Тесты онлайн, бесплатный конструктор тестов. Психологические тестирования, тесты на проверку знаний.
Список вопросов базы знанийЕГЭ Биология
Вопрос id:440916 Тема/шкала: 02.Клетка: состав строение, функции-Функции органоидов клетки,02.Клетка: состав строение, функции
Основная функция митохондрий ?) синтез АТФ ?) редупликация ДНК ?) синтез углеводов ?) биосинтез белка Вопрос id:440917 Тема/шкала: 02.Клетка: состав строение, функции-Функции органоидов клетки,02.Клетка: состав строение, функции
Комплекс Гольджи НЕ участвует в ?) транспорте веществ ?) накоплении секретов ?) образовании лизосом ?) образовании АТФ Вопрос id:440918 Тема/шкала: 02.Клетка: состав строение, функции-Функции органоидов клетки,02.Клетка: состав строение, функции
Гидролитическое расщепление высокомолекулярных веществ в клетке осуществляется в ?) цитоплазме ?) митохондриях ?) лизосомах ?) эндоплазматической сети Вопрос id:440919 Тема/шкала: 02.Клетка: состав строение, функции-Функции органоидов клетки,02.Клетка: состав строение, функции
Синтез белка происходит в ?) рибосомах ?) аппарате Гольджи ?) гладкой эндоплазматической сети ?) лизосомах Вопрос id:440920 Тема/шкала: 02.Клетка: состав строение, функции-Функции органоидов клетки,02.Клетка: состав строение, функции
В клетках животных полисахариды синтезируются в ?) лизосомах ?) ядре ?) рибосомах ?) эндоплазматической сети Вопрос id:440921 Тема/шкала: 02.Клетка: состав строение, функции-Функции органоидов клетки,02.Клетка: состав строение, функции
Макромолекулы органических веществ в клетке расщепляются до мономеров в ?) лизосомах ?) хлоропластах ?) митохондриях ?) эндоплазматической сети Вопрос id:440922 Тема/шкала: 02.Клетка: состав строение, функции-Функции органоидов клетки,02.Клетка: состав строение, функции
Синтез молекул ДНК в клетке происходит в ?) рибосомах ?) аппарате Гольджи ?) лизосомах ?) ядре Вопрос id:440923 Тема/шкала: 02.Клетка: состав строение, функции-Функции органоидов клетки,02.Клетка: состав строение, функции
Образование лизосом и рост мембран эндоплазматической сети происходит благодаря деятельности ?) клеточного центра ?) комплекса Гольджи ?) вакуолей ?) пластид Вопрос id:440924 Тема/шкала: 02.Клетка: состав строение, функции-Функции органоидов клетки,02.Клетка: состав строение, функции
Какую функцию выполняет в клетке клеточный центр ?) принимает участие в клеточном делении ?) является хранителем наследственной информации ?) отвечает за биосинтез белка ?) является центром матричного синтеза рибосомной РНК Вопрос id:440925 Тема/шкала: 02.Клетка: состав строение, функции-Функции органоидов клетки,02.Клетка: состав строение, функции
В рибосомах, в отличие от комплекса Гольджи, происходит ?) синтез липидов и углеводов ?) окисление нуклеиновых кислот ?) окисление углеводов ?) синтез молекул белка Вопрос id:440926 Тема/шкала: 02.Клетка: состав строение, функции-Функции органоидов клетки,02.Клетка: состав строение, функции
Какую функцию в клетке выполняет клеточный центр? ?) формирует нити веретена деления ?) синтезирует гидролитические ферменты ?) формирует большую и малую субъединицы рибосом ?) накапливает АТФ в интерфазе Вопрос id:440927 Тема/шкала: 02.Клетка: состав строение, функции-Функции органоидов клетки,02.Клетка: состав строение, функции
Укажите органоид, в котором происходит избирательный транспорт веществ ?) хлоропласт ?) митохондрия ?) плазматическая мембрана ?) комплекс Гольджи Вопрос id:440928 Тема/шкала: 02.Клетка: состав строение, функции-Функции органоидов клетки,02.Клетка: состав строение, функции
