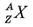
Список вопросов базы знанийФизика (9 кл.)Вопрос id:978020 Произошла следующая ядерная реакция
?) X = 9; Y = 18 ?) X = 10; Y = 19 ?) X = 4; Y = 9 ?) X = 8; Y = 17 Вопрос id:978021 Верны ли утверждения? А) При α-распаде массовое число ядра увеличивается на 4 единицы В) При α-распаде зарядовое число ядра уменьшается на 2 единицы Подберите правильный ответ ?) А - нет, В - да ?) А - да, В - нет ?) А - нет, В - нет ?) А - да, В - да Вопрос id:978022 Верны ли утверждения? А) При β-распаде ядра его массовое число не изменяется В) При β-распаде одного химического элемента образуется другой элемент, который расположен в таблице Д.И.Менделеева в следующей клетке за исходным Подберите правильный ответ ?) А - да, В - нет ?) А - да, В - да ?) А - нет, В - да ?) А - нет, В - нет Вопрос id:978023 Верны ли утверждения? А) Радиоактивное γ-излучение – это электромагнитные волны большой частоты. В) Радиоактивное α-излучение – это поток электронов. Подберите правильный ответ ?) А - да, В - нет ?) А - нет, В - нет ?) А - да, В - да ?) А - нет, В - да Вопрос id:978024 Верны ли утверждения? А) В состав ядра дейтерия ( В) Изотопы – это разновидности данного химического элемента, различающиеся по массе атомных ядер Подберите правильный ответ ?) А - да, В - нет ?) А - нет, В - нет ?) А - да, В - да ?) А - нет, В - да Вопрос id:978025 Верны ли утверждения? А) Камера Вильсона позволяет регистрировать траектории быстрых частиц В) Планетарная модель атома предложена Э.Резерфордом Подберите правильный ответ ?) А - да, В - да ?) А - нет, В - да ?) А - да, В - нет ?) А - нет, В - нет Вопрос id:978026 Верны ли утверждения? А) Число электронов в атоме равно числу протонов в ядре атома В) Ядра атомов изотопов содержат одинаковое число протонов Подберите правильный ответ ?) А - да, В - нет ?) А - нет, В - нет ?) А - да, В - да ?) А - нет, В - да Вопрос id:978027 Верны ли утверждения? А) Радиоактивное β- излучение – это поток электронов В) Открытие радиоактивности принадлежит Э. Резерфорду Подберите правильный ответ ?) А - нет, В - да ?) А - нет, В - нет ?) А - да, В - нет ?) А - да, В - да Вопрос id:978028 Верны ли утверждения? А) Открытие нейтрона принадлежит английскому ученому Джеймсу Чедвику В) Правило смещения для α- и β-распада сформулировал английский физик Фредерик Содди Подберите правильный ответ ?) А - нет, В - да ?) А - да, В - нет ?) А - нет, В - нет ?) А - да, В - да Вопрос id:978029 Выберите правильное утверждение. А) α-частица имеет положительный заряд В) Если β- частица является электроном, то она имеет отрицательный заряд ?) А - нет, В - да ?) А - нет, В - нет ?) А - да, В - нет ?) А - да, В - да Вопрос id:978030 На рисунке изображены схемы четырех атомов. Черными точками обозначены электроны. Атому
?) 3 ?) 2 ?) 4 ?) 1 Вопрос id:978031 На рисунке изображены схемы четырех атомов. Черными точками обозначены электроны. Атому
?) 3 ?) 4 ?) 2 ?) 1 Вопрос id:978032 При изучении строения атома в рамках модели Резерфорда моделью ядра служит___ ?) отрицательно заряженное тело, малых по сравнению с атомом размеров ?) положительно заряженное тело, малых по сравнению с атомом размеров ?) положительно заряженный шар с вкраплениями электронов ?) электрически нейтральный шар Вопрос id:978033 Радиоактивное β- излучение – это___ ?) вторичное радиоактивное излучение при начале цепной реакции ?) поток нейтронов, образующихся в цепной реакции ?) поток электронов ?) электромагнитные волны Вопрос id:978034 В опыте Резерфорда большая часть α-частиц свободно проходит сквозь фольгу, практически не отклоняясь