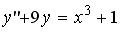
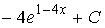
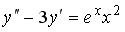
Список вопросов базы знанийМатематика (курс 13)Вопрос id:738959 Частное решение дифференциального уравнения y" - 2y' + y = -4cos3x ищется в виде ?) Ae3х ?) Acos3x + Bsin3x ?) Acos3x ?) Acosx + Bsinx Вопрос id:738960 Частное решение дифференциального уравнения y" - 2y' + y = -x + 2 равно ?) 3ex ?) 3 ?) 7x + 1 ?) -x Вопрос id:738961 Частное решение дифференциального уравнения y" - 2y' + y = 0, удовлетворяющее начальным условиям y(0) = 1, y'(0) = 0, равно ?) (1 – x)ex ?) 2ex ?) ex ?) 2x Вопрос id:738962 Частное решение дифференциального уравнения y" - 2y' + y = 3ex ищется в виде ?) A ex ?) x2 ex ?) A x2 ex ?) (Ax + B) ex Вопрос id:738963 Частное решение дифференциального уравнения y" - 2y' + y = 3sinx ищется в виде ?) 3sinx ?) Acosx + Bsinx ?) Aex sinx ?) Asinx Вопрос id:738964 Частное решение дифференциального уравнения y" - 2y' + y = 3sinx равно ?) 3ex ?) ?) 3sinx ?) 3(sinx + cosx) Вопрос id:738965 Частное решение дифференциального уравнения y" - 2y' + y = 4e2x равно ?) e2x ?) e-2x ?) sin2x ?) 4e2x Вопрос id:738966 Частное решение дифференциального уравнения y" - 2y' + y = 5x + 1 ищется в виде ?) Ax + B ?) A ?) Aex + B ?) xex Вопрос id:738967 Частное решение дифференциального уравнения y" - 2y' + y = sin2x ищется в виде ?) Ae2х ?) Asin2x ?) Acos2x + Bsin2x ?) A(sin2x + cos2x) Вопрос id:738968 Частное решение дифференциального уравнения y"(x) + 2y'(x) + 5y(x) = 50x равно ?) 2x-3 ?) 10x -4 ?) 3 ?) 10x Вопрос id:738969 Частное решение дифференциального уравнения y"(x) + y(x) = 0, удовлетворяющее начальным условиям y(0) = 0, y'(0) = 2, равно ?) 2(ex – 1) ?) cos2x – 1 ?) 2sinx ?) 2(cosx – 1) Вопрос id:738970 Частное решение линейного неоднородного дифференциального уравнения второго порядка ?) ?) ?) ?) Вопрос id:738971 Частное решение неоднородного разностного уравнения y(x + 2) – 4y(x + 1) + 4y(x) = 2 равно ?) 3 ?) 4 ?) 0 ?) 2 Вопрос id:738972 Частное решение неоднородного разностного уравнения y(x + 2) – 4y(x + 1) + 4y(x) = 3x равно ?) A2x ?) ?) 2x ?) 3x Вопрос id:738973 Частное решение неоднородного разностного уравнения y(x + 2) – 4y(x + 1) + 4y(x) = 5 равно ?) 0 ?) 3x ?) 5 ?) 2 Вопрос id:738974 Частное решение неоднородного разностного уравнения y(x + 2) – 4y(x + 1) + 4y(x) = x - 2 равно ?) x ?) x2x ?) x - 2 ?) 2x Вопрос id:738975 Частное решение однородного разностного уравнения y(x + 2) – 4y(x + 1) + 4y(x) = 0, удовлетворяющее начальному условию y(0) = 1, y(1) = 2, равно ?) 2x+1 ?) 3x ?) 2x ?) x2x Вопрос id:738976 Частному решению дифференциального уравнения ?) ?) ?) ?) Вопрос id:738977 Даны два множества А = {1, 2, 4, 6, 8, 10} и B = {1, 4, 8, 12}. Укажите соответствие между операциями и множествами
Вопрос id:738978 Даны два множества А = {1, 2, 4, 6, 8, 10} и B = {1, 5, 10, 15}. Укажите соответствие между операциями и множествами
