Тесты онлайн, бесплатный конструктор тестов. Психологические тестирования, тесты на проверку знаний.
Список вопросов базы знанийАлгебра и геометрия (курс 3)Вопрос id:634206 Матрица перехода от стандартного базиса ?) ![]() ?) ![]() ?) ![]() ?) ![]() Вопрос id:634207 Матрица перехода от стандартного базиса ?) ![]() ?) ![]() ?) ![]() ?) ![]() Вопрос id:634208 Матрица перехода от стандартного базиса в R3 к базису ?) ![]() ?) ![]() ?) ![]() ?) ![]() Вопрос id:634209 Многочлен относительно Вопрос id:634210 Ненулевой вектор Вопрос id:634211 Пусть вектор ?) вектор ?) вектор ?) вектор ?) вектор Вопрос id:634212 Пусть вектор ?) является собственным для матрицы ?) является собственным для матрицы ?) является собственным для матрицы ?) не является собственным вектором матрицы Вопрос id:634213 Пусть матрица ?) столбцы матрицы линейно независимы ?) всегда ?) ?) Вопрос id:634214 Размерность собственного подпространства Вопрос id:634215 Система векторов образует в R3?) ортонормированный базис ?) ненормированный базис ?) нормированный базис ?) система не образует базиса в R3 Вопрос id:634216 Система из n единичных и попарно ортогональных векторов образуют ___ (какой?) базис пространства Rn (слово) Вопрос id:634217 Собственное число Вопрос id:634218 Собственные векторы симметричной матрицы, отвечающие различным собственным значениям, взаимно ___ (слово) Вопрос id:634219 Собственные числа матрицы ?) ?) ?) собственных чисел нет ?) Вопрос id:634220 Собственный базис матрицы ?) ?) матрица не имеет собственных векторов ?) ?) Вопрос id:634221 Собственный базис матрицы ?) ?) ?) ?) Вопрос id:634222 Собственным базисом матрицы ?) ?) ?) ?) Вопрос id:634223 Собственным вектором ?) ?) ?) ?) Вопрос id:634224 Собственным вектором матрицы ?) ?) ?) ?) Вопрос id:634225 Собственным вектором матрицы ?) ?) ?) ?) Вопрос id:634226 Собственным вектором матрицы ?) ?) ?) ?) Вопрос id:634227 Собственным вектором, отвечающим собственному значению ?) ?) ?) ?) любой вектор Вопрос id:634228 Собственным числом служат?) ?) ?) ?) Вопрос id:634229 Собственным числом ?) ?) ?) ?) Вопрос id:634230 Собственными векторами матрицы ?) ?) собственных векторов нет ?) ?) любой вектор Вопрос id:634231 Собственными числами матрицы ?) ?) ?) ?) Вопрос id:634232 Собственными числами матрицы ?) ?) ?) ?) собственных чисел нет Вопрос id:634233 Собственными числами матрицы А являются числа ?) ?) ?) -1, 1, ?) -4, 1, -1 Вопрос id:634234 Собственными числами матрицы А являются числа: 2, 2, - Тогда собственные числа обратной матрицы равны ?) ?) ?) ?) Вопрос id:634235 Среди множеств ?) ?) ?) ?) Вопрос id:634236 Среди множеств решений систем уравнений: 1) 2) 3) , линейные подпространства образуют?) 1, 2, 3 ?) никакая ?) только 1 ?) 1, 2 Вопрос id:634237 Укажите верные соответствия
Вопрос id:634238 Укажите верные соответствия
Вопрос id:634239 Укажите верные соответствия
Вопрос id:634240 Укажите верные соответствия между квадратичной формой и ее знаком
Вопрос id:634241 Укажите верные соответствия между квадратичной формой и ее знаком
Вопрос id:634242 Укажите верные соответствия между многочленами и их координатами в базисе
Вопрос id:634243 Уравнение ?) при всех ?) ?) ?) ни при каких Вопрос id:634244 Уравнение вида Вопрос id:634245 Установите верные соответствия
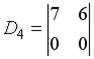
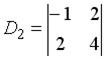
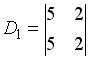
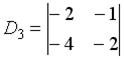
Вопрос id:634246 Число векторов в любом базисе линейного пространства равно ___ этого пространства (слово) Вопрос id:634247 Среди определителей
отличным от остальных является … ?) ?) ?) ?) Вопрос id:634248 В сечении поверхности x2 – y2 + z2 = 0 координатной плоскостью XOY получим ?) пару прямых ?) гиперболу ?) точку ?) эллипс Вопрос id:634249 В сечении поверхности x2 – y2 + z2 = 0 координатной плоскостью XOZ получим ?) пару прямых ?) точку ?) гиперболу ?) окружность Вопрос id:634250 В сечении поверхности x2 – y2 + z2 = 0 плоскостью, параллельной плоскости XOY, получается ?) равносторонняя гипербола ?) точка ?) окружность ?) эллипс Вопрос id:634251 В сечении поверхности x2 – y2 + z2 = 0 плоскостью, параллельной плоскости XOZ, получаем ?) пару прямых ?) гиперболу ?) окружность ?) точку Вопрос id:634252 В сечении поверхности x2 – y2 + z2 = 0 плоскостью, параллельной плоскости YOZ, получается ?) окружность ?) точка ?) гипербола ?) эллипс Вопрос id:634253 Вектор Вопрос id:634254 Вычислите сумму элементов первого столбца матрицы ,![]() Вопрос id:634255 Вычислите сумму элементов первого столбца матрицы ,![]() |
Copyright tests.ithead.ru 2013-2026












образует в R3
служат
2)
3)
, линейные подпространства образуют
,
,
, 
,
,