от прямолинейных траектории, потому что___ ?) α-частицы имеют большую (по сравнению с ядрами атомов) массу ?) ядро атома имеет положительный заряд ?) ядро атома имеет малые (по сравнению с атомом) размеры ?) электроны имеют отрицательный заряд Вопрос id:978035 В результате бомбардировки изотопа лития ядрами дейтерия образуется изотоп бериллия: При этом испускается частица___?) Нейтрон ![]() ?) α-частица ![]() ?) Протон ![]() ?) Электрон ![]() Вопрос id:978036 В состав ядра изотопа водорода трития Н входят ___ нуклона?) четыре ?) три ?) две ?) одна Вопрос id:978037 В состав ядра олово входят ___?) 110 протонов и 50 нейтронов ?) 50 протонов и 60 нейтронов ?) 60 протонов и 50 нейтронов ?) 50 протонов и 110 нейтронов Вопрос id:978038 В ходе реакции термоядерного синтеза образуется частица___?) протон ![]() ?) нейтрон ![]() ?) электрон ![]() ?) α-частица ![]() Вопрос id:978039 В ядре атома тория содержится ___нуклона?) 90 ?) 232 ?) 322 ?) 142 Вопрос id:978040 В ядре элемента содержится___?) 146 протонов, 92 нейтрона ?) 92 протона, 146 нейтронов ?) 92 протона, 238 нейтронов ?) 238 протонов, 92 нейтрона Вопрос id:978041 Вторым продуктом ядерной реакции является ___?) ![]() ?) ![]() ?) ![]() ?) ![]() Вопрос id:978042 Изотоп ксенона после спонтанного α-распада превратился в изотоп___?) ![]() ?) ![]() ?) ![]() ?) ![]() Вопрос id:978044 Модель атома Резерфорда описывает атом как___ ?) положительно заряженное малое ядро, вокруг которого движутся электроны ?) сплошной однородный положительно заряженный шар с вкраплениями электронов ?) шар из протонов, окруженный слоем электронов ?) однородное электрически нейтральное тело очень малого размера Вопрос id:978045 Открытие протона принадлежит___ ?) Э.Резерфорду ?) А.Эйнштейну ?) А.Беккерелю ?) Д.Томсону Вопрос id:978046 Планетарная модель атома обоснована___ ?) фотографиями атомов в микроскопе ?) опытами по рассеянию α - частиц ?) опытами по электризации ?) расчетами движения небесных тел Вопрос id:978047 Планетарная модель атома предложена Э.Резерфордом и обоснована___ ?) фотографиями атомов в микроскопе ?) опытами по рассеянию α-частиц ?) опытами по электризации ?) расчетами движения небесных тел Вопрос id:978048 По данным таблицы химических элементов Д.И.Менделеева число нейтронов в ядре изотопа урана равно___?) 330 ?) 146 ?) 92 ?) 238 Вопрос id:978049 При α-распаде массовое число ядра___ ?) увеличивается на 2 единицы ?) увеличивается на 4 единицы ?) уменьшается на 2 единицы ?) уменьшается на 4 единицы Вопрос id:978050 При β- распаде (отрицательном) ядра его зарядовое число ___ ?) уменьшается на 1 единицу ?) увеличивается на 2 единицы ?) не изменяется ?) увеличивается на 1 единицу Вопрос id:978051 Радиоактивное α-излучение – это___ ?) поток ядер гелия ?) электромагнитные волны большой частоты ?) поток электронов ?) поток протонов Вопрос id:978052 Радиоактивное γ-из лучение – это___ ?) поток ядер гелия ?) поток протонов ?) электромагнитные волны большой частоты ?) поток электронов Вопрос id:978053 Радиоактивный изотоп нептуния р испытал один α-распад. Массовое число нового изотопа равно___?) 91 ?) 97 ?) 235 ?) 