Тесты онлайн, бесплатный конструктор тестов. Психологические тестирования, тесты на проверку знаний.
Список вопросов базы знанийФизика (9 кл.)Вопрос id:978727 Установит соответствие
Вопрос id:978728 Установить соответствие
Вопрос id:978729 Установить соответствие
Вопрос id:978730 Установить соответствие
Вопрос id:978731 Установить соответствие
Вопрос id:978732 Установить соответствие
Вопрос id:978733 Установить соответствие
Вопрос id:978734 Установить соответствие
Вопрос id:978735 Установить соответствие
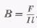
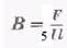
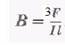
Вопрос id:978736 Формула для определения модуля магнитной индукции В, если известна сила F, которая действует на проводник с током, длиной , и величиной тока I, имеет вид?) ![]() ?) ![]() ?) ![]() ?) ![]() Вопрос id:978737 Частицы электромагнитного излучения называются ?) позитронами ?) квантами ?) электронами ?) фотонами Вопрос id:978738 Частота переменного электрического тока, вырабатываемого генератором переменного тока, зависит от ?) размеров ротора ?) величины станины ?) скорости вращения ротора ?) числа пар полюсов Вопрос id:978739 Чем ___ к полюсу магнита расположена магнитная стрелка, тем с ___ по модулю силой действует на нее поле магнита ?) дальше большей ?) ближе меньшей ?) ближе большей ?) дальше меньшей Вопрос id:978740 Чем ___ пар полюсов, тем больше частота переменного электрического тока, вырабатываемого генератором при данной скорости вращения ротора Вопрос id:978741 Чем ___ величина магнитная индукция в данной точке поля, тем с большей силой будет действовать поле в этой точке на магнитную стрелку Вопрос id:978742 Чем ___ меняется напряженность электрического поля, тем меньше индукция возникающего магнитного поля Вопрос id:978743 Чем ближе к ___ магнита расположена магнитная стрелка, тем с большей по модулю силой действует на нее поле магнита. Вопрос id:978744 Чем ближе к полюсу магнита расположена магнитная стрелка, тем с ___ по модулю силой действует на нее поле магнита Вопрос id:978745 Чем ближе к полюсу магнита расположена магнитная стрелка, тем с большей по модулю силой действует на нее ___ магнита ?) полюс ?) форма ?) поле ?) размеры Вопрос id:978746 Чем больше ___ , тем больше частота переменного электрического тока, вырабатываемого генератором при данной скорости вращения ротора ?) пар полюсов ?) контактов ?) роторов ?) проводов Вопрос id:978747 Чем больше величина магнитная индукция в данной точке поля, тем с ___ будет действовать поле в этой точке на движущийся электрический заряд. Вопрос id:978748 Чем быстрее меняется магнитная индукция, тем ___ напряженность образующегося электрического поля Вопрос id:978749 Чем быстрее меняется напряженность электрического поля, тем ___ индукция возникающего магнитного поля Вопрос id:978750 Чем медленнее меняется магнитная индукция, тем ___ напряженность образующегося электрического поля Вопрос id:978751 Чем меньше величина магнитная индукция в данной точке поля, тем с ___ будет действовать поле в этой точке на движущийся электрический заряд Вопрос id:978752 Чем меньше пар полюсов, тем ___ частота переменного электрического тока, вырабатываемого генератором при данной скорости вращения ротора Вопрос id:978753 Электрический ток в металлическом проводнике создается направленно движущимися вдоль проводника ___ заряженными электронами Вопрос id:978754 Электрический ток в проводнике протекает в том случае, если в проводнике существуют ?) атомы ?) молекулы ?) электрические заряженные частицы ?) электрическое поле Вопрос id:978755 Электрический ток в цепи катушки, замкнутой на гальванометр, существует при ___ магнита относительно катушки. Вопрос id:978756 