) 20 ?) 16 ?) 22 Вопрос id:739047 Восьмой член геометрической прогрессии равен 8, десятый – 32, девятый её член равен ___. Ответ дайте числом Вопрос id:739048 Высказывание A – «Граф – это совокупность точек и линий»; высказывание В – «Противоположные стороны параллелограмма параллельны». Дизъюнкцией этих высказываний ( ?) «Если граф – это совокупность точек и линий, то противоположные стороны параллелограмма параллельны» ?) «Граф – это совокупность точек и линий тогда и только тогда, когда противоположные стороны параллелограмма параллельны» ?) «Граф – это совокупность точек и линий, и противоположные стороны параллелограмма параллельны» ?) «Граф – это совокупность точек и линий, или противоположные стороны параллелограмма параллельны» Вопрос id:739049 Высказывание A – «Джон Атанасов – автор первого проекта ЭВМ»; высказывание В – «Все стороны ромба равны». Конъюнкцией этих высказываний ( ?) «Джон Атанасов – автор первого проекта ЭВМ тогда и только тогда, когда все стороны ромба равны» ?) «Если Джон Атанасов – автор первого проекта ЭВМ, то все стороны ромба равны» ?) «Джон Атанасов – автор первого проекта ЭВМ, или все стороны ромба равны» ?) «Джон Атанасов – автор первого проекта ЭВМ, и все стороны ромба равны» Вопрос id:739050 Высказывание A – «Информатика – это наука о методах сбора, хранения и обработки информации»; высказывание В – «Вокруг любого треугольника можно описать окружность». Конъюнкцией этих высказываний ( ?) «Информатика – это наука о методах сбора, хранения и обработки информации тогда и только тогда, когда вокруг любого треугольника можно описать окружность» ?) «Если информатика – это наука о методах сбора, хранения и обработки информации, то вокруг любого треугольника можно описать окружность» ?) «Информатика – это наука о методах сбора, хранения и обработки информации; или вокруг любого треугольника можно описать окружность» ?) «Информатика – это наука о методах сбора, хранения и обработки информации; и вокруг любого треугольника можно описать окружность» Вопрос id:739051 Высказывание A – «Принтер – это устройство вывода информации»; высказывание В – «Две параллельные прямые не имеют общих точек». Дизъюнкцией этих высказываний ( ?) «Принтер - это устройство вывода информации, и две параллельные прямые не имеют общих точек» ?) «Принтер - это устройство вывода информации тогда и только тогда, когда две параллельные прямые не имеют общих точек» ?) «Принтер - это устройство вывода информации, или две параллельные прямые не имеют общих точек» ?) «Если принтер - это устройство вывода информации, то две параллельные прямые не имеют общих точек» Вопрос id:739052 Высказывание A – «Стример – это устройство для резервного хранения информации»; высказывание В – «Вертикальные углы равны». Конъюнкцией этих высказываний ( ?) «Стример – это устройство для резервного хранения информации, или вертикальные углы равны» ?) «Если стример – это устройство для резервного хранения информации, то вертикальные углы равны» ?) «Стример – это устройство для резервного хранения информации тогда и только тогда, когда вертикальные углы равны» ?) «Стример – это устройство для резервного хранения информации, и вертикальные углы равны» Вопрос id:739053 Высказывание A – «Файл – это именованная совокупность данных»; высказывание В – «В равнобедренном треугольнике углы при основании равны». Конъюнкцией этих высказываний ( ?) «Файл – это именованная совокупность данных, или в равнобедренном треугольнике углы при основании равны» ?) «Если файл – это именованная совокупность данных, то в равнобедренном треугольнике углы при основании равны» ?) «Файл – это именованная совокупность данных тогда и только тогда, когда в равнобедренном треугольнике углы при основании равны» ?) «Файл – это именованная совокупность данных, и в равнобедренном треугольнике углы при основании равны» Вопрос id:739054 Высказывание, которое истинно тогда и только тогда, когда истинно хотя бы одно из составляющих его высказывания, является их ?) дизъюнкцией ?) означает их эквивалентность ?) импликацией ?) конъюнкцией Вопрос id:739055 Высказывание, которое истинно тогда и только тогда, когда истинно хотя бы одно из составляющих его высказывания, является их Вопрос id:739056 Высказывание, которое истинно тогда и только тогда, когда истинны оба составляющих его высказывания, является их ?) конъюнкцией ?) дизъюнкцией ?) импликацией ?) означает их эквивалентность Вопрос id:739057 Высказывание, которое истинно тогда и только тогда, когда истинны оба составляющих его высказывания, является их Вопрос id:739058 Высказывание, которое ложно тогда и только тогда, когда а - истинно, а b - ложно, является их ?) означает их эквивалентность ?) конъюнкцией ?) импликацией ?) дизъюнкцией Вопрос id:739059 Высказывание, которое ложно тогда и только тогда, когда а - истинно, а b - ложно, является их Вопрос id:739060 Высказывания a и b – истинны. Какие из высказываний ложны? ?) ?) a ∩ ?) a → b ?) a ∩b Вопрос id:739063 Высказывания a и b – ложны. Какие из высказываний также ложны? ?) a → b ?) a~b ?) a ∩ b ?) |
Copyright tests.ithead.ru 2013-2026







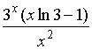
равно
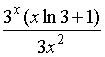
равно
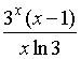
равно
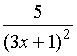
равно
равно
равно
равно
равно