Тесты онлайн, бесплатный конструктор тестов. Психологические тестирования, тесты на проверку знаний.

Список вопросов базы знаний

Математический анализ (курс 8)

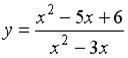
Вопрос id:748596
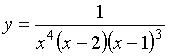
Число точек разрыва функции равно
?) 6
?) 0
?) 3
?) 5
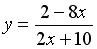
Вопрос id:748597
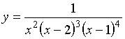
Число точек разрыва функции равно
?) 0
?) 4
?) 7
?) 3
Вопрос id:748598
Число точек разрыва функции равно
?) 5
?) 0
?) 3
?) 2
Вопрос id:748599
Число точек разрыва функции равно
?) 9
?) 3
?) 2
?) 7
Вопрос id:748600
Число точек разрыва функции равно
?) 7
?) 3
?) 2
?) 4
Вопрос id:748601
Число точек разрыва функции равно
?) 4
?) 3
?) 8
?) 2
Вопрос id:748602
Число точек разрыва функции равно
?) 9
?) 4
?) 3
?) 1
Вопрос id:748603
u(x) и v(x) - две дифференцируемые функции. Выберите два правильных соотношения:
?)
?)
?)
?)
Вопрос id:748604
равен
?) 7
?)

?) 0
?) 9
Вопрос id:748605
равен
?) 0
?) 2/9
?) 5/3
?)
Вопрос id:748606
равен
?) 0
?) не существует
?)
?) 3
Вопрос id:748607
равен
?) 5
?) не существует
?) 0
?)
Вопрос id:748608
равен
?) не существует
?)
?) 1
?) 0
Вопрос id:748609
равен
?)
?) не существует
?) 0
?) 1
Вопрос id:748610
- две эквивалентные бесконечно малые. Тогда
?) = 0
?) > 0
?) бесконечно малая высшего порядка в сравнении с
?) является бесконечно малой
Вопрос id:748611
равен ___ (ответ дать в виде целого числа)
Вопрос id:748612
равен ___ (ответ дать в виде целого числа)
Вопрос id:748613
равен ___ (ответ дать в виде целого числа)
Вопрос id:748614
равен ___ (ответ дать в виде целого числа)
Вопрос id:748615
Вертикальной асимптотой графика функции является прямая, определяемая уравнением…
?)
?)
?)
?)
Вопрос id:748616
Во всех точках некоторого интервала , тогда на этом интервале
?) не убывает
?) убывает
?) не возрастает
?) возрастает
Вопрос id:748617
Во всех точках некоторого интервала , тогда на этом интервале___ (ответ дать словами)
Вопрос id:748618
Выберите два правильных соотношения для :
?)
?)
?)
?)
Вопрос id:748619
Выберите два правильных соотношения:
?)
?)
?)
?)
Вопрос id:748620
Горизонтальной асимптотой графика функции является прямая, определяемая уравнением…
?)
?)
?)
?)
Вопрос id:748621
Для эквивалентными бесконечно малыми являются
?)
?)
?)
?)
Вопрос id:748622
Для функции обратной является функция
?)
?)
?)
?)
Вопрос id:748623
Для функции точка является точкой разрыва ___ рода (ответ дайте словами)
Вопрос id:748624
Для функции две точки перегиба имеют абсциссы, равные
?) 0
?) 6
?) 2
?) 1
Вопрос id:748625
Для функции выполняются условия: . Такая функция называется ___ (ответ дайте словами)
Вопрос id:748626
Для функции выполняются условия: . Такая функция называется ___ (ответ дайте словами)
Вопрос id:748627
Для функции точка является точкой разрыва ___ рода (ответ дайте словами)
Вопрос id:748628
Для функции точка перегиба имеет абсциссу x0, равную___ (ответ дать в виде целого числа)
Вопрос id:748629
Для функции точка перегиба имеет абсциссу x0, равную___ (ответ дать в виде целого числа)
Вопрос id:748630
Если – бесконечно малая последовательность и ограниченная, то -последовательность
?) ограниченная
?) бесконечно большая
?) неограниченная
?) бесконечно малая
Вопрос id:748631
Если при любых n и -бесконечно малой последовательности, то
?)
?)
?)
?)
Вопрос id:748632
Если в неопределенном интеграле , применяя метод интегрирования по частям: , положить, что , то функция будет равна …
?)
?)
?)
?)
Вопрос id:748633
Значение производной второго порядка функции в точке равно…
?) - 11
?) - 12
?) - 1
?) - 10
Вопрос id:748634
Значение производной второго порядка функции в точке равно …
?) 6
?) 1
?) 0
?) 9
Вопрос id:748635
Значение производной второго порядка функции в точке равно …
?) – 100
?) 1
?) 100
?) - 1
Вопрос id:748636
Значение производной второго порядка функции в точке равно…
?) 6
?) – 6
?) 24
?) - 24
Вопрос id:748637
Значение производной второго порядка функции в точке равно …
?) - 5
?) - 80
?) 80
?) 5
Вопрос id:748638
Интервалы возрастания функции
?) нет таких интервалов
?) ,
?) ,
?)
Вопрос id:748639
Интервалы возрастания функции
?) ,
?)
?) ,
?) ,
Вопрос id:748640
Интервалы возрастания функции
?) ,
?) ,
?) ,
?) ,
Вопрос id:748641
Интервалы убывания функции
?) ,
?) ,
?) ,
?) нет таких интервалов
Вопрос id:748642
Интервалы убывания функции
?) ,
?) ,
?) ,
?) нет таких интервалов
Вопрос id:748643
Количество вертикальных асимптот графика функции равно …
Вопрос id:748644
Наибольшее значение функции на отрезке равно ___ (ответ дать в виде целого числа)
Вопрос id:748645
Наибольшее значение функции на отрезке равно ___ (ответ дать в виде целого числа)
Copyright tests.ithead.ru 2013-2026