|
|
Список вопросов базы знанийФизика (9 класс)Вопрос id:691417 Траектория точки обода колеса относительно центра колеса при движении автомобиля - это ?) синусоида ?) окружность ?) прямая ?) винтовая линия Вопрос id:691419 Ускорение при свободном падении тел не зависит от ?) объема ?) географического положения ?) массы ?) формы Вопрос id:691420 Ускорение, с которым движется тело постоянной массы, зависит от приложенной к этому телу силе ?) логарифмически ?) экспотенциально ?) прямо пропорционально ?) обратно пропорционально Вопрос id:691421 Ускорение, с которым тело движется по окружности с постоянной по модулю скоростью, в любой точке направленное по радиусу окружности к ее центру, называется ?) свободным ?) тангенциальным ?) центробежным ?) центростремительным Вопрос id:691422 Установит соответствие | Левая часть | Правая часть | | формула проекции ускорения тела при равноускоренном движении | | формула проекции перемещения тела при равноускоренном движении | | формула проекции скорости тела при равноускоренном движении |
Вопрос id:691423 Установить соответствие | Левая часть | Правая часть | механическое движение | изменение положения тела в пространстве относительно других тел, происходящее с течением времени | поступательное движение | движение тела по криволинейной траектории | криволинейное движение | движение тела, при котором все его точки движутся одинаково в любой момент времени |
Вопрос id:691424 Установить соответствие | Левая часть | Правая часть | материальная точка | отрезок прямой линии, имеющий начало отсчета, направление, масштаб | координатная ось | тело, относительно которого рассматривается изменение положения других тел в пространстве | тело отсчета | тело, размерами которого в условиях рассматриваемой задачи можно пренебречь |
Вопрос id:691425 Установить соответствие | Левая часть | Правая часть | пройденный путь | физическая величина, определяющая длину траектории, по которой двигалось тело за рассматриваемый промежуток времени | перемещение тела (материальной точки) | вектор, соединяющий начальное положение тела с его последующим положением | система отсчета | система координат, тело отсчета, с которым она связана, и прибор для измерения времени |
Вопрос id:691426 Установить соответствие | Левая часть | Правая часть | проекция вектора | движение, при котором тело движется вдоль прямой линии, а проекция вектора скорости тела за любые равные промежутки времени меняется одинаково | прямолинейное равноускоренное движение | отрезок оси между координатами начала и конца вектора | скорость равномерного прямолинейного движения | постоянная векторная величина, равная отношению перемещения тела за любой промежуток времени к значению этого промежутка |
Вопрос id:691427 Установить соответствие | Левая часть | Правая часть | | формула скорости прямолинейного равномерного движения | | формула скорости равнопеременного движения | | формула перемещения равномерного движения |
Вопрос id:691428 Установить соответствие | Левая часть | Правая часть | ускорение тела | скорость в каждой конкретной точке траектории в соответствующий момент времени | мгновенная скорость | величина, равная отношению изменения скорости к промежутку времени, за которое это изменение произошло | равноускоренное движение | движение с постоянным ускорением |
Вопрос id:691429 Установить соответствие | Левая часть | Правая часть | пройденный путь | сумма длин всех участков траектории, пройденных телом за рассматриваемый промежуток времени | относительность движения | явление сохранения состояния покоя или прямолинейного равномерного движения, пока на него не будут действовать другие силы | инерция | скорость, траектория, путь и некоторые другие характеристики движения относительны, т. е. они могут быть различны в разных системах отсчета |
Вопрос id:691430 Установить соответствие | Левая часть | Правая часть | геоцентрическая система | система, в которой Земля и другие планеты движутся вокруг солнца, одновременно вращаясь вокруг своих осей | гелиоцентрическая система | время, за которое земной шар делает полный оборот вокруг оси | сутки | система отсчета с неподвижной Землей в центре, вокруг которой обращаются все небесные тела |
Вопрос id:691431 Установить соответствие | Левая часть | Правая часть | закон инерции | тела (материальные точки) находятся в покое или движутся прямолинейно и равномерно, т.е. сохраняют свою скорость неизменной, если на них не действуют другие тела | механика | наука о движении и взаимодействии тел | закон инерции | существуют такие системы отсчета, относительно которых тела сохраняют свою скорость неизменной, если на них не действуют другие тела |
