Список вопросов базы знанийЭлектротехника, электроника и схемотехникаВопрос id:584014 При заданной вольт-амперной характеристике приемника напряжение на нем при токе 5 А составит …
?) бесконечно большую величину ?) 50 В ?) 100 В ?) 0,5 В Вопрос id:584015 При заданном соединении линейного и нелинейного элементов верно выражение …
?) ![]() ?) ![]() ?) ?) Вопрос id:584016 При нахождении тока
?) 15 В ?) 10 В ?) 20 В ?) 5 В Вопрос id:584017 При расчете тока
?) 4,4 Ом ?) 2,4 Ом ?) 10 Ом ?) 12 Ом Вопрос id:584018 При расчете цепи по методу эквивалентного генератора для
?) ?) ![]() ?) ?) ![]() Вопрос id:584019 При расчете цепи по методу эквивалентного генератора для напряжения
?) ?) ?) ?) Вопрос id:584020 Приведенная векторная диаграмма соответствует схеме соединения звезда без нейтрального провода при …
?) несимметричной емкостной нагрузке ?) несимметричной активной нагрузке ?) симметричной индуктивной нагрузке ?) симметричной активной нагрузке Вопрос id:584021 Приведенной векторной диаграмме соответствует симметричная нагрузка …
?) активно-емкостная ?) активно-индуктивная ?) емкостная ?) активная Вопрос id:584022 Эквивалентное сопротивление ветви цепи с параллельно включенными сопротивлениями R2 и R3 равно
?) ?) ?) ?) Вопрос id:584023 Эквивалентное сопротивление относительно источника ЭДС для данной схемы
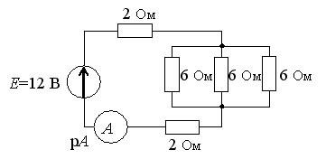
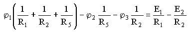
?) ?) ?) ?) Вопрос id:584024 Показание амперметра рА составит … ![]() ?) 1,2 А ?) 0,5 А ?) 2 А ?) 1,7 А Вопрос id:584025 В результате сложения двух синусоидальных величин различной частоты получается ?) несинусоидальная величина ?) синусоидальная величина, амплитуда которой равна геометрической сумме амплитуд слагаемых величин ?) несинусоидальная величина, амплитуда которой равна геометрической сумме амплитуд слагаемых величин ?) синусоидальная величина Вопрос id:584026 Для цепи с емкостью закон Ома применим только для ___ значений тока и напряжения ?) амплитудных ?) действующих и мгновенных ?) действующих ?) амплитудных и мгновенных Вопрос id:584027 На векторной диаграмме катушки индуктивности напряжение ?) опережает ток по фазе на угол ?) отстает от тока по фазе на угол ?) отстает от тока по фазе на 1/4 периода ?) совпадает по фазе с током Вопрос id:584028 Общий вид уравнения баланса мощностей можно представить в виде ?) ?) ?) ?) Вопрос id:584029 Первый закон Кирхгофа ?) применим к контурам электрических схем ?) применим к узлам электрических схем ?) вытекает из принципа непрерывности электрического тока ?) вытекает из закона сохранения энергии Вопрос id:584030 Полное сопротивление rL цепи z равно ?) ?) ?) ?) Вопрос id:584031 d=I/ICP – это коэффициент ?) гармоник ?) формы ?) амплитуды ?) искажения Вопрос id:584032 d=I0/I – это коэффициент ?) формы ?) гармоник ?) искажения ?) амплитуды Вопрос id:584033 d=Imax/I – это коэффициент ?) амплитуды ?) искажения ?) гармоник ?) формы Вопрос id:584034 Активная мощность P при несинусоидальном токе равна ?) ?) ![]() ?) ?) Вопрос id:584035 Активная мощность трехфазной цепи P равна ?) ?) ?) ?) Вопрос id:584036 Активная мощность цепи P равна ?) ?) ?) ?) Вопрос id:584037 Активное сопротивление резистора ?) равно электрическому сопротивлению резистора ?) равно полному сопротивлению резистора ?) больше его электрического сопротивления ?) меньше его электрического сопротивления Вопрос id:584038 В группу неуправляемых нелинейных резисторов входят ?) фоторезисторы ?) полупроводниковые выпрямители ?) тиристоры ?) лампы накаливания Вопрос id:584039 В группу неуправляемых нелинейных резисторов входят ?) стабилитроны ?) фотодиоды ?) полупроводниковые выпрямители ?) транзисторы Вопрос id:584040 В группу управляемых нелинейных резисторов входят ?) транзисторы ?) трёхэлектродные лампы ?) лампы накаливания ?) фотодиоды Вопрос id:584041 В группу управляемых нелинейных резисторов входят ?) тиристоры ?) терморезисторы ?) стабилитроны ?) фоторизисторы Вопрос id:584042 В параллельных ветвях с резисторами ?) токи обратно пропорциональны сопротивлениям ?) токи пропорциональны значениям сопротивлений ?) падения напряжения обратно пропорциональны сопротивлениям ?) падения напряжения пропорциональны значениям сопротивлений Вопрос id:584043 В трехфазной цепи нагрузка соединена по схеме «треугольник», линейное напряжение 380 В. Фазное напряжение на нагрузке равно … ?) 