Список вопросов базы знанийГеометрия (11 класс)Вопрос id:862531 ___ фигуры называется такое отображение, при котором все ее точки смещаются в одном и том же направлении на равные расстояния, т.е. при переносе каждым двум точкам X и Y фигуры сопоставляются такие точки X' и Y', что
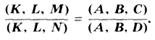
?) Проектированием ?) Композицией ?) Движением ?) Параллельным переносом Вопрос id:862532 Верны ли утверждения? А) Аффинные преобразования переводят прямые в прямые, а плоскости в плоскости В) Аффинные отображения не сохраняют линейные соотношения между векторами Подберите правильный ответ ?) А - нет, В - да ?) А - да, В - да ?) А - да, В - нет ?) А - нет, В - нет Вопрос id:862533 Верны ли утверждения? А) Аффинные преобразования сохраняют отношения коллинеарных отрезков В) При аффинных преобразованиях середины отрезков переходят в середины отрезков, а медианы треугольников - в медианы образов этих треугольников Подберите правильный ответ ?) А- нет, В- да ?) А- нет, В- нет ?) А- да, В- да ?) А- да, В- нет Вопрос id:862534 Верны ли утверждения? А) В аффинных координатах прямая на плоскости и плоскость в пространстве задаются линейными уравнениями В) Аффинные преобразования не сохраняют параллельность прямых и плоскостей Подберите правильный ответ ?) А - нет, В - нет ?) А - нет, В - да ?) А - да, В - да ?) А - да, В - нет Вопрос id:862536 Верны ли утверждения? А) Винтовое движение слагается из равномерного движения вдоль прямой и равномерного вращения вокруг прямой, причем движущаяся точка остается на постоянном расстоянии от этой прямой В) Прямая, вокруг которой осуществляется винтовое движение, называется осью винтового движения и соответственно осью винтовой линии Подберите правильный ответ ?) А - нет, В - нет ?) А - нет, В - да ?) А - да, В - нет ?) А - да, В - да Вопрос id:862537 Верны ли утверждения? А) Две фигуры называются симметричными относительно точки О, если они состоят из попарно симметричных точек, т.е. если для каждой точки одной фигуры есть симметричная ей относительно точки О точка в другой фигуре и обратно В) Фигура не может быть симметрична сама себе относительно некоторой точки О Подберите правильный ответ ?) А - да, В - да ?) А - нет, В - да ?) А - нет, В - нет ?) А - да, В - нет Вопрос id:862538 Верны ли утверждения? А) Движение - это отображение, сохраняющее расстояния В) Тождественное отображение является движением Подберите правильный ответ ?) А - нет, В - да ?) А - нет, В - нет ?) А - да, В - нет ?) А - да, В - да Вопрос id:862539 Верны ли утверждения? А) Движение взаимно однозначно В) Движение необратимо Подберите правильный ответ ?) А - нет, В - да ?) А - нет, В - нет ?) А - да, В - да ?) А - да, В - нет Вопрос id:862540 Верны ли утверждения? А) Движение, при котором все точки некоторой плоскости неподвижны, является отражением в этой плоскости или тождественным отображением В) Отражение в плоскости задается указанием одной пары соответствующих точек, не лежащих в плоскости симметрии: плоскость симметрии проходит через середину отрезка, соединяющего эти точки, перпендикулярно к нему Подберите правильный ответ ?) А - да, В - нет ?) А - нет, В - да ?) А - нет, В - нет ?) А - да, В - да Вопрос id:862541 Верны ли утверждения? А) Движения первого рода могут быть реализованы непрерывными движениями В) Движения второго рода не могут быть реализованы непрерывными движениями Подберите правильный ответ ?) А - да, В - нет ?) А - нет, В - да ?) А - да, В - да ?) А - нет, В - нет Вопрос id:862542 Верны ли утверждения? А) Движения преобразуют прямоугольные системы в прямоугольные В) Движение является частным случаем аффинного преобразования Подберите правильный ответ ?) А - да, В - да ?) А - да, В - нет ?) А - нет, В - да ?) А - нет, В - нет Вопрос id:862543 Верны ли утверждения? А) Если А' симметрична А, то А симметрична А' относительно того же центра В) Центральная симметрия сохраняет расстояния и направления Подберите правильный ответ ?) А - нет, В - нет ?) А - нет, В - да ?) А - да, В - нет ?) А - да, В - да Вопрос id:862544 Верны ли утверждения? А) Если движение пространства имеет три неподвижные точки А, В, С, не лежащие на одной прямой, то