Тесты онлайн, бесплатный конструктор тестов. Психологические тестирования, тесты на проверку знаний.

Список вопросов базы знаний

Физика (9 класс)

Вопрос id:692528
Минимальная энергия, необходимая для расщепления ядра на отдельные нуклоны, называется ___ ядра
?) электрической энергией
?) энергией разделения
?) механической энергией
?) энергией связи
Вопрос id:692529
Наименьшая масса урана, при которой возможно протекание цепной реакции, называется ___
?) весом урана
?) критической массой
?) простой массой
?) относительной массой
Вопрос id:692530
Нейтральный поток частиц радиоактивного излучения называется ___
?) альфа-частицами
?) гамма-частицами
?) гамма-квантами
?) кварками
Вопрос id:692531
Отрицательно заряженные частицы радиоактивного излучения называются ___
?) электронами
?) бета-частицами
?) кварками
?) альфа-частицами
Вопрос id:692532
Первый ядерный реактор был построен в США под руководством ___
?) Резерфорда
?) Томаса Бора
?) Энрико Ферми
?) Томпсона
Вопрос id:692533
Поглощенная доза, которая не оказывает отрицательного влияния на здоровье человека, равна ___ Гр
?) 2 · 10-3
?) 8 · 10-3
?) 2 · 10-2
?) 4 · 10-2
Вопрос id:692534
Поглощенная и эквивалентная дозы зависят и от ___
?) вида ядерного реактора
?) времени облучения
?) способа защиты
?) состояния среды
Вопрос id:692535
Под действием электростатических сил отталкивания ядро разрывается на две части, излучая при этом ___
?) протоны
?) нейтроны
?) позитроны
?) кварки
Вопрос id:692536
Преимущество использования АЭС определяется ___
?) дешевой электрической энергией
?) радиоактивным фоном
?) небольшим количеством топлива
?) экологической чистотой
Вопрос id:692537
При α-распаде одного химического элемента образуется другой элемент, который расположен в таблице Д И Менделеева на ___, чем исходный
?) две клетки ближе к началу
?) три клетки ближе к началу
?) три клетки ближе к концу
?) две клетки ближе к концу
Вопрос id:692538
При β-распаде ядро радиоактивного элемента излучает ___
?) протон
?) антинейтрино
?) нейтрон
?) электрон
Вопрос id:692539
При взаимодействии с веществом α-частицы рассеиваются по всем направлениям ___
?) по прямой линии
?) на разные углы
?) в разные стороны
?) по кругу
Вопрос id:692540
При вылете α-частицы из ядра атома химического элемента заряд ядра уменьшается на ___ элементарных заряда (-ов)
?) 2
?) 5
?) 4
?) 3
Вопрос id:692541
При облучении мягких тканей живых существ рентгеновским или γ-излучением поглощенную дозу можно измерять в ___
?) герцах
?) джоулях
?) греях
?) рентгенах
Вопрос id:692542
При полном делении всех ядер, имеющихся в 1 г урана, выделилось бы столько же энергии, сколько выделяется при сгорании ___
?) 1 тонны угля
?) 3 кусков торфа
?) 2 коробок спичек
?) 2,5 т нефти
Вопрос id:692543
При прохождении через вещество сильное отклонение α-частиц возможно только в том случае, если внутри атома имеется сильное ___ поле
?) гравитационное
?) ядерное
?) электрическое
?) магнитное
Вопрос id:692544
При прочих равных условиях поглощенная и эквивалентная дозы ___ со временем
?) снижаются
?) накапливаются
?) пропадают
?) остаются постоянными
Вопрос id:692545
При прочих равных условиях поглощенная и эквивалентная дозы тем ___ время облучения
?) меньше, чем больше
?) больше, чем больше
?) меньше, чем меньше
?) больше, чем меньше
Вопрос id:692546
При радиоактивном излучении отклонение потоков частиц в ___ полях в разные стороны свидетельствует о разных знаках электрических зарядов частиц
?) магнитном
?) координатном
?) электрическом
?) гравитационном
Вопрос id:692548
При радиоактивных превращениях ___ атома претерпевает изменения
?) ядра
?) протонов
?) нейтронов
?) электронов
Вопрос id:692549
