Тесты онлайн, бесплатный конструктор тестов. Психологические тестирования, тесты на проверку знаний.
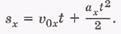
Список вопросов базы знанийФизика (9 кл.)Вопрос id:978827 Из перечисленных величин, векторными являются ?) масса ?) сила ?) ускорение ?) скорость Вопрос id:978828 Изменение положения тела в пространстве относительно других тел, происходящее с течением времени, называют движением Вопрос id:978829 Изменение положения тела относительно другого тела с течением времени называют ?) траекторией ?) тепловым движением ?) механическим движением ?) пройденным путем Вопрос id:978830 Изменение скорости движения тела происходит ?) без действия на него другого тела ?) после действия на него другого тела ?) пока действует на него другое тело ?) после остановки Вопрос id:978831 Импульс оболочки ракеты и направленный противоположно ему импульс струи газа ?) импульс оболочки меньше ?) равны друг другу по модулю ?) импульс оболочки больше ?) не равны друг другу по модулю. Вопрос id:978832 Импульсом тела называется величина, равная произведению массы тела на его?) скорость ?) ускорение ?) пройденный путь ?) плотность Вопрос id:978833 Инерциальными можно считать системы отсчета, связанные с любым телом, которое относительно поверхности земли ?) движется равномерно и прямолинейно ?) движется равноускоренно ?) движется равнозамедленно ?) покоится Вопрос id:978834 Конькобежец, который бросает камень со скоростью 40 м/с и откатывается назад со скоростью 0,4 м/с, имеет собственную массу больше массы камня в ___ раз ?) 10 ?) 16 ?) 100 ?) 160 Вопрос id:978835 Линия, которую описывает тело при своем движении, называют ?) механическим движением ?) окружностью ?) траекторией ?) пройденным путем Вопрос id:978836 Луна и Земля взаимодействуют гравитационными силами. Соотношение между модулями сил F1, действия Земли на Луну и F2 действия Луны на Землю ?) F1>F2 ?) F1»F2 ?) F1<F2 ?) F1 = F2 Вопрос id:978837 Материальная точка двигалась по прямой под действием единственной силы в 20Н и изменила свой импульс на 40 кгм/с за время, равное ___с ?) 5 ?) 2 ?) 0,2 ?) 0,5 Вопрос id:978838 Материальная точка массой m равномерно движется по окружности радиуса R со скоростью V. Чему равен модуль изменения импульса за половину периода? ?) 0 ?) 2 mv ?) mv ?) 2 mv/R Вопрос id:978839 Мгновенная скорость тела в любой точке криволинейной траектории направлена по ?) касательной в этой точке ?) вертикальной линии в этой точке ?) радиусу, направленному в эту точку ?) по дуге окружности Вопрос id:978840 Модуль вектора центростремительного ускорения определяется по формуле ?) ![]() ?) ![]() ?) ![]() ?) ![]() Вопрос id:978841 На космонавта, находящегося на поверхности Земли, действует сила тяготения, равная 720 Н. На того же космонавта, находящегося в кабине орбитальной станции, которая обращается на расстоянии двух радиусов Земли от ее поверхности, действует сила тяготения, равная ?) 180 Н ?) 80 Н ?) 360 Н ?) 0 Вопрос id:978842 На тело массы m со стороны Земли, масса которой М, действует сила mg. На Землю со стороны этого тела действует сила, равная ?) 0 ?) - mg ?) mg ?) Мg Вопрос id:978843 На тело, находящееся внутри искусственного спутника Земли ?) действует сила притяжения к Земле ?) не действуют сила притяжения ?) действует сила отталкивания ?) действует сила Архимеда Вопрос id:978844 Направление вектора импульса тела всегда совпадает с направлением вектора ?) перемещения ?) скорости движения ?) тангенциального ускорения ?) центростремительного ускорения Вопрос id:978845 Начальная скорость, полученная телом при броске, определяет ?) скорость ?) время подъема ?) высоту подъема ?) ускорение Вопрос id:978846 Основными единицами длины и времени в СИ являются ?) метр, секунда ?) километр, час ?) сантиметр, минута ?) метр, минута Вопрос id:978847 Пассажир, сидящий в движущемся вагоне, покоится относительно тел ?) вагона ?) других пассажиров, сидящих в вагоне ?) Земли ?) колес вагона Вопрос id:978848 Первая космическая скорость спутника Земли равна ?) 8,5 м/с ?) 7,9 км/с ?) 11,2 м/с ?) 15 м/с Вопрос id:978849 Перемещением тела (материальной точки) называется , соединяющий начальное положение тела с его последующим положением Вопрос id:978850 По горизонтальному ровному шоссе движется автомобиль с выключенным двигателем ?) равномерно ?) ускоренно ?) неравномерно ?) замедленно Вопрос id:978851 Под действием некоторой силы тело массой 2 кг за 2 секунды изменило свою скорость на 0,2 м/с. Величина этой силы равна ___Н ?) 