127 В ?) 220 В ?) 660 В ?) 380 В Вопрос id:584044 В трехфазной цепи нагрузка соединена по схеме «треугольник». Если фазное напряжение равно 220 В, то линейное напряжение сети равно … ?) 127 В ?) 380 В ?) 220 В ?) 660 В Вопрос id:584045 В трехфазной цепи при симметричной нагрузке амперметром был измерен ток - 5 А. Фазный ток ![]() ?) 2,9 А ?) 5 А ?) 3 А ?) 8,7 А Вопрос id:584046 В цепи может установиться режим резонанса напряжений, если ?) ветви r1L и r2C соединены параллельно ?) ветви r1L и r2C соединены последовательно ?) выходная реактивная проводимость цепи равна нулю ?) входное реактивное сопротивление цепи равно нулю Вопрос id:584047 В цепи может установиться режим резонанса токов, если ?) ветви r1L и r2C соединены параллельно ?) входное реактивное сопротивление цепи равно нулю ?) ветви rL и rC соединены последовательно ?) выходная реактивная проводимость цепи равна нулю Вопрос id:584048 Вектор напряженности поля индукции ?) перпендикулярен оси провода и магнитным линиям ?) направлен вдоль оси провода и перпендикулярно вектору скорости ?) совпадает с направлением вектора скорости и перпендикулярен магнитным линиям ?) направлен вдоль магнитных линий и перпендикулярно вектору скорости Вопрос id:584049 Величина ?) волновое сопротивление контура ?) затухание контура ?) характеристическое сопротивление контура ?) добротность контура Вопрос id:584050 Величина ?) характеристическим сопротивлением ?) сопротивлением ?) затуханием ?) волновым сопротивлением Вопрос id:584051 Внешняя характеристика резистивного элемента определяется ?) первым законом Кирхгофа ?) вторым законом Кирхгофа ?) законом сохранения энергии ?) законом Ома Вопрос id:584052 Второй закон Кирхгофа ?) вытекает из закона сохранения энергии ?) применим к контурам электрических схем ?) применим к узлам электрических схем ?) вытекает из принципа непрерывности электрического тока Вопрос id:584053 Второй закон Кирхгофа в комплексной форме – это ?) ?) ?) ?) Вопрос id:584054 Второй закон Кирхгофа можно сформулировать двояко ?) алгебраическая сумма токов, подтекающих к какому-либо узлу схемы, равна нулю ?) алгебраическая сумма падений напряжения в любом замкнутом контуре равна алгебраической сумме ЭДС, входящих в контур ?) сумма подтекающих к любому узлу токов равна сумме утекающих от этого узла токов ?) алгебраическая сумма напряжений вдоль любого замкнутого контура равна нулю Вопрос id:584055 Второй шаг, при расчёте методом эквивалентного генератора, заключается в том, что ?) путем алгебраического суммирования находят искомые токи рассчитываемой схемы ?) находят напряжение на зажимах разомкнутой ветви ab ?) определяют входное сопротивление всей схемы по отношению к зажимам ab при закороченных источниках ЭДС и разомкнутых ветвях с источниками тока ?) рассчитывают ток Вопрос id:584056 Графическое изображение электрической цепи, содержащее условные обозначения ее элементов, – это ?) ветвь ?) схема электрической цепи ?) схема замещения электрической цепи ?) структурная схема электрической цепи Вопрос id:584057 Действующее значение напряжения u(t)=282sin(314t) В составляет … ?) 141 В ?) 110 В ?) 200 В ?) 282 В Вопрос id:584058 Действующее значение несинусоидального напряжения U равно ?) ![]() ?) ?) ?) ![]() Вопрос id:584059 Действующее значение переменного тока ?) Равно значению такого эквивалентного постоянного тока, который, проходя по цепи с тем же сопротивлением, что и переменный ток, выделяет за период то же количество тепла ?) Равно такому постоянному току, при котором в течение полупериода проходит такой же заряд, что и при переменном токе ?) Равно работе, совершаемой силами индукции при переносе единицы заряда на участке ?) Определяется количеством электричества, проходящим через поперечное сечение проводника за единицу времени Вопрос id:584060 Действующее значение синусоидального тока I равно ?) ?) ?) ?) Вопрос id:584061 Для однофазного синусоидального тока ?) 0,02 с ?) 0,01 с ?) 100 с ?) 628 с Вопрос id:584062 Для узла 1 уравнение по методу узловых потенциалов имеет вид … ![]() ?) ![]() ?) ![]() ?) ![]() ?) ![]() Вопрос id:584063 Для узла 3 уравнение по методу узловых потенциалов имеет вид … ![]() ?) ![]() ?) ![]() ?) ![]() ?) ![]() |




