При реакции деления ядра атома часть ___ энергию разлетающихся осколков и частиц
?) внутренней энергии ядра переходит в потенциальную
?) внутренней энергии ядра переходит в кинетическую
?) ядерной энергии ядра переходит в потенциальную
?) внутренней энергии ядра переходит в электрическую
Вопрос id:692550
При самопроизвольном излучении ___ происходит превращение одного химического элемента в другой
?) квантов
?) кварков
?) β-частиц
?) α-частиц
Вопрос id:692551
При цепной ядерной реакции критическая масса урана снижается путем ___
?) применения отражающей оболочки
?) воздушного охлаждения
?) уменьшения количество примесей
?) применения замедлителя
Вопрос id:692552
Причина негативного воздействия радиации на живые существа заключается в воздействии потока ионизирующих ___
?) α- частиц
?) β- частиц
?) γ-частиц
?) кварков
Вопрос id:692553
Протонно-нейтронная модель строения ядер была предложена учеными: ___
?) Дмитрием Дмитриевичем Иваненко
?) Резерфордом
?) Вернером Гейзенбергом
?) Джеймсом Чедвиком
Вопрос id:692555
Развитием ядерной энергетики связано с принципиальными проблемами, а именно
?) радиоактивные отходы
?) возможность аварий
?) размещение АЭС
?) содействие распространению ядерного оружия
Вопрос id:692556
Реактор, работающий на изотопе уран-235, называется реактором на ___
?) быстрых протонах
?) медленных нейтронах
?) медленных протонах
?) быстрых нейтронах
Вопрос id:692558
Реакция деления ядер урана при бомбардировке их нейтронами была открыта в 1939 г ___
?) Абрикосовым
?) Гинзбургом
?) Отто Ганом
?) Фрицем Штрассманом
Вопрос id:692561
Создание высокой температуры необходимо для придания ядрам достаточно большой ___ энергии, чтобы они могли попасть в зону действия ядерных сил
?) потенциальной
?) внутренней
?) ядерной
?) кинетической
Вопрос id:692562
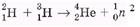
Термоядерная реакции слияние изотопов водорода, дейтерия и трития, в результате чего образуется гелий и излучается нейтрон, имеет вид
?)
?)
?)
?)
Вопрос id:692563
Термоядерной называется реакция ___ легких ядер, происходящая при температурах порядка сотен миллионов градусов
?) распада
?) слияния
?) деления
?) захвата
Вопрос id:692564
Термоядерной называется реакция слияния легких ядер атомов, происходящая при температурах порядка ___ градусов
?) сотен миллионов
?) сотен миллиардов
?) сотен тысяч
?) сотен
Вопрос id:692565
Термоядерные реакции могут идти с ___ большого количества энергии
?) поглощением
?) уничтожением
?) выделением
?) преобразованием
Вопрос id:692566
Управление ядерной реакцией заключается в регулировании ___ свободных нейтронов в уране
?) захвата
?) скорости размножения
?) деления
?) скорости уменьшения
Вопрос id:692567
Управление ядерной реакцией заключается в регулировании скорости размножения ___ в уране
?) связанных электронов
?) свободных нейтронов
?) свободных протонов
?) связанных позитронов
Вопрос id:692568
Установите соответствие
Левая частьПравая часть
формула для определения поглощенной дозы, которая равна отношению поглощенной телом энергии Е к его массе т
1 Гр =
формула для определения единицы измерения поглощенной дозы
формула для определения эквивалентной дозы облучения, которая равна произведение поглощенной дозы D на коэффициент качества К
Вопрос id:692569
Установить соответствие
Левая частьПравая часть
альфа-частицы
положительно заряженные частицы радиоактивного излучения
гамма-частицы или гамма-кванты
нейтральный поток радиоактивного излучения
бета-частицы
отрицательно заряженные частицы радиоактивного излучения
Вопрос id:692570
Установить соответствие
Левая частьПравая часть
массовое число ядра атома
равно числу атомных единиц массы, содержащихся в массе этого ядра