Вопрос id:691432 Установить соответствие | Левая часть | Правая часть | равнодействующая нескольких сил | существуют такие системы отсчета, относительно которых тела сохраняют свою скорость неизменной, если на них не действуют другие тела | первый закон Ньютона | сила, производящая на тело такое же действие, как все эти силы, одновременно приложенные к телу | второй закон Ньютона | ускорение тела прямо пропорционально равнодействующей сил, приложенных к телу, и обратно пропорционально его массе |
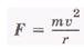
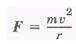
Вопрос id:691433 Установить соответствие | Левая часть | Правая часть | | формула математического выражения второго закон Ньютона | | формула математического выражения центростремительной силы | | формула для определения ускорения свободного падения тела |
Вопрос id:691434 Установить соответствие | Левая часть | Правая часть | третий закон Ньютона | сила, возникающая, когда тело находится на опоре или подвесе | вес тела | движение тел под действием силы тяжести | свободное падение | силы, с которыми два тела действуют друг на друга, равны по модулю и противоположны по направлению |
Вопрос id:691435 Установить соответствие | Левая часть | Правая часть | | проекция скорости свободно падающего тела | 9,8 м/с2 | проекция перемещения при свободном падении тел | | ускорение свободного падения |
Вопрос id:691436 Установить соответствие | Левая часть | Правая часть | прямолинейное движение | ускорение, с которым тело движется по окружности с постоянной по модулю скоростью, в любой точке направленное по радиусу окружности к ее центру | криволинейное движение | скорость тела и действующая на него сила направлены вдоль одной прямой | центростремительное ускорение | скорость тела и действующая на него сила направлены вдоль пересекающихся прямых |
Вопрос id:691437 Установить соответствие | Левая часть | Правая часть | искусственный спутник земли | сила, под действием которой тело движется по окружности с постоянной по модулю скоростью, в каждой точке направленная по радиусу окружности к ее центру | ракета-носитель | ракет, предназначенных для вывода в космос искусственных спутников земли, космических кораблей, автоматических межпланетных станций и других полезных грузов | центростремительная сила | тело, описывающее круговые траектории, оставаясь на одной и той же высоте над землей при отсутствии сопротивления воздуха и при достаточно большой скорости |
Вопрос id:691438 Установить соответствие | Левая часть | Правая часть | | формула для определения модуля скорости, с которой тело движется по окружности радиуса r | | формула для определения центростремительного ускорения | | формула для определения ускорения свободного падения тела |
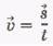
Вопрос id:691439 Установить соответствие | Левая часть | Правая часть | | формула для расчета первой космической скорости | | формула для расчета импульса тела | | формула для расчета ускорения свободного падения тела с высоты h над поверхностью земли |
Вопрос id:691440 Установить соответствие | Левая часть | Правая часть | 7, 9 км/с | Ускорение свободного падения тела | 11,2 км/с | первая космическая скорость, которую надо сообщить телу, чтобы оно обращалось по окружности вокруг Земли на расстоянии r от ее центра | 9,8 м/с2 | вторая космическая скорость, при которой тело преодолевает притяжение к Земле и уходит в космическое пространство |
Вопрос id:691441 Установить соответствие | Левая часть | Правая часть | Константин Эдуардович Циолковский | разработал теорию движения ракет, вывел формулу для расчета их скорости, был первым, кто предложил использовать многоступенчатые ракеты | Юрий Алексеевич Гагарин | совершил первый в мире космический полет на корабле-спутнике «Восток» | Сергей Павлович Королев | советский ученый – основоположник советской космической техники |
Вопрос id:691442 Установить соответствие | Левая часть | Правая часть | закон сохранения импульса | равнодействующий вектор импульса замкнутой системы, не меняющийся с течением времени при любых движениях и взаимодействиях этих тел | замкнутая система | взаимодействие двух или нескольких тел только между собой без воздействия внешних сил | векторная сумма импульсов тел | векторная сумма импульсов тел, составляющих замкнутую систему, не меняется с течением времени при любых движениях и взаимодействиях этих тел. В этом заключается закон сохранения импульса |
Вопрос id:691443 Установить соответствие | Левая часть | Правая часть | декада | время, в течение которого Земля совершает оборот вокруг Солнца | сутки | время, в течение которого Земля совершает оборот вокруг своей оси | год | три месяца года |