Электрический ток, периодически меняющийся со временем по модулю и направлению, называется ?) постоянным ?) гальваническим ?) индукционным ?) переменным Вопрос id:978757 Электричество и магнетизм впервые связал в XIX веке ученый-физик ?) Майкл Фарадей ?) Андре Ампер ?) Джеймс Максвелл ?) Алессандро Вольта Вопрос id:978758 Электромагнитная волна является ___ волной ?) бегущей ?) продольной ?) плоской ?) поперечной Вопрос id:978759 Электромагнитные волны могут распространяться в ?) пространстве с бесконечной скоростью ?) вакууме ?) жидких телах ?) твердых телах Вопрос id:978760 Электромагнитные волны разделены по длинам волн на ___ основных диапазонов ?) двенадцать ?) восемь ?) шесть ?) десять Вопрос id:978761 Электромагнитные волны разных частот отличаются друг от друга по следующим свойствам ?) мягкость ?) скорость распространения в веществе ?) цветность ?) проникающая способность Вопрос id:978762 Электромагнитные волны распространяются в вакууме со скоростью ___ км/с ?) 3000 ?) 300 ?) 30 000 ?) 300 000 Вопрос id:978763 Электростатическое поле существует вокруг ___ заряженных тел ?) вращающихся ?) подвижных ?) движущихся ?) неподвижных Вопрос id:978764 Явление электромагнитной индукции было открыто в 1831 году ?) Майклом Фарадеем ?) Андре Ампером ?) Джеймсом Максвеллом ?) Исаак Ньютон Вопрос id:978765 Явление электромагнитной индукции лежит в основе технических устройств таких, как ?) электрические двигатели ?) генераторы электрической энергии ?) транзисторы ?) калькуляторы Вопрос id:978766 Явление электромагнитной индукции существует в течение процесса изменения ?) электрического тока ?) электрического напряжения ?) электрического поля ?) магнитного потока Вопрос id:978767 Явлением ___ называется возникновение электрического тока в замкнутом проводнике при всяком изменении магнитного потока, пронизывающего контур проводника ?) поляризации ?) электризации ?) интерференции ?) электромагнитной индукции Вопрос id:978768 Явлением электромагнитной индукции называется возникновение ___ в замкнутом проводнике при всяком изменении магнитного потока, пронизывающего контур замкнутого проводника ?) индукционного тока ?) электрического тока ?) электрического потенциала ?) электрической силы Вопрос id:978769 Автомобиль массой 1 т движется прямолинейно со скоростью 20 м/с. Импульс автомобиля равен ___Н·с ?) 2·104 ?) 104 ?) 0,5·103 ?) 2·105 Вопрос id:978770 Автомобиль на повороте движется по круговой траектории радиусом 50 м с постоянной по модулю скоростью 10 м/с, при этом ускорение автомобиля равно ___ м/с2 ?) 1 ?) 0 ?) 5 ?) 2 Вопрос id:978771 В гелиоцентрической системе отсчета движение небесных тел рассматривается относительно ?) Земли ?) Солнца ?) Луны ?) Полярной звезды Вопрос id:978772 В гелиоцентрической системе отсчета движение небесных тел рассматривается относительно Вопрос id:978773 В геоцентрической системе отсчета движение небесных тел рассматривается относительно ?) Полярной звезды ?) Луны ?) Земли ?) Солнца Вопрос id:978774 В двух инерциальных системах отсчета, движущихся относительно друг друга, в определенный момент времени скорости тела ?) разные, ускорения одинаковы ?) одинаковы, ускорения разные ?) разные, ускорения разные ?) одинаковы, ускорения одинаковы Вопрос id:978775 В инерциальной системе отсчета сила F сообщает телу массой m ускорение а. При уменьшении массы тела вдвое и увеличении его ускорения в 4 раза, необходимо силу ?) уменьшить в 2 раз ?) увеличить в 4 раза ?) оставить неизменной ?) увеличить в 2 раза Вопрос id:978776 В конце XVII в. сформулировал закон инерции ученый ?) Исаак Ньютон ?) Галилео Галилей ?) Иван Кавендыш ?) Михаил Ломоносов |
Copyright tests.ithead.ru 2013-2026





, и величиной тока I, имеет вид