0,2 ?) 1,6 ?) 0,4 ?) 0,8 Вопрос id:978852 Положение тела в пространстве задается относительно другого тела, которое называется ?) координатой ?) предметом ?) телом отсчета ?) меткой Вопрос id:978853 Положение тела в пространстве определяется ?) координатной осью ?) системой отсчета ?) временем ?) телом отсчета Вопрос id:978854 Постоянная векторная величина, равная отношению перемещения тела за любой промежуток времени к значению этого промежутка, называется ?) пройденным путем ?) взаимодействием тел ?) ускорением ?) скоростью Вопрос id:978855 Поступательное движение может быть ?) тепловым ?) равномерным ?) прямолинейным ?) криволинейным Вопрос id:978856 При взаимодействии тел их импульсы ?) изменяются ?) не равны нулю ?) равны нулю ?) не изменяются Вопрос id:978857 При движении вверх вектор скорости тела и вектор ускорения свободного падения направлены ?) в противоположные стороны ?) в одну сторону ?) под углом друг к другу в противоположные стороны ?) под углом друг к другу в одну сторону Вопрос id:978858 При движении тела в одном направлении модуль вектора перемещения, совершенного телом за некоторый промежуток времени, ___ пути, пройденному этим телом за тот же промежуток времени ?) меньше ?) больше ?) не равен ?) равен Вопрос id:978859 При движении тела вниз вектор ускорения свободного падения направлен ?) вертикально вниз ?) горизонтально ?) под углом к траектории движения ?) вертикально вверх Вопрос id:978860 При движении тела по окружности направление вектора скорости ?) горизонтальное ?) не изменяется ?) имеет угол наклона к касательной в точке ?) изменяется Вопрос id:978861 При движении тела по окружности непрерывно изменяется направление ?) вектора ускорения ?) пройденный путь ?) вектора перемещения ?) вектора скорости Вопрос id:978862 При поступательном движении любая прямая, мысленно проведенная через две произвольные точки поступательно движущегося тела, остается своему первоначальному направлению Вопрос id:978863 При прямолинейном ___движении без начальной скорости модуль вектора перемещения прямо пропорционален квадрату промежутка времени, в течение которого это перемещение было совершено Вопрос id:978864 При прямолинейном движении тела достаточно для определения его положения. ?) координатной оси ?) точки отсчета ?) траектории ?) отрезка прямой Вопрос id:978865 При реактивном движении, чем с большей скоростью вырывается газ из сопла, тем скорость оболочки ракеты ?) будет меньше ?) будет больше ?) не изменится ?) станет равной бесконечности Вопрос id:978866 При свободном падении тела его скорость, при g = 10 м/с2 увеличивается за первую секунду на ?) 10 м/с, за вторую -на 20 м/с ?) 5 м/с, за вторую -на 10 м/с ?) 10 м/с, за вторую -на 0 м/с ?) 10 м/с, за вторую -на 10 м/с Вопрос id:978867 Принцип относительности впервые сформулировал ?) Ньютон ?) Фарадей ?) Гук ?) Галилей Вопрос id:978868 Причиной возникновения ускорения тела является ?) изменение скорости ?) масса тела ?) торможение ?) сила Вопрос id:978869 Причиной изменения скорости тела является ?) сила ?) падение ?) ускорение ?) торможение Вопрос id:978870 Проекция вектора на ось считается положительной, если вектор сонаправлен с ___ осью Вопрос id:978871 Проекция вектора перемещения при равноускоренном движении рассчитывается по формуле ?) ![]() ?) ![]() ?) ![]() ?) ![]() Вопрос id:978872 Пройденный путь и перемещение в СИ измеряются в ?) метрах ?) градусах ?) милях ?) километрах Вопрос id:978873 Прямолинейным движением называется движение тела, проходящего за любые равные промежутки времени одинаковые пути по прямолинейной траектории Вопрос id:978874 Равнодействующей нескольких сил, одновременно приложенных к телу, называется сила, производящая на тело такое же действие как ?) большая сила ?) разность большей и меньшей сил ?) меньшая сила ?) все эти силы вместе Вопрос id:978875 Расстояние между двумя телами равно модулю ___ их координат Вопрос id:978876 Реактивное движение происходит за счет того, что от тела отделяется и движется струя газа, в результате чего само тело приобретает импульс, направленный по отношению к струе газа ?) под углом 45° ?) противоположно ?) в ту же сторону ?) под прямым углом |
Copyright tests.ithead.ru 2013-2026
называется величина, равная произведению массы тела на его