Вопрос id:738979 Для двух множеств А = {2, 3, 5, 7, 10, 11} и В = {3, 4, 7, 8, 11} множество C = {2, 3, 4, 5, 7, 8, 10, 11} равно ?) А ∩ В ?) B \ A ?) А ∪ В ?) А \ В Вопрос id:738980 Для двух множеств А = {2, 3, 5, 7, 10, 11} и В = {3, 4, 7, 8, 11} множество C = {3, 7, 11} равно ?) А \ В ?) А ∩ В ?) А ∪ В ?) B \ A Вопрос id:738981 Для двух множеств А = {2, 3, 5, 7, 10, 11} и В = {3, 4, 7, 8, 11} множество C = {2, 5, 10} равно ?) B \ A ?) А \ В ?) А ∩ В ?) А ∪ В Вопрос id:738982 Для двух множеств А = {2, 3, 5, 7, 10, 11} и В = {3, 4, 7, 8, 11} множество C = {4, 8} равно ?) А \ В ?) А ∪ В ?) А ∩ В ?) B \ A Вопрос id:738983 Из перечисленных функций а) y = 2sinx; b) y = 1/3 tg(x/2); c) e) y = 3sin2 (x/4) ограниченными функциями являются ?) c; d; e ?) а; b; c ?) а; d; e ?) b; c; d Вопрос id:738984 Какие из последовательностей являются арифметическими прогрессиями? 1, 2, 3, …, n, … 2, 4, 8, …, 2n, … 1, 3, 5, …, 2n + 1, … 1,-2, 4, -8, 16, -32, … ?) c ?) d ?) a ?) b Вопрос id:738985 Какие из последовательностей являются геометрическими прогрессиями? a) 1, 2, 3, …, n, … b) 2, 4, 8, …, 2n, … c) 1, ?) c ?) b ?) a Вопрос id:738986 Пусть A и B - множества, изображенные на рисунке:
Тогда объединением этих множеств является ?) А ?) А\В ?) ?) В Вопрос id:738987 Пусть A и B - множества, изображенные на рисунке:
Тогда объединением этих множеств является ?) А\В ?) А ?) ?) В Вопрос id:738988 Пусть A и B - множества, изображенные на рисунке:
Тогда объединением этих множеств является ?) ?) В ?) А ?) А\В Вопрос id:738989 Утверждения а – истинно, b - истинно Укажите соответствие между операциями и значениями истинности (0 – ложь, 1 – истина).
Вопрос id:738990 Утверждения а – истинно, b - ложно Укажите соответствие между операциями и значениями истинности (0 – ложь, 1 – истина).
Вопрос id:738991 Утверждения а – истинно, b - ложно Укажите соответствие между операциями и значениями истинности (0 – ложь, 1 – истина).
Вопрос id:738992 Утверждения а – истинно, b - ложно Укажите соответствие между операциями и значениями истинности (0 – ложь, 1 – истина).
Вопрос id:738994 Утверждения а – истинно, b - ложно Укажите соответствие между операциями и значениями истинности (0 – ложь, 1 – истина).
Вопрос id:738996 Утверждения а – истинно, b - ложно Укажите соответствие между операциями и значениями истинности (0 – ложь, 1 – истина).
Вопрос id:738997 Утверждения а – истинно, b - ложно Укажите соответствие между операциями и значениями истинности (0 – ложь, 1 – истина).
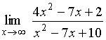
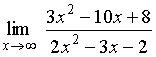
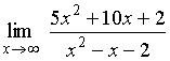
Вопрос id:738999 Значение предела ?) 0,5 ?) 0 ?) ?) 2 Вопрос id:739000 Дана функция ?) ?) ?) ?) Вопрос id:739001 Значение предела равно?) ?) 2 ?) 1 ?) 0 Вопрос id:739002 Значение предела равно?) 2 ?) ?) 0 ?) 3 Вопрос id:739003 Значение предела равно?) 1 ?) ?) 5 ?) 0 Вопрос id:739004 Значение предела равно?) 2 ?) 0 ?) 4 ?) Вопрос id:739005 Значение предела равно?) ?) 1 ?) 0 ?) 3 Вопрос id:739006 Значение предела равно?) 1,5 ?) 0 ?) ?) 2 Вопрос id:739007 Значение предела равно?) ?) 1 ?) 0 ?) 2 Вопрос id:739008 Значение предела равно?) 0 ?) ?) 2 ?) 5 Вопрос id:739009 Значение предела равно?) 1 ?) ?) 4 ?) 0 Вопрос id:739010 Множество первообразных функции ?) ?) ?) ?) Вопрос id:739011 Наибольшее значение функции ?) 5 ?) 2,5 ?) 4 ?) 7 |



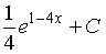
равно
равно
равно
равно
равно
равно
равно
равно
равно
равно