Список вопросов базы знанийЭлектротехника, электроника и схемотехникаВопрос id:584523 Укажите команду диалогового окна настройки режима Transient Analysis, с помощью которой в графическом окне на временной диаграмме по оси Y выводятся логические уровни сигналов ("1" или "0") в контрольной точке Х2 ?) dX2 ?) decX2 ?) d(X2) ?) dec(X2) Вопрос id:584524 Укажите число выходов дешифратора, содержащего 4 входа Вопрос id:584525 Определите момент времени (мкс) с точностью до второго знака после запятой, соответствующий среднему значению временного интервала, для состояния генератора чисел, приведенного в таблице. Таблица
Вопрос id:584526 Определите момент времени (мкс) с точностью до второго знака после запятой, соответствующий среднему значению временного интервала, для состояния генератора чисел, приведенного в таблице. Таблица
Вопрос id:584527 Определите момент времени (мкс) с точностью до второго знака после запятой, соответствующий среднему значению временного интервала, для состояния генератора чисел, приведенного в таблице. Таблица
Вопрос id:584528 Определите момент времени (мкс), соответствующий среднему значению временного интервала, для состояния генератора чисел, приведенного в таблице. Таблица
Вопрос id:584529 Определите напряжение на выходе функционального генератора с точностью до одного знака после запятой (В) для состояния генератора чисел, приведенного в таблице. Таблица
Вопрос id:584530 Определите напряжение на выходе функционального генератора с точностью до одного знака после запятой (В) для состояния генератора чисел, приведенного в таблице. Таблица
Вопрос id:584531 Определите напряжение на выходе функционального генератора с точностью до одного знака после запятой (В) для состояния генератора чисел, приведенного в таблице. Таблица
Вопрос id:584532 Определите напряжение на выходе функционального генератора с точностью до одного знака после запятой (В) для состояния генератора чисел, приведенного в таблице. Таблица
Вопрос id:584533 Определите напряжение на выходе функционального генератора с точностью до одного знака после запятой (В) для состояния генератора чисел, приведенного в таблице. Таблица
Вопрос id:584534 Определите напряжение на выходе функционального генератора с точностью до одного знака после запятой (В) для состояния генератора чисел, приведенного в таблице. Таблица
Вопрос id:584535 Определите напряжение на выходе функционального генератора с точностью до одного знака после запятой (В) для состояния генератора чисел, приведенного в таблице. Таблица
Вопрос id:584536 Определите напряжение на выходе функционального генератора с точностью до целого числа (В) для состояния генератора чисел, приведенного в таблице. Таблица
Вопрос id:584537 Определите первый момент времени (мкс), соответствующий среднему значению временного интервала, для состояния генератора чисел, приведенного в таблице. Таблица
Вопрос id:584538 Определите первый момент времени (мкс), соответствующий среднему значению временного интервала, для состояния генератора чисел, приведенного в таблице. Таблица
Вопрос id:584539 Определите первый момент времени (мкс), соответствующий среднему значению временного интервала, для состояния генератора чисел, приведенного в таблице. Таблица
Вопрос id:584540 Определите первый момент времени (мкс), соответствующий среднему значению временного интервала, для состояния генератора чисел, приведенного в таблице. Таблица
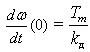
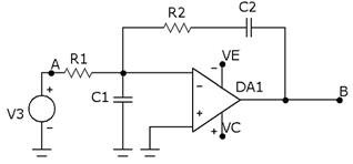
Вопрос id:584541 Минимальный шаг изменения выходного напряжения цифро–аналогового преобразователя связан с разрядность n соотношением ?) Uоп ´2n ?) Uоп ´2´n ?) Uоп / 2n ?) Uоп /(2´n) Вопрос id:584542 Какое двоичное число нужно подать на вход 4 разрядного ЦАП, чтобы определить напряжение смещения нуля Вопрос id:584543 Укажите команду выпадающего меню окна программы Micro-Cap 9.0, с помощью которой выбирается пиктограмма 8-ми разрядного ЦАП ?) Component\Digital Primitives\Pullups\Pulldowns\Pullup ?) Component\Digital Primitives\Pullups\Pulldowns\Pulldown ?) Component\Digital Primitives\DtoA Converters\DtoA8 ?) Component\Animation\Animated Digital Switch Вопрос id:584544 Укажите команду контекстного меню Analysis окна программы Micro-Cap 9.0, с помощью которой проводится настройка режима моделирования для построения временных диаграмм работы ЦАП ?) Dynamic DC ?) Transient … ?) AC … ?) DC … Вопрос id:584545 Укажите назначение цифро – аналоговых преобразователей ?) подсчет числа входных импульсов ?) преобразование аналогового сигнала в цифровой код ?) преобразование цифровой информации, заданной в форме двоичных кодов, в аналоговый сигнал ?) реализация логических функций Вопрос id:584546 В режиме разгона максимальное значение углового ускорения ротора достигается ?) в середине переходного процесса ?) в конце переходного процесса ?) в начале переходного процесса Вопрос id:584547 Значение машинной переменной ?) 100 ?) 50 ?) 0.04 ?) 0.02 Вопрос id:584548 У асинхронных двигателей при неподвижном роторе скольжение s составляет значение ?) 2 ?) 0 ?) 6 ?) 1 Вопрос id:584549 Укажите зависимость между значением углового ускорения в начальный момент времени t = 0, электромеханической постоянной времени ?) ?) ![]() ?) ![]() ?) Вопрос id:584559 Укажите значение статического коэффициента передачи двигателя Вопрос id:584566 Укажите команду контекстного меню Analysis окна программы Micro-Cap 9.0, с помощью которой проводится настройка режима моделирования для построения осциллограмм напряжений ?) DC … ?) Transient … ?) AC … ?) Dynamic DC Вопрос id:584569 Укажите назначение емкости С1 в усилителе, представленном на рис. 1
Рис. 1. Усилитель переменного тока ?) фильтрация низкочастотных помех на входе схемы ?) коррекция коэффициента усиления схемы на низких частотах ?) фильтрация высокочастотных помех на входе схемы ?) предотвращение насыщения ОУ Вопрос id:584591 Определите частоту входного напряжения, на которой сдвиг фаз между выходным и входным напряжением минимален с точностью до целого числа (КГц) Вопрос id:584593 Укажите команду диалогового окна режима анализа частотных характеристик, с помощью которой в графическом окне выводится фаза выходного напряжения с клеммы В ?) ph(v(B)) ?) p(v(B)) ?) v(ph(B)) ?) v(p(B)) Вопрос id:584594 Укажите окошко диалогового окна режима анализа частотных характеристик, используемое для переключения масштаба отображения результатов по оси Y ?) ?) ![]() ?) ?) |



