Тесты онлайн, бесплатный конструктор тестов. Психологические тестирования, тесты на проверку знаний.
Список вопросов базы знанийАналитическая геометрия и линейная алгебраВопрос id:653262 Если определитель квадратной матрицы ?) 8 ?) 2 ?) ?) Вопрос id:653264 Если определитель матрицы пятого порядка отличен от нуля То ранг матрицы равен ___ (число) Вопрос id:653265 Если ранг матрицы системы уравнений ?) число решений системы не определено ?) система имеет множество решений ?) система несовместима ?) система имеет единственное решение Вопрос id:653266 Если ранг системы из m векторов равен m, то эти векторы линейно ___ (слово) Вопрос id:653267 Если решением системы Вопрос id:653269 Если система уравнений Вопрос id:653270 Если строки квадратной матрицы А линейно независимы, то ?) r(A) меньше порядка матрицы А ?) столбцы матрицы линейно зависимы ?) detA ?) r(A) = n – числу строк матрицы Вопрос id:653274 Если существует матрица ?) является квадратной ?) может быть произвольной ?) может быть единичной ?) является нулевой (размера Вопрос id:653278 Значение определителя равно…?) ?) ?) ?) Вопрос id:653281 Значения переменной х, при котором многочлен f(x) обращается в нуль, называется ___ многочлена (вставить слово) Вопрос id:653283 Из трех векторов ?) ?) ?) Вопрос id:653287 Квадратная матрица Вопрос id:653288 Квадратные матрицы А и В, для которых АВ = ВА, называются ___ (вставить слово) Вопрос id:653291 Максимальное число Вопрос id:653292 Максимальное число линейно независимых вектор-строк матрицы называется ее ___ (слово) Вопрос id:653299 Матрица вырождена при ?) 2 ?) 1 ?) 4 ?) -4 Вопрос id:653300 Матрица вырождена при ?) -1 ?) 4 ?) 2 ?) 1 Вопрос id:653301 Матрица является вырожденной, если число ?) 0 ?) 2 ?) - 3 ?) 3 Вопрос id:653303 Матрица является вырожденной, если число ?) - 5 ?) - 4 ?) - 1 ?) 3 Вопрос id:653304 Матрица не имеет обратной при k, равном …?) 10 ?) − 5 ?) 0 ?) - 10 Вопрос id:653305 Матрица не имеет обратной при k, равном …?) − 4 ?) 4 ?) 10 ?) 3 Вопрос id:653306 Матрица не имеет обратной при k, равном …?) 0 ?) 10 ?) - 10 ?) 3 Вопрос id:653307 Матрица не имеет обратной при k, равном …?) - 4 ?) 4 ?) 2 ?) 3 Вопрос id:653308 Матрица не имеет обратной при k, равном …?) 15 ?) 10 ?) 2 ?) - 15 Вопрос id:653313 Матрица вырождена при ?) 2 ?) -2 ?) 8 ?) 4 Вопрос id:653314 Матрица не имеет обратной при k, равном …?) -10 ?) 0 ?) 10 ?) 5 Вопрос id:653319 Матрица не имеет обратной при k, равном …?) 10 ?) 9 ?) - 9 ?) 3 Вопрос id:653321 Матрица ?) 12 ?) -3 ?) 6 ?) 5 Вопрос id:653322 Матрица равна?) ![]() ?) ![]() ?) ![]() ?) ![]() Вопрос id:653328 Матрица имеет вид?) ![]() ?) ![]() ?) ![]() ?) ![]() Вопрос id:653330 Матрица ?) не существует ?) ?) ![]() ?) Вопрос id:653331 Матрица ?) при всех вещественных ?) только при ?) ни при каком значении ?) Вопрос id:653334 Матрица ?) ?) только при ?) при всех вещественных ?) ни при каком значении Вопрос id:653338 Матрица ?) ни при каком значении ?) при всех ?) только при ?) только при Вопрос id:653345 Матрица ?) 5 ?) 6 ?) 0 Вопрос id:653347 Матрица не имеет обратной при ?) только при ?) 0 и -2 ?) только при ?) ни при каком Вопрос id:653349 Матрица ?) 3 ?) 0 ?) 12 Вопрос id:653350 Матрица В перестановочная с матрицей А и такая, что ее произведение с матрицей А дает единичную матрицу, называется ___ к матрице А (вставить слово) Вопрос id:653355 Матрица из алгебраических дополнений матрицы ?) ?) ?) ?) Вопрос id:653358 Матрица, обратная данной матрице , имеет вид …?) ![]() ?) ![]() ?) ![]() ?) ![]() Вопрос id:653359 Матрица, определитель которой отличен от нуля, называется ___ матрицей (вставить слово) Вопрос id:653360 Матрица, определитель которой равен нулю, называется ___ (вставьте слово) Вопрос id:653361 Матрица, составленная из алгебраических дополнений к диагональной матрице, является ___ матрицей (слово) Вопрос id:653363 Матрицей обратной к матрице ?) ?) ?) ?) Вопрос id:653366 Матрицей, обратной к матрице ?) ?) ?) ?) Вопрос id:653368 Матрицы ?) зависит от порядка матрицы А ?) 1 ?) зависит от определителя detA ?) 0 Вопрос id:653369 Матрицы А и В имеют вид: , тогда они являются взаимно обратными при а=?) ?) при любом а ?) ни при каком а ?) только при а = Вопрос id:653371 Минимальная часть произведения двух комплексно-сопряженных чисел Z = a + bi и ?) 0 ?) -2abi ?) 2abi ?) abi Вопрос id:653372 Множество решений системы линейных однородных уравнений Вопрос id:653373 Неоднородная система уравнений ?) система может быть решена методом Крамера ?) решение системы имеет вид ?) имеет единственное решение ?) систему нельзя решить методом Крамера |
Copyright tests.ithead.ru 2013-2026
равно…
вырождена при
вырождена при
является вырожденной, если число
является вырожденной, если число
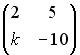
не имеет обратной при k, равном …
не имеет обратной при k, равном …
не имеет обратной при k, равном …
не имеет обратной при k, равном …
не имеет обратной при k, равном …
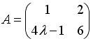
вырождена при
не имеет обратной при k, равном …
не имеет обратной при k, равном …
равна



имеет вид




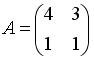
не имеет обратной при
, имеет вид …



, тогда они являются взаимно обратными при а=