зарядовое число ядра атома
наименьший электрический заряд, равный по модулю заряду электрона
элементарный электрический заряд
равно числу элементарных электрических зарядов, содержащихся в заряде этого ядра
Вопрос id:692571
Установить соответствие
Левая частьПравая часть
протоны
частицы, к которым относятся протоны и нейтроны
нуклоны
частицы, не имеющие электрического заряда
нейтроны
частицы, имеющие положительный заряд
Вопрос id:692572
Установить соответствие
Левая частьПравая часть
Число нейтронов
обозначается буквой Z
зарядовое число
обозначают буквой N
массовое число
обозначается буквой А
Вопрос id:692573
Установить соответствие
Левая частьПравая часть
атомный (порядковый) номер в таблице Д И Менделеева
зарядовое число
массовое число
общее число нуклонов в ядре
зарядовое число
число протонов в ядре
Вопрос id:692574
Установить соответствие
Левая частьПравая часть
камера Вильсона
использует ионизацию газа и применяется в основном для регистрации электронов
счетчик Гейгера
при пролете заряженной частицы перегретая выше точки кипения жидкость превращается в пузырьки пара с образованием треков
пузырьковая камера
конденсация перенасыщенных паров при пролете заряженной частицы и образование треков
Вопрос id:692575
Установить соответствие
Левая частьПравая часть
изотоп водорода Н
дейтерий имеет один нейтрон
изотоп водородаН
протий не имеет нейтронов
изотоп водорода Н
тритий имеет два нейтрона
Вопрос id:692576
Установить соответствие
Левая частьПравая часть
реакция Резерфорда
правило смещения для для α-распада
правило смещения для β-распада
Вопрос id:692577
Установить соответствие
Левая частьПравая часть
гравитационные силы
силы притяжения всеми нуклонами в ядре атома, обладающими массой
кулоновские силы
силы притяжения, действующие между всеми нуклонами в ядре атома
ядерные силы
электростатические силы отталкивания между всеми протонами в ядре атома
Вопрос id:692578
Установить соответствие
Левая частьПравая часть
Формула для определения изменения энергия покоя системы частиц в ядре атома
Формула для определения дефекта массы ядра атома
Формула закона о взаимосвязи массы и энергии вещества
Вопрос id:692579
Установить соответствие
Левая частьПравая часть
замедлитель нейтронов
слой вещества, возвращающего нейтроны в активную зону ядерного реактора
отражатель нейтронов
вода, которая уменьшает скорость быстрых нейтронов, появляющихся при делении ядер урана
регулирующие стержни
эффективно поглощающие нейтроны устройства в активной зоне ядерного реактора
Вопрос id:692580
Установить соответствие
Левая частьПравая часть
конденсатор
устройство, которое вращается под действием пара, образовавшегося в змеевике ядерного реактора
генератор
устройство, входящее в состав ядерного реактора, куда возвращается отработанный пар и превращается в воду для повторения цикла теплообмена
турбина
устройство, вырабатывающее электрический ток на атомной электростанции
Вопрос id:692581
Установить соответствие
Левая частьПравая часть
эквивалентная доза
энергия ионизирующего излучения, поглощенная облучаемым веществом и рассчитанная на единицу массы
коэффициент качества
определяется как произведение поглощенной дозы на коэффициент качества
поглощенная доза излучения
показывает, во сколько раз радиационная опасность от воздействия на живой организм данного вида излучения больше, чем от воздействия γ-излучения (при одинаковых поглощенных дозах)
Вопрос id:692582
Установить соответствие
Левая частьПравая часть
K
обозначение эквивалентной дозы в ядерной физике
D
обозначение поглощенной дозы в ядерной физике
Н
обозначение коэффициента качества в ядерной физике
Copyright tests.ithead.ru 2013-2026