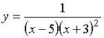
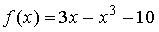
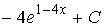
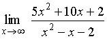
Список вопросов базы знанийМатематический анализ (курс 8)Вопрос id:748546 Производная функции ?) ?) ?) ?) Вопрос id:748547 Производная функции ?) ?) ?) ?) Вопрос id:748548 Производная функции ?) ?) ?) ?) Вопрос id:748549 Производная функции ?) ?) ?) ?) Вопрос id:748550 Угол между осью ?) ?) ?) ?) Вопрос id:748551 Угол между осью ?) ?) ?) ?) 0 Вопрос id:748552 Угол между осью ?) ?) ![]() ?) ?) Вопрос id:748553 Угол между осью ?) ?) ?) ?) Вопрос id:748554 Уравнение вертикальной асимптоты для графика функции ?) ?) ?) ?) Вопрос id:748555 Уравнение вертикальной асимптоты для графика функции ?) ?) ?) ?) Вопрос id:748556 Уравнение вертикальной асимптоты для графика функции ?) ?) ?) ?) Вопрос id:748557 Уравнение вертикальной асимптоты для графика функции ?) ?) ?) ?) Вопрос id:748558 Уравнение вертикальной асимптоты для графика функции ?) ?) ?) ?) Вопрос id:748559 Уравнение касательной к графику функции ?) у = - 2х + 2 ?) ?) ?) Вопрос id:748560 Уравнение касательной к графику функции ?) ?) у = 12х – 16 ?) ?) Вопрос id:748561 Уравнение касательной к графику функции ?) ?) ?) ?) Вопрос id:748562 Уравнение невертикальной асимптоты для графика функции ?) ?) ?) ?) Вопрос id:748563 Уравнение невертикальной асимптоты для графика функции ?) нет невертикальной асимптоты ?) ?) ?) Вопрос id:748564 Уравнение невертикальной асимптоты для графика функции ?) нет невертикальной асимптоты ?) ?) ?) Вопрос id:748565 Уравнение невертикальной асимптоты для графика функции ?) ?) ?) нет невертикальной асимптоты ?) Вопрос id:748566 Уравнение невертикальной асимптоты для графика функции ?) ?) нет невертикальной асимптоты ?) ?) Вопрос id:748567 Значение предела ?) 0,5 ?) ?) 2 ?) 0 Вопрос id:748568 Дана функция ?) ?) ?) ?) Вопрос id:748569 Значение предела равно?) 0 ?) 1 ?) 2 ?) Вопрос id:748570 Значение предела равно?) 0 ?) ?) 3 ?) 2 Вопрос id:748571 Значение предела равно?) ?) 0 ?) 1 ?) 5 Вопрос id:748572 Значение предела равно?) 4 ?) 2 ?) ?) 0 Вопрос id:748573 Значение предела равно?) 1 ?) 0 ?) 3 ?) Вопрос id:748574 Значение предела равно?) 0 ?) 1,5 ?) ?) 2 Вопрос id:748575 Значение предела равно?) ?) 0 ?) 1 ?) 2 Вопрос id:748576 Значение предела равно?) 2 ?) ?) 0 ?) 5 Вопрос id:748577 Значение предела равно?) 4 ?) 0 ?) 1 ?) Вопрос id:748578 Множество первообразных функции ?) ?) ?) ?) Вопрос id:748579 Наибольшее значение функции ?) 5 ?) 4 ?) 2,5 ?) 7 Вопрос id:748580 Наибольшее значение функции ?) 3 ?) 1 ?) 5 ?) 2 Вопрос id:748581 Наибольшее значение функции ?) 3 ?) 15 ?) 13 ?) 1 Вопрос id:748582 Наибольшее значение функции ?) – 18 ?) 11 ?) 0 ?) – 11 Вопрос id:748583 Наибольшее значение функции ?) 2 ?) ?) 3 ?) Вопрос id:748584 Наибольшее значение функции ?) 0 ?) 4 ?) 5 ?) 2 Вопрос id:748585 Наибольшее значение функции ?) 9 ?) 1 ?) 10 ?) 0 Вопрос id:748586 Наибольшее значение функции ?) 2 ?) 6 ?) – 8 ?) – 10 Вопрос id:748587 Наибольшее значение функции ?) – 11 ?) – 9 ?) – 10 ?) – 6 Вопрос id:748588 Наименьшее значение функции ?) 0,5 ?) 2,5 ?) 1,5 ?) – 1,5 Вопрос id:748589 Наименьшее значение функции ?) – 2 ?) 0 ?) 4 ?) 5 Вопрос id:748590 Наименьшее значение функции ?) – 12 ?) – 10 ?) – 2 ?) – 16 Вопрос id:748591 Наименьшее значение функции ?) 9 ?) 1 ?) – 1 ?) 0 Вопрос id:748592 Наименьшее значение функции ?) – 1,5 ?) 0 ?) 10,5 ?) – 15 Вопрос id:748593 Производная функции ?) ![]() ?) ![]() ?) ![]() ?) Вопрос id:748594 Производная частного ?) ?) ![]() ?) ![]() ?) ![]() Вопрос id:748595 Число точек разрыва функции равно?) 1 ?) 2 ?) 3 ?) 0 |

равно
равно
равно
равно
равно
равно
равно
равно
равно
равно





равно