Основная функция митохондрий — ?) синтез углеводов ?) редупликация ДНК ?) синтез АТФ ?) биосинтез белка Вопрос id:440929 Тема/шкала: 02.Клетка: состав строение, функции-Функции органоидов клетки,02.Клетка: состав строение, функции
Хлоропласты в растительной клетке выполняют функции ?) хранения и передачи наследственной информации дочерним клеткам ?) транспорта органических и неорганических веществ в клетке ?) окисления органических веществ до неорганических с освобождением энергии ?) образования органических веществ из неорганических с использованием энергии света Вопрос id:440930 Тема/шкала: 02.Клетка: состав строение, функции-Функции органоидов клетки,02.Клетка: состав строение, функции
Органоид, отграниченный от цитоплазмы одной мембраной, содержащий множество ферментов, которые расщепляют сложные органические вещества до простых, мономеров, — ?) митохондрия ?) лизосома ?) аппарат Гольджи ?) рибосома Вопрос id:440931 Тема/шкала: 02.Клетка: состав строение, функции-Функции органоидов клетки,02.Клетка: состав строение, функции
Какую функцию выполняют в клетке лизосомы? ?) расщепляют биополимеры до мономеров ?) окисляют глюкозу до углекислого газа и воды ?) осуществляют синтез органических веществ ?) осуществляют синтез полисахаридов из глюкозы Вопрос id:440932 Тема/шкала: 02.Клетка: состав строение, функции-Функции органоидов клетки,02.Клетка: состав строение, функции
Митохондрий нет в клетках ?) стафилококка ?) дрозда ?) мха ?) карася Вопрос id:440933 Тема/шкала: 02.Клетка: состав строение, функции-Функции органоидов клетки,02.Клетка: состав строение, функции
В клубнях картофеля запасы крахмала накапливаются в ?) хромопластах ?) хлоропластах ?) лейкопластах ?) митохондриях Вопрос id:440934 Тема/шкала: 02.Клетка: состав строение, функции-Функции органоидов клетки,02.Клетка: состав строение, функции
Ядрышко – это место образования ?) хромосом ?) рибосом ?) ДНК ?) лизосом Вопрос id:440935 Тема/шкала: 02.Клетка: состав строение, функции-Функции органоидов клетки,02.Клетка: состав строение, функции
Ядро в клетке растений открыл ?) Р. Гук ?) Р. Броун ?) А. Левенгук ?) И. Мечников Вопрос id:440936 Тема/шкала: 02.Клетка: состав строение, функции-Функции органоидов клетки,02.Клетка: состав строение, функции
Движение одноклеточного животного обеспечивают ?) жгутики и реснички ?) клеточный центр ?) цитоскелет клетки ?) сократительные вакуоли Вопрос id:440937 Тема/шкала: 02.Клетка: состав строение, функции-Функции органоидов клетки,02.Клетка: состав строение, функции
Энергия для жизнедеятельности клетки вырабатывается в ?) ЭПС ?) ядре ?) митохондриях ?) рибосомах Вопрос id:440938 Тема/шкала: 02.Клетка: состав строение, функции-Функции органоидов клетки,02.Клетка: состав строение, функции
Какие органоиды клетки участвуют в процессе, изображенном на рисунке??) аппарат Гольджи ?) лизосомы ?) рибосомы ?) митохондрии Вопрос id:440939 Тема/шкала: 02.Клетка: состав строение, функции-Функции органоидов клетки,02.Клетка: состав строение, функции
Какой органоид обеспечивает транспорт веществ в клетке? ?) эндоплазматическая сеть ?) митохондрия ?) хлоропласт ?) рибосома Вопрос id:440940 Тема/шкала: 02.Клетка: состав строение, функции-Функции органоидов клетки,02.Клетка: состав строение, функции
Что происходит в хлоропластах клетки? ?) образование центриолей ?) клеточное дыхание ?) формирование лизосом ?) процесс фотосинтеза Вопрос id:440941 Тема/шкала: 02.Клетка: состав строение, функции-Функции органоидов клетки,02.Клетка: состав строение, функции
