Тесты онлайн, бесплатный конструктор тестов. Психологические тестирования, тесты на проверку знаний.

Список вопросов базы знаний

Физика (9 класс)

Вопрос id:691684
Направление силы, действующей на проводник с током, помещенный в магнитное поле, определяется
?) Напряженностью электрического поля
?) Направлением линий магнитного поля
?) Величиной электрического тока
?) Направлением тока в проводнике
Вопрос id:691685
Направление силы, с которой магнитное поле действует на отдельно взятую движущуюся в нем частицу, можно определить при помощи правила
?) левой руки
?) буравчика
?) винта
?) правой руки
Вопрос id:691686
Напряженность электрического поля является ___ величиной
?) полярной
?) мнимой
?) скалярной
?) векторной
Вопрос id:691687
Неподвижная часть генератора переменного тока, аналогичная замкнутому контуру, называется
?) механизм
?) ротор
?) статор
?) станина
Вопрос id:691688
Опыт Юнга, получившего интерференционную картину света, доказал, что свет обладает ___ свойствами
?) волновыми
?) механическими
?) оптическими
?) тепловыми
Вопрос id:691689
Основная несущая часть машины, на которой монтируются различные рабочие узлы, механизмы генератора переменного тока, называется
?) статор
?) ротор
?) механизм
?) станина
Вопрос id:691690
Основной количественной характеристикой электрического поля служит векторная величина, называемая электрического поля
?) напряженностью
?) зарядом
?) напряжением
?) потенциалом
Вопрос id:691691
Переменное - магнитное поле, пронизывающее замкнутый контур проводника, создает в нем ___ поле, под действием которого и возникал индукционный ток
Вопрос id:691692
Переменное электрическое поле называется ___, если его силовые линии замкнуты
?) поляризованным
?) статическим
?) индукционным
?) вихревым
Вопрос id:691693
Порождающие друг друга переменные электрическое и магнитное поля образуют единое ___ поле
?) поляризованное
?) гравитационное
?) электромагнитное
?) напряженное
Вопрос id:691694
Поскольку магнитные линии искривлены, то направление силы магнитного поля
?) противоположно в соседних точках
?) не меняется от точки к точке
?) одинаково во всех точках
?) меняется от точки к точке
Вопрос id:691695
Постоянного, не меняющегося во времени электрическое поле, которое существует вокруг неподвижных заряженных тел, называется
?) поляризованным
?) нейтральным
?) вихревым
?) электростатическим
Вопрос id:691696
Правило правой руки можно применять и для определения направления линий магнитного поля в центре
?) соленоида
?) рамки с током
?) прямолинейного проводника
?) одиночного витка с током
Вопрос id:691697
При введении в катушку, замкнутую на гальванометр, магнита, отклонение стрелки гальванометра указывает на появление в цепи катушки
?) электрической силы
?) индукционного тока
?) электрического поля
?) электрического потенциала
Вопрос id:691698
При вращении вокруг оси контура, находящегося в магнитном поле, проходящий сквозь него поток уменьшается и становится равным нулю, когда плоскость контура располагается ___ линиям магнитной индукции
?) перпендикулярно
?) параллельно
?) под тупым углом
?) под острым углом
Вопрос id:691699
При движении электромагнита внутри катушки, замкнутой на гальванометр, возникает
?) электрическая сила
?) индукционный ток
?) электрический потенциал
?) электрический ток
Вопрос id:691700
При извлечении магнита из катушки, замкнутой на гальванометр, наблюдается отклонение стрелки гальванометра, что указывает на возникновение в катушке ___ тока
?) гравитационного
?) электрического
?) индукционного
?) магнитного
Вопрос id:691701
При изображении магнитного поля магнитные линии имеют направление от ___ полюса к Южному полюсу
Вопрос id:691702
При изображении магнитного поля магнитные линии имеют направление от Северного полюса к ___ полюсу
Вопрос id:691703
При наложении двух ___ волн образуется так называемая интерференционная картина
?) некогерентных
?) когерентных
?) гармонических
?) продольных
Вопрос id:691704
При наложении двух когерентных волн в пространстве образуется картина, которая состоит из чередующихся светлых и темных полос и называется
?) дисперсионной
?) интерференционной
?) дифракционной
?) полярной
Вопрос id:691705
При одинаковой величине индукции магнитного поля магнитный поток, пронизывающий контур с большей площадью будет
?) одинаковый
?) меньше
?) больше
?) стремится к нулю
Вопрос id:691706
При перемещении катушки относительно неподвижного магнита, будет наблюдаться появление
?) индукционного тока
?) электрического тока
?) электрического потенциала
?) электрической силы
Вопрос id:691709
Сила действия магнитного поля на проводник с током или движущуюся заряженную частицу равна ___, если направление тока в проводнике или скорость частицы совпадают с линией магнитной индукции или параллельны ей
?) минус единице
?) положительному числу
?) нулю
?) единице
Вопрос id:691710
Сила действия магнитного поля на проводник с током равна нулю, если направление тока в проводнике и направление линий магнитной индукции
?) параллельны
?) не параллельны
?) совпадают
?) не совпадают
Вопрос id:691711
Сила тока, вырабатываемого генераторами переменного тока, меняется со временем по ___ закону
?) Ома
?) гармоническому
?) тангенса
?) синуса
Вопрос id:691713
Силовой характеристикой магнитного поля является
?) магнитный поток
?) магнитная индукция
?) магнитная проницаемость
?) намагниченность
