Тесты онлайн, бесплатный конструктор тестов. Психологические тестирования, тесты на проверку знаний.
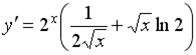
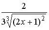
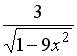
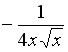
Список вопросов базы знанийМатематический анализ (курс 8)Вопрос id:748646 Наименьшее значение функции ?) – 1 ?) ?) ?) 0 Вопрос id:748647 Наклонной асимптотой графика функции является прямая …?) ?) ?) ?) график не имеет наклонных асимптот Вопрос id:748648 Ненулевая функция равен…?) ![]() ?) ![]() ?) 0 ?) ![]() Вопрос id:748649 Область определения функции ?) ?) ?) ?) Вопрос id:748650 Общее геометрическое содержание теорем Роля, Лагранжа, Коши ?) на кривой найдется точка, в которой касательная параллельна хорде, стягивающей концы кривой ?) касательная в некоторой точке кривой параллельна оси OX ?) между двумя корнями функции лежит корень производной ?) касательная всегда параллельна хорде Вопрос id:748651 Общий член последовательности ?) ?) ?) ?) Вопрос id:748652 Первообразными функции ?) ?) ?) ?) ?) Вопрос id:748653 Поставьте в соответствие функцию и ее производную
Вопрос id:748654 Поставьте в соответствие функцию и ее четность
Вопрос id:748655 Поставьте в соответствие функцию и ее четность
Вопрос id:748656 Поставьте в соответствие функцию и ее четность
Вопрос id:748657 Поставьте в соответствие функцию и ее четность
Вопрос id:748658 Производная второго порядка функции ?) ?) ?) ?) ![]() Вопрос id:748659 Производная произведения ?) ?) ?) ?) Вопрос id:748660 Производная функции ?) ?) ?) ?) 1 Вопрос id:748661 Производная функции ?) ?) ?) 2x ?) Вопрос id:748662 Пусть
Вопрос id:748663 Стационарные точки функции ?) ?) ?) ?) Вопрос id:748664 Укажите соответствие между поведением функции и поведением её первой производной при переходе
Вопрос id:748665 Укажите соответствие между функцией и ее областью значений
Вопрос id:748666 Укажите соответствие между функцией и ее областью определения
Вопрос id:748667 Уравнение касательной к графику функции ?) ?) ?) ?) Вопрос id:748668 Уравнение касательной к графику функции ?) ?) у = 4х – 1 ?) ?) Вопрос id:748669 Установите соответствие между графиком функции и характером точки
Вопрос id:748670 Установите соответствие между графиком функции и характером точки
Вопрос id:748671 Установите соответствие между графиком функции и характером точки
Вопрос id:748672 Установите соответствие между графиком функции и характером точки
Вопрос id:748673 Установите соответствие между графиком функции и характером точки
Вопрос id:748674 Установите соответствие между функцией и ее производной
Вопрос id:748675 Установите соответствие между функциями и вертикальными асимптотами для их графиков
Вопрос id:748676 Установите соответствие между функциями и их производными
Вопрос id:748677 Установите соответствие между функциями и их производными второго порядка
Вопрос id:748678 Установите соответствие между функциями и наклонными (горизонтальными) асимптотами для их графиков
Вопрос id:748679 Установите соответствие между функциями и наклонными (горизонтальными) асимптотами для их графиков
Вопрос id:748680 Функцией, производная второго порядка которой равна ?) ?) ?) ?) Вопрос id:748681 Функция Правильными утверждениями являются…?) при любом значении ?) уравнение ?) на отрезке ?) множеством значений функции Вопрос id:748682 Функция Правильными утверждениями являются…?) уравнение ?) множеством значений функции ?) при любом значении ?) на отрезке Вопрос id:748683 Функция Правильными утверждениями являются…?) при любом значении ?) множеством значений функции ?) среди значений функции ?) функция Вопрос id:748684 Функция ?) (1, 2) ?) (-1, 0) ?) (0, -5) ?) (-4, 27) Вопрос id:748685 Функция ?) (-1, 1) ?) (0, -1) ?) (1, 3) ?) (-2, 3) Вопрос id:748686 Функция ?) (-1, 6) ?) (1, -2) ?) (3, -26) ?) (0, 1) Вопрос id:748687 Функция Вопрос id:748688 Функция Вопрос id:748689 Функция Вопрос id:748690 Функция Вопрос id:748691 Функция Вопрос id:748692 Функция Вопрос id:748693 Функция Вопрос id:748694 Число ?) значения х лежат в ?) выполняется неравенство ?) значения x лежат в интервале ?) какое бы (сколь угодно малое) число Вопрос id:748695 Число, равное наибольшему значению функции ?) 3, ?) 7, ?) 10, ?) |
Copyright tests.ithead.ru 2013-2026
является прямая …
равен…





























Правильными утверждениями являются…
Правильными утверждениями являются…
Правильными утверждениями являются…