Тесты онлайн, бесплатный конструктор тестов. Психологические тестирования, тесты на проверку знаний.
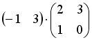
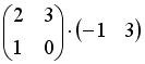
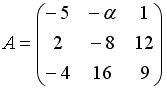
Список вопросов базы знанийАналитическая геометрия и линейная алгебраВопрос id:653374 Неоднородное уравнение с тремя переменными ?) ?) имеет единственное решение ?) имеет множество решений, которые можно записать в виде ?) все решения уравнения имеют вид Вопрос id:653376 Обратная матрица А-1 для матрицы А существует и единственная тогда и только тогда, когда исходная матрица А ___ (вставить слово) Вопрос id:653378 Обратная матрица к матрице не существует при Вопрос id:653379 Обратная матрица к матрице не существует при Вопрос id:653381 Обратная матрица к матрице не существует при Вопрос id:653383 Обратная матрица к матрице не существует при Вопрос id:653384 Обратная матрица к матрице не существует при Вопрос id:653385 Общее решение системы имеет вид?) , х3, х4 – свободные переменные?) , х3, х4 – свободные переменные?) система имеет только нулевое решение ?) система имеет единственное решение Вопрос id:653388 Общее решение системы имеет вид?) система несовместима ?) х3 свободная переменная?) х2 свободная переменная?) система имеет единственное нулевое решение Вопрос id:653390 Общее решение системы линейных уравнений имеет вид?) система несовместима ?) , с – константа?) ![]() ?) ![]() Вопрос id:653393 Общее решение системы линейных уравнений в векторной форме имеет вид?) ![]() ?) ![]() ?) ![]() ?) ![]() Вопрос id:653397 Общее решение системы линейных уравнений имеет вид?) ![]() ?) ![]() ?) ![]() ?) система имеет единственное решение системы Вопрос id:653399 Общее решение системы линейных уравнений имеет вид?) ![]() ?) ![]() ?) ![]() ?) ![]() Вопрос id:653405 Общее решение системы имеет вид?) ![]() ?) ![]() ?) ![]() Вопрос id:653406 Общее решение уравнения с тремя неизвестными ?) ?) фундаментальная система решений состоит из 2-х векторов ?) система имеет единственное нулевое решение ?) Вопрос id:653412 Одно уравнение с тремя неизвестными ?) три решения: (0, 0, 0), (-1, 2, 0) и (-1, 0, 2) ?) ?) подпространство V решений с размерностью dimV = 1 ?) подпространство V решений, dimV = Вопрос id:653414 Одно уравнение с тремя неизвестными ?) единственное тривиальное решение ?) два решения ?) множество решений, общий вид решения ?) подпространство решений V и его размерность dimV = 2 Вопрос id:653431 Одно уравнение с тремя неизвестными ?) подпространство решений V имеет размерность dimV = ?) общее решение системы ?) имеет подпространство решений V и его размерность dimV = 2 ?) только одно решение Вопрос id:653442 Однородное уравнение с тремя переменными ?) система имеет единственное решение ?) ?) общее решение системы имеет вид ![]() ?) фундаментальная система решений состоит из одного вектора Вопрос id:653528 Однородное уравнение с тремя переменными ?) размерность подпространства решений равна 2 ?) подпространство решений V, причем размерность dimV = 1 ?) фундаментальная система решений может состоять из одного вектора ?) фундаментальную систему решений, которая может состоять из векторов Вопрос id:653531 Операция произведения матриц правильно определена для матричного умножения вида … ?) ![]() ?) ![]() ?) ![]() ?) ![]() ?) ![]() Вопрос id:653533 Определитель равен 0, если ?) 2 ?) 1 ?) 0 ?) – 4 Вопрос id:653538 Определитель равен…?) ?) ?) ?) Вопрос id:653541 Определитель равен 0 при ?) – 5 ?) 0 ?) 2 ?) 5 Вопрос id:653543 Определитель равен ...?) 23 ?) 8 ?) – 23 ?) 19 Вопрос id:653545 Определитель ?) – 8 ?) 0 ?) 1 ?) 8 Вопрос id:653546 Определитель равен?) 0 ?) –(a+ (bf-ce) ?) cd(b+e) ?) af(b+e) Вопрос id:653548 Определитель равен?) ?) ?) 0 ?) Вопрос id:653552 Определитель detA = - Тогда определитель det ?) нельзя вычислить, не зная матрицы А ?) -0,25 ?) 1 ?) Вопрос id:653555 Определитель detA = ?) -2 ?) -1 ?) 1 ?) Вопрос id:653558 Определитель detA = ?) -3 ?) ?) -1 ?) 1 Вопрос id:653560 Определитель detA = Тогда определитель det ?) зависит от порядка матрицы А ?) 0 ?) -1 ?) 1 Вопрос id:653561 Определитель равен?) - ?) -6 ?) 8 ?) -8 Вопрос id:653563 Определитель равен?) - ?) 2 ?) 3 ?) -3 Вопрос id:653565 Определитель равен?) -3 ?) -24 ?) 24 ?) -6 Вопрос id:653566 Определитель ?) –ab(a+b) ?) ab(a-b) ?) ab(a+b) ?) ab(b-a) Вопрос id:653567 Определитель = 0 при ?) 6 ?) ?) -6 ?) 2 Вопрос id:653569 Определитель ?) 0 ?) 6 ?) 4 ?) -2 Вопрос id:653571 Определитель ?) 2 ?) 4 ?) -2 ?) 0 Вопрос id:653574 Определитель равен 0 при ?) ?) только при ?) ни при каком ?) только Вопрос id:653582 Определитель равен?) -20 ?) -40 ?) 20 ?) 40 Вопрос id:653584 Определитель равен?) 12 ?) -12 ?) 0 ?) 4 Вопрос id:653586 Определитель матрицы равен …?) 18 ?) - 18 ?) - 30 ?) - 24 Вопрос id:653587 Определитель матрицы равен …?) 1 ?) 0 ?) 10 ?) − 1 Вопрос id:653589 Определитель матрицы равен?) 6 ?) 0 ?) -1 ?) 1 Вопрос id:653590 Определитель матрицы равен?) 2 ?) -4 ?) - ?) 4 Вопрос id:653592 Определитель матрицы равен?) 2 ?) 6 ?) -6 ?) - Вопрос id:653593 Определитель матрицы равен?) - ?) 3 ?) -3 ?) 1 Вопрос id:653595 Определитель матрицы А равен (-1) Тогда определитель обратной к ней матрицы ?) нельзя вычислить, не зная матрицы А ?) -1 ?) 0 ?) 1 Вопрос id:653596 Основным точным методом решения системы линейных уравнений является метод ___ (вставьте название метода) |
Copyright tests.ithead.ru 2013-2026
не существует при
не существует при
не существует при
не существует при
не существует при
имеет вид
, х3, х4 – свободные переменные
, х3, х4 – свободные переменные
имеет вид
х3 свободная переменная
х2 свободная переменная
имеет вид
, с – константа

в векторной форме имеет вид



имеет вид


имеет вид



имеет вид








равен 0, если
равен…
равен 0 при
равен ...
равен
равен
равен
равен
равен
= 0 при
равен 0 при
равен
равен
равен …
равен …
равен
равен
равен
равен