Вопрос id:691714
Синусоидальный электрический ток имеет следующие параметры
?) амплитуда
?) длина волны
?) частота
?) период
Вопрос id:691715
Система порождающих друг друга и распространяющихся в пространстве переменных электрического и магнитного полей, называется ___ волной
Вопрос id:691716
Состояние пространства, которое дает о себе знать действием магнитных сил, называется полем
?) гравитационным
?) электрическим
?) координатным
?) магнитным
Вопрос id:691717
Стандартная частота переменного тока, применяемого в промышленности и осветительной сети в России и многих других странах, равна ___ Гц
?) 80
?) 60
?) 100
?) 50
Вопрос id:691718
Теорию электромагнитного поля создал
?) Андре Ампер
?) Исаак Ньютон
?) Майкл Фарадей
?) Джеймс Максвелл
Вопрос id:691719
Ускоренно движущиеся электрические заряженные частицы являются источниками ___ поля
?) электрического
?) магнитного
?) гравитационного
?) электромагнитного
Вопрос id:691720
Установит соответствие
Левая частьПравая часть
формула для определения модуля магнитной индукции
формула для определения соответствия между единицей магнитной индукции и единицами других величин СИ
формула для определения длины электромагнитной волны
Вопрос id:691721
Установить соответствие
Левая частьПравая часть
явление электромагнитной индукции
возникновение электрического тока в замкнутом проводнике при всяком изменении магнитного потока, пронизывающего контур проводника
переменный ток
электрический ток, периодически меняющийся со временем по модулю и направлению
постоянный ток
электрический ток, величина которого в проводнике не изменяется с течение времени
Вопрос id:691722
Установить соответствие
Левая частьПравая часть
статор
неподвижная часть генератора переменного тока, аналогичная замкнутому контуру
станина
вращающаяся часть генератора переменного тока, то есть магнит
ротор
основная несущая часть машины, на которой монтируются различные рабочие узлы, механизмы генератора переменного тока.
Вопрос id:691723
Установить соответствие
Левая частьПравая часть
электрическое вихревое поле
существует вокруг неподвижных заряженных тел
электромагнитное поле
существует вокруг ускоренно движущихся заряженных тел
электростатическое поле
переменное электрическое поле, силовые линии которого замкнуты
Вопрос id:691724
Установить соответствие
Левая частьПравая часть
постоянное магнитное поле
образуется вокруг зарядов, движущихся с постоянной скоростью
электромагнитное поле
образуется порождающими друг друга переменными электрическим и магнитным полями
переменное магнитное поле
создается в пространстве переменным электрическим поле
Вопрос id:691725
Установить соответствие
Левая частьПравая часть
механическая волна
система порождающих друг друга и распространяющихся в пространстве переменных электрического и магнитного полей
звуковая волна
передача энергия от одних частиц среды к другим при периодическом смещении частиц от положения равновесия
электромагнитная волна
волна, вызывающая ощущение звука и распространяются в упругой среде
Вопрос id:691726
Установить соответствие
Левая частьПравая часть
напряженность электрического поля
равна силе, с которой магнитное поле действует на проводник с током, расположенный перпендикулярно к направлению магнитных линий
индукция магнитного поля
в точке равна силе, с которой поле действует на единичный положительный заряд, помещенный в эту точку
длина электромагнитной волны
расстояние, на которое переместится волна за время, равное периоду колебаний
Вопрос id:691728
Установить соответствие
Левая частьПравая часть
когерентные волны
не меняющаяся со временем картина распределения в пространстве максимумов и минимумов амплитуд колебаний
интерференционная картина
частицы электромагнитного излучения
фотон
волны, которые совершают колебания с одинаковой частотой или постоянной разность фаз, не меняющейся со временем
Вопрос id:691729
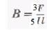
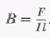
Формула для определения модуля магнитной индукции В, если известна сила F, которая действует на проводник с током, длиной , и величиной тока I, имеет вид
?)
?)
?)
?)
Вопрос id:691730
Частицы электромагнитного излучения называются
?) квантами
?) фотонами
?) позитронами
?) электронами
Вопрос id:691731
Частота переменного электрического тока, вырабатываемого генератором переменного тока, зависит от
?) величины станины
?) размеров ротора
?) скорости вращения ротора
?) числа пар полюсов
Вопрос id:691732
Чем ___ к полюсу магнита расположена магнитная стрелка, тем с ___ по модулю силой действует на нее поле магнита
?) ближе меньшей
?) ближе большей
?) дальше большей
?) дальше меньшей
Вопрос id:691733
Чем ___ пар полюсов, тем больше частота переменного электрического тока, вырабатываемого генератором при данной скорости вращения ротора
Вопрос id:691734
Чем ___ величина магнитная индукция в данной точке поля, тем с большей силой будет действовать поле в этой точке на магнитную стрелку
Вопрос id:691735
Чем ___ меняется напряженность электрического поля, тем меньше индукция возникающего магнитного поля
Вопрос id:691736
Чем ближе к ___ магнита расположена магнитная стрелка, тем с большей по модулю силой действует на нее поле магнита.
Вопрос id:691737
Чем ближе к полюсу магнита расположена магнитная стрелка, тем с ___ по модулю силой действует на нее поле магнита
Copyright tests.ithead.ru 2013-2026