Тесты онлайн, бесплатный конструктор тестов. Психологические тестирования, тесты на проверку знаний.
Список вопросов базы знанийАналитическая геометрия и линейная алгебраВопрос id:653049 Даны векторы ?) из векторов ?) ?) ?) Вопрос id:653053 Даны комплексные числа Z1 = 2 + i и Z2 = 1 – i Тогда ?) 1 + 3i ?) ?) ?) 1 – 3i Вопрос id:653055 Даны матрицы A размерности 4x6 и B размерности 6x4 . Произведение AB существует и имеет размерность… ?) 4x4 ?) 6x6 ?) 6x4 ?) 4x6 Вопрос id:653069 Даны матрицы и . Тогда определитель произведения матриц ?) 0 ?) -20 ?) 6 ?) 18 Вопрос id:653074 Даны матрицы и . Тогда определитель произведения матриц ?) 0 ?) 2 ?) -3 ?) 3 Вопрос id:653076 Даны матрицы и . Тогда матрица ?) ?) ?) ?) Вопрос id:653078 Даны матрицы и . Тогда решением матричного уравнения ?) ![]() ?) ![]() ?) ![]() ?) ![]() Вопрос id:653083 Даны матрицы и . Тогда матрица ?) ![]() ?) ![]() ?) ![]() ?) ![]() Вопрос id:653090 Даны матрицы и . Сумма элементов матрицы Вопрос id:653091 Даны матрицы и . Сумма элементов матрицы Вопрос id:653093 Даны матрицы и . Сумма элементов матрицы Вопрос id:653099 Даны матрицы и . Сумма элементов матрицы Вопрос id:653100 Даны матрицы и . Сумма элементов матрицы Вопрос id:653102 Даны матрицы и . Сумма элементов матрицы Вопрос id:653104 Даны матрицы и . Сумма элементов матрицы Вопрос id:653106 Даны матрицы ?) ?) ?) ?) Вопрос id:653109 Даны матрицы ?) ?) ?) ?) Вопрос id:653111 Даны матрицы ?) ?) ?) 2С ?) Вопрос id:653115 Даны матрицы , В порядке увеличения их рангов матрицы расположены так?) В, А, С ?) ранги всех матриц равны ?) А, В, С ?) С, А, В Вопрос id:653116 Даны матрицы
Вопрос id:653120 Даны матрицы А и В: ?) ?) ?) ?) Вопрос id:653135 Даны матрицы А и В: ?) ?) ?) ?) Вопрос id:653143 Даны матрицы А и В: ?) ?) ?) ?) Вопрос id:653148 Даны системы векторов: ![]() ![]() ![]() ?) Все три системы образуют базис в ?) Базис в ?) Ортонормированным базисом в ?) Базис в Вопрос id:653157 Для взаимно обратных матриц А и Вопрос id:653160 Для матриц А и В найдено произведение . Тогда матрица В должна иметь …?) 4 строки ?) 3 строки ?) 1 строку ?) 2 строки Вопрос id:653161 Для матриц А и В найдено произведение . Тогда матрица А должна иметь …?) 4 столбца ?) 3 столбца ?) 1 столбец ?) 2 столбца Вопрос id:653163 Для матриц А и В найдено произведение . Тогда матрица А должна иметь …?) 2 столбца ?) 1 столбец ?) 3 столбца ?) 4 столбца Вопрос id:653165 Для матриц А и В найдено произведение . Тогда матрица А должна иметь …?) 3 столбца ?) 1 столбец ?) 2 столбца ?) 4 столбца Вопрос id:653167 Для матриц и и транспонированных к ним определены произведения …?) ?) ?) ?) ?) Вопрос id:653170 Для матриц ?) ?) ?) ?) Вопрос id:653173 Для матриц ?) ?) АВ = ВА ?) ?) АВ = 2ВА Вопрос id:653177 Для матрицы ?) ?) ?) ?) Вопрос id:653183 Для матрицы ?) 2 ?) 1 ?) 0 ?) -1 Вопрос id:653191 Для матрицы ?) ![]() ?) А-1 не существует ?) ![]() Вопрос id:653199 Для матрицы А = матрица из алгебраических дополнений имеет вид?) ![]() ?) ![]() ?) ![]() ?) ![]() Вопрос id:653207 Для системы уравнений фундаментальной могут служить два вектора?) ![]() ?) ![]() ?) ![]() ?) ![]() Вопрос id:653214 Для системы уравнений справедливы утверждения?) фундаментальная система решений состоит из ![]() ?) решение системы единственно, ?) система имеет множество решений V и dim V = 2 ?) Вопрос id:653217 Для системы уравнений справедливы утверждения?) фундаментальная система решений может состоять из одного вектора ![]() ?) имеет подпространство решений V и его размерность dim V = 1 ?) определитель системы det A ?) система имеет единственное решение Вопрос id:653221 Для системы уравнений верны утверждения?) ?) система совместна при любом ?) общее решение системы имеет вид: ![]() ?) система несовместна при Вопрос id:653231 Если , то значение определителя матрицы ?) 0 ?) 6 ?) 10 ?) 2 Вопрос id:653236 Если , то значение определителя матрицы ?) 0 ?) 17 ?) 9 ?) 11 Вопрос id:653240 Если detA ?) r(A) равен порядку матрицы А ?) r(A) меньше порядка матрицы А ?) строки матрицы линейно независимы ?) столбцы матрицы линейно зависимы Вопрос id:653241 Если detA ?) r(A) меньше порядка матрицы ?) ?) система ?) система Вопрос id:653245 Если detA = 0, тогда ?) система ?) систему можно решить методом Крамера ?) строки матрицы А линейно независимы Вопрос id:653248 Если для квадратной матрицы А detA = 0, то ?) r(A) меньше порядка матрицы ?) строки матрицы линейно зависимы ?) r(A) равен числу столбцов матрицы ?) столбцы матрицы линейно независимы Вопрос id:653252 Если для матрицы А системы уравнений и расширенной матрицы Вопрос id:653253 Если квадратные матрицы А и В перестановочны и АВ = ВА = Е, то матрица В является ___ для матрицы А (вставьте слово) Вопрос id:653254 Если матрицы А и В перестановочны, то матрица АВ – ВА является ___ матрицей ?) единичной ?) нижнетреугольной ?) нулевой ?) верхнетреугольной Вопрос id:653256 Если определитель квадратной матрицы ?) ?) ?) ?) |
Copyright tests.ithead.ru 2013-2026
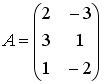
и
. Тогда определитель произведения матриц
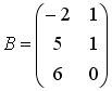
и
. Тогда определитель произведения матриц
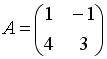
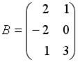
и
. Тогда матрица
и
. Тогда решением матричного уравнения 



и
. Тогда матрица 



и
. Сумма элементов матрицы
и
. Сумма элементов матрицы
и
. Сумма элементов матрицы
и
. Сумма элементов матрицы
и
. Сумма элементов матрицы
и
. Сумма элементов матрицы
и
. Сумма элементов матрицы
,
В порядке увеличения их рангов матрицы расположены так


. Тогда матрица В должна иметь …
. Тогда матрица А должна иметь …
. Тогда матрица А должна иметь …
. Тогда матрица А должна иметь …
и
и транспонированных к ним определены произведения …

матрица из алгебраических дополнений имеет вид



фундаментальной могут служить два вектора



справедливы утверждения
справедливы утверждения
верны утверждения
, то значение определителя матрицы
, то значение определителя матрицы