Тесты онлайн, бесплатный конструктор тестов. Психологические тестирования, тесты на проверку знаний.
Список вопросов базы знанийАналитическая геометрия и линейная алгебраВопрос id:653710 Укажите верные соответствия для системы
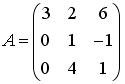
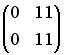
Вопрос id:653713 Укажите верные соответствия между матрицей АВ и ее типом для данных матриц А и В
Вопрос id:653714 Укажите верные соответствия
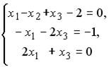
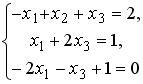
Вопрос id:653716 Укажите систему линейных уравнений, подготовленную для обратного хода метода Гаусса. ?) ![]() ?) ![]() ?) ![]() ?) ![]() Вопрос id:653720 Указать верные соответствия
Вопрос id:653722 Указать верные соответствия
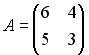
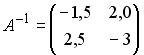
Вопрос id:653724 Установите верные соответствия между взаимно обратными матрицами
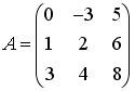
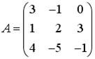
Вопрос id:653727 Установите верные соответствия между матрицей А и матрицей
Вопрос id:653730 Установите соответствие между .
Вопрос id:653734 Установите соответствие между двумя множествами …
Вопрос id:653737 Установите соответствие между матрицами А и суммами элементов
Вопрос id:653740 Установите соответствие между матрицами А и суммами элементов
Вопрос id:653743 Установите соответствие между матрицами А и суммами элементов
Вопрос id:653744 Установите соответствие между матрицами А и суммами элементов
Вопрос id:653747 Установите соответствие между матрицами и их рангами.
Вопрос id:653751 Установите соответствие между матрицей и ее определителем.
Вопрос id:653753 Установите соответствие между матрицей и ее определителем.
Вопрос id:653754 Установите соответствие между матрицей и ее определителем.
Вопрос id:653756 Установите соответствие между системой линейных уравнений и ее расширенной матрицей.
Вопрос id:653761 Фундаментальной системой решений называется ___ подпространства решений системы Вопрос id:653762 Число ?) Z = i ?) Z = 3i ?) Z = 2i ?) Z = -i Вопрос id:653763 Число ?) ?) ?) ?) Вопрос id:653767 Число ?) 32i ?) -32i ?) -32 ?) 3 Вопрос id:653768 Число ?) ?) ?) 2 – i Вопрос id:653771 Число ?) 1 + i ?) 2 - i ?) 1 + 2i ?) 1 - 2i Вопрос id:653773 Чтобы для квадратной матрицы Вопрос id:653774 Элементарные преобразования над строками матрицы ___ ее ранга (слово) Вопрос id:653779 А – квадратная матрица второго порядка, В – матрица из алгебраических дополнений к элементам А: Тогда определитель (detB)2 равен?) (detA)2 ?) detA ?) (detA)3 ?) Вопрос id:653783 Все комплексные числа Z, модуль которых ?) точке (2, 2) ?) оси ОХ в точках (2, 0) и (-2, 0) ?) окружности с центром в точке (0, 0) и радиусом R = 2 ?) оси OY в точках (0, 2) и (0, -2) Вопрос id:653808 Для матриц ?) ?) АВ = 2ВА ?) АВ = ВА ?) Вопрос id:653819 Квадратная матрица Вопрос id:653823 Матрица ?) 12 ?) 6 ?) -6 ?) -3 Вопрос id:653827 Матрица ?) 6 ?) 0 ?) 5 ?) 2 Вопрос id:653829 Матрица ?) -3 ?) 0 ?) 3 ?) 12 Вопрос id:653842 Одно уравнение с тремя неизвестными ?) подпространство V решений с размерностью dimV = 1 ?) ?) три решения: (0, 0, 0), (-1, 2, 0) и (-1, 0, 2) ?) подпространство V решений, dimV =2 Вопрос id:653844 Одно уравнение с тремя неизвестными ?) имеет подпространство решений V и его размерность dimV = 2 ?) общее решение системы ?) подпространство решений V имеет размерность dimV = 1 ?) только одно решение Вопрос id:653848 Определитель ?) 2 ?) 0 ?) 6 ?) -2 Вопрос id:653852 Определитель ?) ?) ?) при любых ?) Вопрос id:653856 Определитель равен?) 8 ?) -8 ?) -6 ?) 6 Вопрос id:653858 Определитель равен?) -2 ?) 2 ?) 3 ?) -3 Вопрос id:653863 Определитель = 0 при ?) 2 ?) 6 ?) -2 ?) -6 Вопрос id:653871 Определитель равен?) 6 ?) 12 ?) -12 ?) 0 Вопрос id:653874 Определитель матрицы равен?) 2 ?) -4 ?) 4 ?) -2 Вопрос id:653875 Определитель матрицы равен?) 6 ?) -2 ?) -6 ?) 2 Вопрос id:653883 Пусть матрица ?) -1 ?) 2 ?) 1 ?) 0 Вопрос id:653892 С помощью элементарных преобразований Гаусса произвольную матрицу можно привести к ___ виду (вставить слово) Вопрос id:653907 Укажите верные соответствия
Вопрос id:653909 Укажите верные соответствия
Вопрос id:653914 Укажите верные соответствия
Вопрос id:653917 Укажите верные соответствия
|
Copyright tests.ithead.ru 2013-2026













.










































Тогда определитель (detB)2 равен
равен
равен
= 0 при
равен
равен
равен
