Тесты онлайн, бесплатный конструктор тестов. Психологические тестирования, тесты на проверку знаний.

Список вопросов базы знаний

Физика (9 класс)

Вопрос id:691524
Период колебания Т и частота колебаний v связаны следующей зависимостью
?)
?)
?)
?)
Вопрос id:691526
Под действием вынуждающей силы увеличение амплитуды прекратится тогда, когда энергия, теряемая маятником на преодоление силы трения, станет ___ энергии, получаемой им за счет работы вынуждающей силы
?) равна
?) больше
?) меньше
?) не равна
Вопрос id:691527
Под действием приложенных сил «маятник» совершает колебания
?) относительно максимального отклонения
?) около неподвижной точки
?) вокруг фазы
?) вокруг оси
Вопрос id:691528
Полная механическая энергия маятника определяется максимальной ___ энергией или максимальной ___ энергией
?) потенциальной, кинетической
?) потенциальной, тепловой
?) кинетической, тепловой
?) внутренней, кинетической
Вопрос id:691529
Полная механическая энергия маятника расходуется на преодоление сил сопротивления воздуха и переходит в ___ энергию
?) внутреннюю
?) электрическую
?) магнитную
?) тепловую
Вопрос id:691530
При движении пружинного маятника к положению равновесия увеличиваются
?) ускорение
?) кинетическая энергия
?) возвращающая сила
?) скорость
Вопрос id:691531
При использовании рупора звуковые волны ___ во все стороны, образуют ___ пучок
?) не распространяются, плоский
?) не рассеиваются, узконаправленный
?) рассеиваются, широкий
?) распространяются, маленький
Вопрос id:691532
При противофазных колебаниях в любой момент времени скорости маятников направлены
?) навстречу друг другу
?) одна за другой
?) в противоположные стороны
?) в одну сторону
Вопрос id:691533
При прохождении положения равновесия нитяной маятник обладает кинетической энергией
?) минимальной
?) максимальной
?) неравной нулю
?) равной нулю
Вопрос id:691534
При распространении поперечной волны слои среды будут сдвигаться друг относительно друга, совершая колебания в ___ направлении
?) линейном
?) синусоидальном
?) Вертикальном
?) горизонтальном
Вопрос id:691535
При распространении поперечных волн сдвиги слоев возникают только в ___ телах
?) твердых и газообразных
?) жидких
?) твердых
?) газообразных
Вопрос id:691536
При распространении продольных волн происходит деформация слоев среды, которая состоит в изменении ___ среды
?) излома
?) состава
?) плотности
?) изгиба
Вопрос id:691537
При растяжении пружины с шариком возникает сила, которая, по закону Гука, пропорциональна смещению - отклонению шарика от положения равновесия, и направлена
?) В сторону смещения
?) Перпендикулярно смещению вверх
?) Перпендикулярно смещению вниз
?) Противоположно смещению
Вопрос id:691538
При растяжении пружины совершается некоторая работа по преодолению силы ___ , благодаря чему пружина приобретает ___ энергию
?) упругости, потенциальную
?) тяжести, потенциальную
?) тяжести, кинетическую
?) упругости, кинетическую
Вопрос id:691539
При совершении телом гармонических колебаний изменяются по закону синуса или косинуса следующие величины
?) ускорение
?) Время
?) скорость
?) возвращающая сила
Вопрос id:691542
Распространение звуковых колебаний в пространстве называется
?) резонансом
?) эхом
?) звуковыми волнами
?) шумом
Вопрос id:691543
Расстояние между ближайшими друг к другу точками, колеблющимися в одинаковых фазах, называется ___ волны
?) Длиной
?) периодом
?) Перемещением
?) Смещением
Вопрос id:691544
Свойство звуковых волн складываться в точке пространства, куда приходит несколько волн одновременно, называется
?) поляризацией
?) дисперсией
?) дифракцией
?) интерференцией
Вопрос id:691545
Сколько раз в колебательном движении любое тело проходит через положение равновесия, двигаясь в противоположных направлениях
?) трижды
?) один раз
?) ни одного раза
?) дважды
Вопрос id:691546
Скорость звука в воздухе при 0 °С и нормальном атмосферном давлении равна ___ м/с
?) 700
?) 630
?) 455
?) 332
Вопрос id:691547
Скорость звука в газах тем ___, чем ___ их температура
?) меньше, выше
?) меньше, ниже
?) больше, выше
?) больше, ниже
Вопрос id:691548
Скорость маятника в крайних положениях ___ нулю , а при прохождении телом положения равновесия достигает ___ значения
?) равна, наименьшего
?) не равна, наибольшего
?) не равна, наименьшего
?) равна, наибольшего
Вопрос id:691549
Скорость распространения волны связана с длиной волны и периодом колебаний источника соотношением
?)