Какой цифрой на рисунке обозначен органоид, в котором происходит синтез АТФ??) 1 ?) 4 ?) 3 ?) 2 Вопрос id:440942 Тема/шкала: 02.Клетка: состав строение, функции-Функции органоидов клетки,02.Клетка: состав строение, функции
В лизосомах происходит ?) фотосинтез ?) конъюгация хромомосом ?) расщепление органических веществ ?) синтез белков Вопрос id:440944 Тема/шкала: 02.Клетка: состав строение, функции-Функции органоидов клетки,02.Клетка: состав строение, функции
Структура ядра, принимающая участие в образовании субъединиц рибосом, — ?) ядерный сок ?) кариоплазма ?) ядерная оболочка ?) ядрышко Вопрос id:440945 Тема/шкала: 02.Клетка: состав строение, функции-Функции органоидов клетки,02.Клетка: состав строение, функции
Одна из функций клеточного центра — ?) образование веретена деления ?) управление биосинтезом белка ?) формирование ядерной оболочки ?) перемещение веществ в клетке Вопрос id:440946 Тема/шкала: 02.Клетка: состав строение, функции-Функции органоидов клетки,02.Клетка: состав строение, функции
В каком органоиде накапливаются синтезируемые в клетке белки, жиры и углеводы? ?) комплексе Гольджи ?) лизосоме ?) рибосоме ?) митохондрии Вопрос id:440947 Тема/шкала: 02.Клетка: состав строение, функции-Функции органоидов клетки,02.Клетка: состав строение, функции
Лизосома представляет собой
?) органоид, отграниченный от цитоплазмы одной мембраной ?) систему связанных между собой канальцев и полостей ?) две центриоли, расположенные в уплотнённой цитоплазме ?) две связанные между собой субъединицы Вопрос id:440948 Тема/шкала: 02.Клетка: состав строение, функции-Функции органоидов клетки,02.Клетка: состав строение, функции
Одна из функций клеточного центра — ?) перемещение веществ в клетке ?) формирование ядерной оболочки ?) управление биосинтезом белка ?) образование веретена деления Вопрос id:440949 Тема/шкала: 02.Клетка: состав строение, функции-Функции органоидов клетки,02.Клетка: состав строение, функции
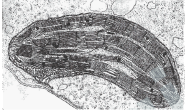
Какова функция органоида, электронная микрофотография которого представлена на рисунке? ![]() ?) окисление углеводов и синтез АТФ ?) синтез ДНК на матрице ДНК ?) синтез АТФ с использованием энергии солнца ?) окисление железа и синтез АТФ Вопрос id:440950 Тема/шкала: 02.Клетка: состав строение, функции-Функции органоидов клетки,02.Клетка: состав строение, функции
Какова функция органоида, электронная микрофотография которого представлена на рисунке? ![]() ?) синтез липидов за счёт окисления соединений азота ?) синтез углеводов за счёт энергии света ?) синтез углеводов за счёт окисления соединений железа ?) синтез липидов за счёт энергии света Вопрос id:440951 Тема/шкала: 02.Клетка: состав строение, функции-Функции органоидов клетки,02.Клетка: состав строение, функции
Что из перечисленного сходно у клеток белого гриба и зайца? ?) способность к фагоцитозу ?) тип питания ?) строение клеточной стенки ?) число хромосом в клетках Вопрос id:440952 Тема/шкала: 02.Клетка: состав строение, функции-Химическая организация клетки,02.Клетка: состав строение, функции
Какую функцию выполняют белки, ускоряющие химические реакции в клетке ?) ферментативную ?) информационную ?) гормональную ?) сигнальную Вопрос id:440953 Тема/шкала: 02.Клетка: состав строение, функции-Химическая организация клетки,02.Клетка: состав строение, функции
Липиды в организме человека образуются из ?) аминокислот ?) глицерина и жирных кислот ?) глюкозы и фруктозы ?) углекислого газа и воды Вопрос id:440954 Тема/шкала: 02.Клетка: состав строение, функции-Химическая организация клетки,02.Клетка: состав строение, функции