все точки плоскости ABC неподвижны В) Если движение имеет четыре неподвижные точки, не лежащие в одной плоскости, то множеством неподвижных точек движения пространства является все пространство Подберите правильный ответ ?) А - нет, В - нет ?) А - да, В - нет ?) А - нет, В - да ?) А - да, В - да Вопрос id:862545 Верны ли утверждения? А) Если движения совмещают фигуру саму с собой, то их композиция (в любом порядке) тоже совмещает эту фигуру саму с собой В) Если какое-то движение совмещает фигуру саму с собой, то обратное движение тоже совмещает фигуру саму с собой Подберите правильный ответ ?) А - нет, В - нет ?) А - да, В - нет ?) А - нет, В - да ?) А - да, В - да Вопрос id:862546 Верны ли утверждения? А) Зеркальный поворот любой фигуры распространяется на все пространство В) Отражение в плоскости можно рассматривать как частный случай зеркального поворота - с нулевым углом поворота Подберите правильный ответ ?) А - да, В - нет ?) А - да, В - да ?) А - нет, В - да ?) А - нет, В - нет Вопрос id:862547 Верны ли утверждения? А) Зеркальный поворот не является движением В) Для зеркального поворота безразличен порядок составляющих его движений Подберите правильный ответ ?) А - да, В - да ?) А - нет, В - да ?) А - да, В - нет ?) А - нет, В - нет Вопрос id:862548 Верны ли утверждения? А) Каждое аффинное преобразование плоскости представимо в виде композиции движения и сжатий к двум взаимно перпендикулярным прямым В) Каждое аффинное преобразование пространства представимо в виде композиции движения и сжатий к трем взаимно перпендикулярным плоскостям Подберите правильный ответ ?) А - нет, В - да ?) А - да, В - да ?) А - да, В - нет ?) А - нет, В - нет Вопрос id:862549 Верны ли утверждения? А) Каждый вектор определяет перенос и обратно: каждому переносу соответствует вектор В) Сложение векторов соответствует композиции переносов Подберите правильный ответ ?) А - нет, В - нет ?) А - да, В - нет ?) А - нет, В - да ?) А - да, В - да Вопрос id:862551 Верны ли утверждения? А) Каждым двум точкам инцидентна единственная прямая В) Каждым двум прямым инцидентна единственная точка Подберите правильный ответ ?) А - нет, В - нет ?) А - нет, В - да ?) А - да, В - нет ?) А - да, В - да Вопрос id:862553 Верны ли утверждения? А) Композиция двух зеркальных поворотов с общей осью и общей плоскостью отражения представляет собой поворот вокруг этой же оси на суммарный угол В) Композиция зеркального поворота с поворотом вокруг той же оси представляет собой зеркальный поворот с той же осью и той же плоскостью отражения и с суммарным углом Подберите правильный ответ ?) А - да, В - нет ?) А - нет, В - да ?) А - да, В - да ?) А - нет, В - нет Вопрос id:862555 Верны ли утверждения? А) Композиция четного числа движений второго рода есть движение первого рода В) Композиция нечетного числа движений второго рода есть движение второго рода Подберите правильный ответ ?) А - да, В - да ?) А - нет, В - нет ?) А - нет, В - да ?) А - да, В - нет Вопрос id:862557 Верны ли утверждения? А) Множество точек X', соответствующих точкам фигуры М, при отображении f называется образом фигуры М и обозначается М' = f(М) В) Отображение может сопоставлять одну и ту же точку разным точкам Подберите правильный ответ ?) А - да, В - нет ?) А - да, В - да ?) А - нет, В - нет ?) А - нет, В - да Вопрос id:862559 Верны ли утверждения? А) На евклидовой плоскости через каждые две точки проходит прямая, и притом только одна В) На евклидовой плоскости каждые две прямые пересекаются в некоторой точке Подберите правильный ответ ?) А - нет, В - нет ?) А - да, В - да ?) А - да, В - нет ?) А - нет, В - да Вопрос id:862561 Верны ли утверждения? А) На проективной плоскости через каждые две точки проходит прямая, и притом только одна В) На проективной плоскости каждые две прямые пересекаются в некоторой точке Подберите правильный ответ ?) А - нет, В - да ?) А - да, В - да ?) А - нет, В - нет ?) А - да, В - нет Вопрос id:862563 Верны ли утверждения? А) Направление поворота вокруг прямой можно задать на любой из плоскостей, перпендикулярных оси В) Если движение пространства имеет множеством своих неподвижных точек прямую, то оно является поворотом