233 Вопрос id:978054 Суммарный заряд протонов в ядре нейтрального атома___ ?) положительный и равен по модулю суммарному заряду электронов ?) отрицательный и равен по модулю суммарному заряду электронов ?) может быть положительным или отрицательным, но равным по модулю суммарному заряду электронов ?) положительный и всегда больше по модулю суммарного заряда электронов Вопрос id:978055 Счетчик Гейгера фиксирует___ ?) число частиц ?) заряд частиц ?) массу частиц ?) скорости частиц Вопрос id:978056 Устройство, в котором обнаружение треков быстрых частиц осуществляется за счет возникновения пузырьков пара в перегретой жидкости, называется___ ?) пузырьковая камера ?) толстослойная фотоэмульсия ?) счетчик Гейгера ?) камера Вильсона Вопрос id:978057 Число электронов в атоме равно___ ?) числу нейтронов в ядре ?) числу протонов в ядре ?) разности между числом протонов и нейтронов ?) сумме протонов и нейтронов в ядре Вопрос id:978058 Элемент испытал α-распад. Новый элемент Y будет иметь заряд и массовое число ___?) ![]() ?) ![]() ?) ![]() ?) ![]() Вопрос id:978059 Элемент, который образуется в результате β-распада ядра элемента с порядковым номером Z в таблице Менделеева имеет порядковый номер___ ?) Z + 1 ?) Z – 2 ?) Z – 1 ?) Z + 2 Вопрос id:978060 Ядерную реакцию вызывает частица ___?) нейтрон ![]() ?) электрон ![]() ?) α-частица ![]() ?) протон ![]() Вопрос id:978061 Ядро изотопа золота претерпевает β-распад. В результате получается изотоп___?) ![]() ?) ![]() ?) ![]() ?) ![]() Вопрос id:978062 Ядро изотопа золота претерпевает β-распад. Заряд ядра у получившегося элемента равен___?) 80 ?) 78 ?) 81 ?) 77 Вопрос id:978063 Ядро изотопа нептуния , испытав серию α- и β-распадов, превратилось в ядро висмута . Число α-распадов равно ___?) 12 ?) 5 ?) 10 ?) 6 Вопрос id:978064 Ядро изотопа полония испускает альфа-частицу. В ядре образовавшейся частицы остается ___ протонов?) 206 ?) 84 ?) 204 ?) 82 Вопрос id:978065 Ядро стронция претерпело бета-распад (отрицательный). Число нейтронов в ядре образовавшегося элемента равно___?) 36 ?) 39 ?) 37 ?) 40 Вопрос id:978066 Ядро урана испытало один α- и два β-распада. Заряд Z и массовое число А нового элемента равны ___--?) Z = 238; А = 90 ?) Z = 234; А = 94 ?) Z = 234; А = 90 ?) Z = 234; A = 92 Вопрос id:978067 Амплитуда установившихся колебаний, вызванных вынуждающей силой, достигает ___значения при совпадении частоты изменения этой силы с собственной частотой колебательной системы ?) произвольного ?) промежуточного ?) наибольшего ?) минимального Вопрос id:978068 Бегущая волна любой природы, распространяясь в пространстве, переносит ?) смещение ?) вещество ?) разряжение ?) энергию Вопрос id:978069 В гитаре, скрипке и других подобных им струнных инструментах для усиления звука служит ?) гриф ?) резонатор ?) смычок ?) струны Вопрос id:978070 В Земной коре могут распространяться ___ волны ?) тепловые ?) поперечные ?) красные ?) стоячие |
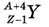
Зарядовое (X) и массовое (Y) числа кислорода равны___
Н) входят две частицы: протон и нейтрон
соответствует схема___
соответствует схема___
ядрами дейтерия образуется изотоп бериллия:
При этом испускается частица___



Н входят ___ нуклона
входят ___
образуется частица___



содержится ___нуклона
содержится___
является ___



после спонтанного α-распада превратился в изотоп___



равно___
р испытал один α-распад. Массовое число нового изотопа равно___
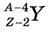
испытал α-распад. Новый элемент Y будет иметь заряд и массовое число ___



вызывает частица ___



претерпевает β-распад. В результате получается изотоп___



претерпевает β-распад. Заряд ядра у получившегося элемента равен___
, испытав серию α- и β-распадов, превратилось в ядро висмута
. Число α-распадов равно ___
испускает альфа-частицу. В ядре образовавшейся частицы остается ___ протонов
претерпело бета-распад (отрицательный). Число нейтронов в ядре образовавшегося элемента равно___
испытало один α- и два β-распада. Заряд Z и массовое число А нового элемента равны ___--