Вещества, содержащие азот, образуются при биологическом окислении ?) жиров ?) глицерина ?) углеводов ?) белков Вопрос id:440955 Тема/шкала: 02.Клетка: состав строение, функции-Химическая организация клетки,02.Клетка: состав строение, функции
Только белки выполняют функцию ?) энергетическую ?) защитную ?) запасающую ?) двигательную Вопрос id:440956 Тема/шкала: 02.Клетка: состав строение, функции-Химическая организация клетки,02.Клетка: состав строение, функции
Основным источником энергии в организме являются ?) углеводы ?) гормоны ?) витамины ?) ферменты Вопрос id:440957 Тема/шкала: 02.Клетка: состав строение, функции-Химическая организация клетки,02.Клетка: состав строение, функции
Функция простых углеводов в клетке — ?) каталитическая ?) участие в биосинтезе белка ?) энергетическая ?) хранение наследственной информации Вопрос id:440958 Тема/шкала: 02.Клетка: состав строение, функции-Химическая организация клетки,02.Клетка: состав строение, функции
В клетках каких организмов содержится в десятки раз больше углеводов, чем в клетках животных? ?) простейших ?) бактерий-сапрофитов ?) одноклеточных ?) растений Вопрос id:440959 Тема/шкала: 02.Клетка: состав строение, функции-Химическая организация клетки,02.Клетка: состав строение, функции
По своей природе ферменты относятся к ?) углеводам ?) белкам ?) нуклеиновым кислотам ?) липидам Вопрос id:440960 Тема/шкала: 02.Клетка: состав строение, функции-Химическая организация клетки,02.Клетка: состав строение, функции
АТФ образуется в процессе ?) разложения крахмала с образованием глюкозы ?) окисления органических веществ в клетке ?) синтеза белков на рибосомах ?) фагоцитоза Вопрос id:440961 Тема/шкала: 02.Клетка: состав строение, функции-Химическая организация клетки,02.Клетка: состав строение, функции
Белки, в отличие от углеводов и жиров, могут выполнять функцию ?) энергетическую ?) запасающую ?) каталитическую ?) защитную Вопрос id:440962 Тема/шкала: 02.Клетка: состав строение, функции-Химическая организация клетки,02.Клетка: состав строение, функции
Клетчатка и гликоген относятся к ?) полисахаридам ?) белкам ?) липидам ?) моносахаридам Вопрос id:440963 Тема/шкала: 02.Клетка: состав строение, функции-Химическая организация клетки,02.Клетка: состав строение, функции
Входят в состав ферментов и влияют на обмен веществ ?) витамины ?) углеводы ?) гормоны ?) жиры Вопрос id:440964 Тема/шкала: 02.Клетка: состав строение, функции-Химическая организация клетки,02.Клетка: состав строение, функции
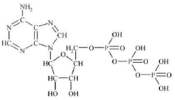
На рисунке показана химическая формула молекулы?) аминокислоты ?) нуклеотида дезоксирибонуклеотида ?) нуклеотида рибонуклеотида ?) АТФ Вопрос id:440965 Тема/шкала: 02.Клетка: состав строение, функции-Химическая организация клетки,02.Клетка: состав строение, функции
Что изображено на рисунке??) молекула ДНК во вторичной структуре ?) молекула белка в первичной структуре ?) молекула белка во вторичной структуре ?) молекула белка в четвертичной структур Вопрос id:440966 Тема/шкала: 02.Клетка: состав строение, функции-Химическая организация клетки,02.Клетка: состав строение, функции
Гидрофобные и гидрофильные свойства фосфолипидов лежат в основе ?) взаимодействия молекул липидов с углеводами ?) их регуляторной функции ?) выполнения ими энергетической функции ?) их участия в образовании плазматической мембраны |
Copyright tests.ithead.ru 2013-2026
Какие органоиды клетки участвуют в процессе, изображенном на рисунке?
Какой цифрой на рисунке обозначен органоид, в котором происходит синтез АТФ?

На рисунке показана химическая формула молекулы
Что изображено на рисунке?