Вопрос id:691444 Формула для нахождения модуля вектора силы тяжести, действующей на тело произвольной массы т, имеет вид ?)  ?)  ?) Fтяж = Fупр ?) Fтяж = Р Вопрос id:691445 Формула для определения центростремительного ускорения имеет вид Вопрос id:691447 Формула закона сохранения импульса при взаимодействии двух тел имеет вид Вопрос id:691448 Формула центростремительной силы имеет вид Вопрос id:691450 Центростремительная сила направлена по (в) ___ окружности ?) сторону от центра ?) радиусу к центру ?) хорде ?) касательной в точке Вопрос id:691451 Чем ___ равнодействующая приложенных к телу сил, тем больше ускорение получит тело Вопрос id:691452 Чем больше высота h, на которой запускается спутник, тем ___ скорость υ ему нужно сообщить для его движения по круговой орбите Вопрос id:691453 Чем больше масса тела, тем ___ ускорением получит это тело при взаимодействии тел разной массы Вопрос id:691454 Чем большую начальную скорость получило тело при броске, тем будет ?) время подъема больше ?) время подъема меньше ?) высота подъема больше ?) высота подъема меньше Вопрос id:691455 Чем с ___ скоростью вырывается газ из сопла, тем больше будет скорость оболочки ракеты Вопрос id:691456 Явление сохранения скорости тела при отсутствии действия на него других тел называется ?) механическим движением ?) движением тела ?) диффузией ?) инерцией Вопрос id:691457 Основным условием того, чтобы наступил резонанс в колебательной системе, является
частоты внешней силы и собственной частоты системы ?) совпадение ?) несовпадение ?) разность ?) сумма Вопрос id:691458 Так как при распространении поперечной волны слои среды, будут сдвигаться друг относительно друга, совершая колебания в вертикальном направлении,
поперечные механические волны являются ?) волнами изгиба ?) волнами кручения ?) волнами сдвига ?) стоячими волнами Вопрос id:691459 Амплитуда колебаний достигает ___ значения, когда внешняя сила действует в такт со свободными колебаниями шарика ?) минимального ?) максимального ?) половины максимального ?) четвертой части максимального Вопрос id:691460 Амплитуда установившихся колебаний, вызванных вынуждающей силой, достигает наибольшего значения именно при совпадении частоты изменения этой силы с собственной частотой колебательной системы, потому что ___ в любой момент времени с направлением движения колеблющегося тела ?) направление вынуждающей силы совпадает ?) направление силы тяжести совпадает ?) направление вынуждающей силы не совпадает ?) направление силы тяжести не совпадает Вопрос id:691461 В гитаре, скрипке и других подобных им струнных инструментах резонаторами служат деки, которые ___ издаваемые струнами звуки ?) усиливают ?) ослабляют ?) разделяют ?) приглушают Вопрос id:691462 В жидкостях и газах смежные слои свободно скользят друг по другу без появления противодействующих упругих сил, образование упругих волн в ___ невозможно ?) твердых телах ?) газах ?) жидкостях ?) кристаллических телах Вопрос id:691463 В каждой точке траектории шарика на пружине, кроме точки равновесия, на него будет действовать сила ___ пружины, направленная к ___ шарика ?) упругости, положению равновесия ?) тяжести, положению равновесия ?) тяжести, максимальному отклонению ?) упругости, максимальному отклонению Вопрос id:691464 В колебательном движении за промежуток времени, равный___ , любое тело ___ проходит через положение равновесия, двигаясь в противоположных направлениях ?) периоду колебаний, трижды ?) периоду колебаний, один раз ?) периоду колебаний, дважды ?) половине периода, дважды Вопрос id:691465 В колебательном движении любое тело за промежуток времени, равный периоду колебаний, дважды проходит через положение ___, двигаясь в противоположных направлениях ?) равновесия ?) крайнее левое ?) центральное ?) крайнее правое Вопрос id:691466 В колебательных системах возникает сила, возвращающая систему в положение ___ равновесия, которая называется силой ?) устойчивого, упругой ?) неустойчивого, возвращающей ?) устойчивого, электромагнитной ?) устойчивого, возвращающей Вопрос id:691467 В рупоре мощность звука ___ и он распространяется на большее расстояние ?) Формируется ?) Концентрируется ?) ослабляется ?) Увеличивается Вопрос id:691468 Вдоль пружины может распространяться механическое возмущение, при котором в результате взаимодействия соседних витков пружины, происходит передача ___ и образуется ___ волна ?) вещества, стоячая ?) энергии, стоячая ?) энергии, бегущая ?) вещества, бегущая Вопрос id:691469 Внешняя периодически изменяющаяся сила, вызывающая незатухающие колебания, называется силой ?) притяжения ?) тяжести ?) отталкивания ?) вынуждающей
|