вокруг этой прямой Подберите правильный ответ ?) А - нет, В - да ?) А - нет, В - нет ?) А - да, В - нет ?) А - да, В - да Вопрос id:862565 Верны ли утверждения? А) Образом прямой при движении является луч В) Образом луча при движении является отрезок Подберите правильный ответ ?) А - да, В - да ?) А - да, В - нет ?) А - нет, В - да ?) А - нет, В - нет Вопрос id:862566 Верны ли утверждения? А) Обратимое преобразование плоскости (пространства) является ее (его) аффинным преобразованием тогда и только тогда, когда оно переводит прямые (плоскости) в прямые (плоскости) В) Композиция аффинных преобразований плоскости (пространства) является аффинным преобразованием плоскости (пространства) Подберите правильный ответ ?) А - да, В - нет ?) А - нет, В - нет ?) А - нет, В - да ?) А - да, В - да Вопрос id:862568 Верны ли утверждения? А) Отображение, обратное аффинному, не является аффинным В) Прямоугольные (декартовы) системы координат являются частными случаями аффинных систем Подберите правильный ответ ?) А - да, В - да ?) А - да, В - нет ?) А - нет, В - нет ?) А - нет, В - да Вопрос id:862569 Верны ли утверждения? А) Отображение, обратное для движения, само является движением В) Композиция движений есть движение Подберите правильный ответ ?) А - да, В - да ?) А - нет, В - да ?) А - да, В - нет ?) А - нет, В - нет Вопрос id:862570 Верны ли утверждения? А) Отображение, обратное отражению в плоскости всего пространства, есть оно само В) Отражение в плоскости не сохраняет расстояния и, стало быть, не является движением Подберите правильный ответ ?) А - да, В - да ?) А - да, В - нет ?) А - нет, В - нет ?) А - нет, В - да Вопрос id:862571 Верны ли утверждения? А) Параллельное проектирование f плоскости α на плоскость b – это частный случай ортогонального проектирования В) Сдвиг вдоль оси х является примером аффинного преобразования плоскости Подберите правильный ответ ?) А - нет, В - нет ?) А - да, В - да ?) А - нет, В - да ?) А - да, В - нет Вопрос id:862572 Верны ли утверждения? А) Параллельный перенос есть движение, сохраняющее направления В) Движение, сохраняющее направления, есть параллельный перенос Подберите правильный ответ ?) А - да, В - да ?) А - да, В - нет ?) А - нет, В - нет ?) А - нет, В - да Вопрос id:862573 Верны ли утверждения? А) Поворот вокруг прямой сохраняет расстояния, т.е. является движением В) Поворот задается осью, углом и направлением поворота Подберите правильный ответ ?) А - да, В - да ?) А - да, В - нет ?) А - нет, В - нет ?) А - нет, В - да Вопрос id:862574 Верны ли утверждения? А) Подобие не является частным случаем аффинного преобразования В) Примером аффинного отображения плоскости является параллельное проектирование плоскости на плоскость Подберите правильный ответ ?) А - нет, В - нет ?) А - да, В - нет ?) А - нет, В - да ?) А - да, В - да Вопрос id:862575 Верны ли утверждения? А) Порядок, в котором при скользящем отражении производится отражение и перенос, безразличен В) Композиция переноса и отражения в плоскости, перпендикулярной вектору переноса, есть отражение в некоторой плоскости, параллельной данной Подберите правильный ответ ?) А - да, В - нет ?) А - нет, В - да ?) А - нет, В - нет ?) А - да, В - да Вопрос id:862576 Верны ли утверждения? А) Преобразования проективной прямой, сохраняющие сложное отношение любой четверки точек, являются проективными преобразованиями В) Для любых двух троек различных точек А, В, С и А', В', С' прямой существует единственное обратимое преобразование f этой прямой, которое сохраняет сложное отношение четырех точек Подберите правильный ответ ?) А - нет, В - да ?) А - да, В - нет ?) А - нет, В - нет ?) А - да, В - да Вопрос id:862577 Верны ли утверждения? А) При аффинных преобразованиях отрезки переходят в отрезки, треугольники - в треугольники, тетраэдры - в тетраэдры В) Аффинные преобразования не сохраняют выпуклость фигур Подберите правильный ответ ?) А - нет, В - нет ?) А - да, В - нет ?) А - нет, В - да ?) А - да, В - да Вопрос id:862578 Верны ли утверждения? А) При движении двугранные углы сохраняются, т.