?)
?)
?)
Вопрос id:691550
Скорость распространения волны связана с длиной волны и частотой колебаний источника соотношением
?)
?)
?)
?)
Вопрос id:691553
Суммой потенциальной и кинетической энергии в любой момент времени колебания определяется ___ энергия маятника
?) внутренняя
?) магнитная
?) тепловая
?) полная механическая
Вопрос id:691554
Ультразвуковые и инфразвуковые колебания ___ человеческим ухом
?) не воспринимаются
?) воспринимаются
?) различаются
?) отсекаются
Вопрос id:691555
Ультразвуковыми колебаниями называются механические колебания, частота которых ___ Гц
?) 20 – 16000
?) превышает 20 000
?) 10 –2000
?) менее 20000
Вопрос id:691556
Упругие поперечные волны могут распространяться только в ___ телах
?) жидких
?) твердых и газообразных
?) твердых
?) газообразных
Вопрос id:691557
Упругие продольные волны могут распространяться в ___ среде
?) плазменной
?) жидкой
?) газообразной
?) твердой
Вопрос id:691558
Установит соответствие
Левая частьПравая часть
периодическое движение
движение, точно повторяющееся с течением времени
механическое колебание
один законченный цикл колебательного движения, после которого оно повторяется в том же порядке
полное колебанием точки
периодически повторяющееся движение материальной точки (тела), которые точно или приблизительно повторяются через равные промежутки времени
Вопрос id:691559
Установить соответствие
Левая частьПравая часть
колебательные системы
сила, возвращающая колебательную систему в положение устойчивого равновесия
возвращающая сила
колебания, происходящие благодаря начальному запасу энергии в колебательной системе
свободные колебания
системы тел, которые способны совершать свободные колебания
Вопрос id:691560
Установить соответствие
Левая частьПравая часть
период колебаний
число колебаний тела в единицу времен
частота колебаний
промежуток времени, в течение которого тело совершает одно полное колебание
амплитуда колебаний
наибольшее (по модулю) отклонение колеблющегося тела от положения равновесия
Вопрос id:691561
Установить соответствие
Левая частьПравая часть
герц
единица измерения частоты колебаний в СИ
секунда
единица измерения периода колебаний в СИ
метр
единица измерения амплитуды колебаний в СИ
Вопрос id:691562
Установить соответствие
Левая частьПравая часть
собственная частота колебательной системы
частота свободных колебаний колебательной системы, которая зависит от параметров системы
движение в противоположных фазах
движение двух одинаковых маятников, в один и тот же момент времени в разных направлениях с одинаковой частотой и с одинаковыми амплитудами
движение с одинаковыми фазами
движение двух одинаковых маятников, в один и тот же момент времени в одинаковых направлениях с одинаковой частотой и одинаковым отклонением от положения равновесия
Вопрос id:691563
Установить соответствие
Левая частьПравая часть
гармонические колебания
часть периода колебания, соответствующая выбранному моменту времени
числовое значение фазы
колебания, в которых происходят периодические изменения во времени физических величин по закону синуса или косинуса
фаза колебания
физическая величина, характеризующая как положение, так и направление колеблющегося тела в заданный момент времени
Вопрос id:691564
Установить соответствие
Левая частьПравая часть
математический маятник
колебания, амплитуда которых постепенно уменьшается, и через некоторое время эти колебания прекращаются
затухающие колебания
материальная точка, колеблющаяся на невесомой и нерастяжимой нити
полная механическая энергия маятника
сумма потенциальной и кинетической энергией маятника в любой момент времени колебания
Вопрос id:691565
Установить соответствие
Левая частьПравая часть
установившиеся колебания
колебания, совершаемые телом под действием внешней периодически изменяющейся силы
вынуждающая сила
вынужденные колебания, амплитуда и частота которых перестают меняться
вынужденные колебания
внешняя периодически изменяющаяся сила, вызывающая незатухающие колебания
