Тесты онлайн, бесплатный конструктор тестов. Психологические тестирования, тесты на проверку знаний.

Список вопросов базы знаний

Физика (9 класс)

Вопрос id:692652
При реактивном движении, чем с большей скоростью вырывается газ из сопла, тем скорость оболочки ракеты
?) быстрее станет равной бесконечности
?) будет больше
?) дольше будет оставаться неизменной
?) будет меньше
Вопрос id:692654
Силы, возникающие в результате гравитационного взаимодействия тел, являются ___
?) силами разной природы
?) силами одной природы
?) парой сил
?) силами гравитационной природы
Вопрос id:692655
Скорость движущейся материальной точки увеличивается за некоторое время в 4 раза, а ее импульс за это время увеличивается в ___ раз(а)
?) 2
?) 8
?) 16
?) 4
Вопрос id:692656
Скорость звука в газах тем больше, чем ___ их температура
Вопрос id:692657
Скорость маятника в крайних положениях равна нулю, а при прохождении телом положения равновесия достигает ___ значения
Вопрос id:692659
Совокупность обертонов различных источников звука может отличаться
?) помехоустойчивостью
?) амплитудами обертонов
?) количеством обертонов
?) сдвигом фаз между ними
Вопрос id:692661
Третья ступень космической ракеты используется для___ракеты
?) увеличение объема
?) увеличения массы
?) разгона
?) торможения
Вопрос id:692662
Установите соответствие
Левая частьПравая часть
полное колебание точки
один законченный цикл колебательного движения, после которого оно повторяется в том же порядке
механическое колебание
периодически повторяющееся движение материальной точки (тела), которые точно или приблизительно повторяются через равные промежутки времени
периодическое движение
движение, точно повторяющееся с течением времени
Вопрос id:692663
Установить соответствие
Левая частьПравая часть
третий закон Ньютона
силы, с которыми два тела действуют друг на друга, равны по модулю и противоположны по направлению
закон инерции
тела (материальные точки) находятся в покое или движутся прямолинейно и равномерно, т. е. сохраняют свою скорость неизменной, если на них не действуют другие тела
механика
наука о движении и взаимодействии тел
Вопрос id:692664
Установить соответствие
Левая частьПравая часть
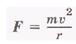
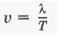
формула математического выражения центростремительной силы
формула математического выражения второго закон Ньютона
формула для определения скорости распространения волны
Вопрос id:692665
Установить соответствие
Левая частьПравая часть
ракета-носитель
ракета, предназначенная для вывода в космос искусственных спутников Земли, космических кораблей, автоматических межпланетных станций и других полезных грузов
центростремительная сила
тело, описывающее круговые траектории, оставаясь на одной и той же высоте над Землей при отсутствии сопротивления воздуха и при достаточно большой скорости
искусственный спутник Земли
сила, под действием которой тело движется по окружности с постоянной по модулю скоростью, в каждой точке направленная по радиусу окружности к ее центру
Вопрос id:692666
Установить соответствие
Левая частьПравая часть
замкнутая система
взаимодействие двух или нескольких тел только между собой без воздействия внешних сил
закон сохранения импульса
равнодействующий вектор импульса замкнутой системы, не меняющийся с течением времени при любых движениях и взаимодействиях этих тел
векторная сумма импульсов тел
векторная сумма импульсов тел, составляющих замкнутую систему, не меняется с течением времени при любых движениях и взаимодействиях этих тел
Вопрос id:692668
Установить соответствие
Левая частьПравая часть
скорость распространения электромагнитной волны
обозначение вектора напряженности электрического поля
C=3·108м/с
обозначение вектора индукции магнитного поля
Вопрос id:692670
Формула для определения длины волны имеет вид
?)
?)
?)
?)
Вопрос id:692671
Формула закона всемирного тяготения имеет вид
?)
?)
?)
?)
Вопрос id:692673
Частота свободных колебаний пружинного маятника зависит от___
?) смещения груза
?) длины пружины
?) массы груза
?) жесткости пружины
Вопрос id:692676
Чем ___ длина нити нитяного маятника, тем меньше частота его колебаний
Вопрос id:692677
Чем ___ силы сопротивления движению маятника, тем быстрее прекращаются колебания
Вопрос id:692678
Чем ___ упругие силы, возникающие в среде при ее деформации, тем быстрее передаются колебания от одной точки к другой
Вопрос id:692679
Чем больше длина нити маятника, тем ___ период его колебаний
Вопрос id:692680
Чем меньше величина магнитной индукции в данной точке поля, тем с ___ силой будет действовать поле в этой точке на движущийся электрический заряд
Вопрос id:692681
Чем меньше длина нити маятника, тем ___ период его колебаний
Вопрос id:692682
Чем___равнодействующая приложенных к телу сил, тем большее ускорение получит тело
Вопрос id:692683
Ядерный(ая)___ – устройство, предназначенное для осуществления управляемой ядерной реакции
?) прибор
?) электростанция
?) реактор
?) замедлитель
Copyright tests.ithead.ru 2013-2026