е. всякий двугранный угол отображается на двугранный угол той же величины В) Каждое движение любой фигуры может быть распространено на любую объемлющую ее фигуру и, в частности, на все пространство Подберите правильный ответ ?) А - нет, В - да ?) А - да, В - да ?) А - нет, В - нет ?) А - да, В - нет Вопрос id:862579 Верны ли утверждения? А) При движении образом полупространства является полупространство В) При движении углы сохраняются, т.е. всякий угол отображается на угол того же вида и той же величины Подберите правильный ответ ?) А - нет, В - да ?) А - нет, В - нет ?) А - да, В - нет ?) А - да, В - да Вопрос id:862580 Верны ли утверждения? А) При движении образом тетраэдра является тетраэдр В) При движении образом пространства является полупространство Подберите правильный ответ ?) А - нет, В - нет ?) А - да, В - да ?) А - нет, В - да ?) А - да, В - нет Вопрос id:862581 Верны ли утверждения? А) При движении образом треугольника является равный ему треугольник, образом полуплоскости - полуплоскость В) Образом плоскости при движении является плоскость, причем параллельные плоскости отображаются на параллельные плоскости Подберите правильный ответ ?) А - да, В - нет ?) А - нет, В - нет ?) А - нет, В - да ?) А - да, В - да Вопрос id:862582 Верны ли утверждения? А) При движении три точки, лежащие на прямой, переходят в три точки, лежащие на прямой, причем точка, лежащая между двумя другими, переходит в точку, лежащую между образами двух других точек В) Образом отрезка при движении является отрезок Подберите правильный ответ ?) А - нет, В - нет ?) А - нет, В - да ?) А - да, В - да ?) А - да, В - нет Вопрос id:862583 Верны ли утверждения? А) Пусть на прямых p и q задано по тройке точек: А, В, С на прямой p и А', В', С' на прямой q. Тогда композицией двух центральных проектирований тройку А, В, С можно перевести в тройку А', В', С' В) Если на прямой р заданы две тройки точек А, В, С и А', В', С', то существует единственное проективное преобразование f прямой р, такое, что f(A) = A', f(B) = B', f(C) = C' Подберите правильный ответ ?) А - да, В - да ?) А - нет, В - нет ?) А - нет, В - да ?) А - да, В - нет Вопрос id:862584 Верны ли утверждения? А) Точки А и А' называются симметричными относительно плоскости α, если отрезок АА' перпендикулярен этой плоскости и делится ею пополам В) Любая точка плоскости α считается симметричной самой себе относительно этой плоскости Подберите правильный ответ ?) А - нет, В - да ?) А - нет, В - нет ?) А - да, В - нет ?) А - да, В - да Вопрос id:862585 Верны ли утверждения? А) Центральная симметрия является движением, изменяющим направления на противоположные В) Движение, изменяющее направления на противоположные, есть центральная симметрия Подберите правильный ответ ?) А - нет, В - нет ?) А - да, В - нет ?) А - нет, В - да ?) А - да, В - да Вопрос id:862586 Верны ли утверждения? А) Центральное проектирование не сохраняет отношение двух коллинеарных отрезков, т. е. простое отношение трех коллинеарных точек В) Если четыре различные точки К, L, М, N прямой q получены центральным проектированием из точки О соответственно точек А, В, С, D прямой, то Подберите правильный ответ ?) А - да, В - да ?) А - да, В - нет ?) А - нет, В - нет ?) А - нет, В - да Вопрос id:862587 Верны ли утверждения? А) Через любые две пересекающиеся прямые проходит плоскость, и притом только одна В) Две плоскости, имеющие общую точку, пересекаются по прямой Подберите правильный ответ ?) А - нет, В - да ?) А - да, В - да ?) А - да, В - нет ?) А - нет, В - нет Вопрос id:862588 ___ точкой отображения j называется такая точка А отображения j, что j(А) = А ?) Переменной ?) Реальной ?) Неподвижной ?) Образующей Вопрос id:862589 ___ называется операция последовательного отображения, и результирующее отображение ?) Поворотом ?) Композицией ?) Тождественным преобразованием ?) Движением Вопрос id:862614 ___ отношением тройки коллинеарных точек А, В, С при условии, что А В и В С, называется отношение длин направленных отрезков и , взятое со знаком «плюс», если ![]() ![]() , и со знаком «минус», если ![]() ![]() ![]() ?) Проективным ?) Аффинным ?) Простым ?) Сложным |


В и В
С, называется отношение
длин направленных отрезков
и
, взятое со знаком «плюс», если 

, и со знаком «минус», если 