Вопрос id:691566
Установить соответствие
Левая частьПравая часть
обертон
резкое возрастание амплитуды вынужденных колебаний при совпадении частоты изменения внешней силы, действующей на систему, с частотой свободных колебаний
Интерференционная картина
не меняющаяся со временем картина распределения в пространстве максимумов и минимумов амплитуд колебаний
резонанс
частота звукового колебания, входящего в состав сложного звука
Вопрос id:691567
Установить соответствие
Левая частьПравая часть
бегущая волна
возмущение, распространяющееся в пространстве, удаляясь от места его возникновения
поперечная волна
волна, в которой колебания происходят вдоль направления ее распространения
продольная волна
волна, в которой распространение колебания происходит перпендикулярно направлению ее распространения
Вопрос id:691568
Установить соответствие
Левая частьПравая часть
упругие волны
механические возмущения, распространяющиеся в упругой среде
волны сдвига
продольные волны, при распространении которых происходит уплотнение и разряжение среды
волны сжатия и разрежения
поперечные механические волны, при распространении которых слои среды будут сдвигаться друг относительно друга, совершая колебания в вертикальном направлении
Вопрос id:691569
Установить соответствие
Левая частьПравая часть
источники звука
распространение звуковых колебаний в пространстве
длина волны
расстояние между ближайшими друг к другу точками, колеблющимися в одинаковых фазах
звуковые волны
тела, порождающие звук
Вопрос id:691570
Установить соответствие
Левая частьПравая часть
формула для определения скорости распространения волны
формула для определения скорости распространения волны
формула для определения длины волны
Вопрос id:691571
Установить соответствие
Левая частьПравая часть
ультразвуковые колебания
механические колебания, частота которых менее 20 Гц
инфразвуковые колебания
механические колебания, частота которых превышает 20 000 Гц
звуковые колебания
колебания диапазона частот от 20 Гц до 20 000 Гц
Вопрос id:691572
Установить соответствие
Левая частьПравая часть
высота звука
зависит от частоты колебаний: чем больше частота колебаний источника звука, тем выше издаваемый им звук
чистый тон
самая низкая (самая малая) частота сложного звука
основная частота источника звука
звук источника, совершающего гармонические колебания одной частоты
Вопрос id:691573
Установить соответствие
Левая частьПравая часть
громкость звука
явление сложения в пространстве волн, при котором образуется постоянное во времена распределение амплитуд результирующих колебаний
тембр звука
величина, зависящая от амплитуды колебаний: чем больше амплитуда колебаний, тем громче звук
интерференция
качество звука, которое позволяет отличать звуки одних источников от звуков других, определяется совокупностью обертонов
Вопрос id:691574
Установить соответствие
Левая частьПравая часть
децибел (дБ),
единица измерения громкости звука
когерентные источники
единица измерения уровня звукового давления, характеризует громкость звука
сон
источники, которые дают волны одинаковой частоты, и для фиксированной точки пространства разность фаз колебаний остаются постоянной, не меняющуюся со временем
Вопрос id:691575
Формула закона Гука, в которой проекция силы упругости направлена на ось Х, имеет вид
?) ах =
?) Fx = –kx
?) Fx t = mV – mV0
?) Fx = m ах
Вопрос id:691576
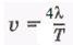
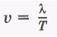
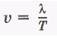
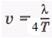
Частота колебаний v и период колебания Т связаны следующей зависимостью
?)
?)
?)
?)
Вопрос id:691577
Частота установившихся вынужденных колебаний ___ частоте вынуждающей силы
?) Не равна
?) Меньше
?) Больше
?) Равна
Вопрос id:691578
Частоты всех обертонов данного звука в ___ больше частоты его основного тона
?) целое число раз меньше
?) дробное число раз меньше
?) целое число раз больше
?) дробное число раз больше
Copyright tests.ithead.ru 2013-2026