Тесты онлайн, бесплатный конструктор тестов. Психологические тестирования, тесты на проверку знаний.
Список вопросов базы знанийАлгебра и геометрия (курс 3)Вопрос id:634903 Даны точки M1(1,1,1) и M2(0,1,1). Точка M2 является ?) проекцией M1 на ось OX ?) проекцией M1 на плоскость x + y + z = 2 ?) проекцией M1 на плоскость YOZ ?) основанием перпендикуляра, опущенного из M1 на плоскость YOZ Вопрос id:634904 Даны точки M1(1,1,1) и M2(1,1,0). Точка M2 является проекцией M1 на ?) плоскость XOY ?) плоскость x + y + z = 2 ?) плоскость ZOY ?) ось OZ Вопрос id:634905 Даны точки M1(1,–1,0), M2(0,0,1) и плоскость x + 3y – 2z + 2 = 0 ?) расстояние от точки M1 до плоскости равно 0 ?) точка M2 не лежит на плоскости ?) вектор ?) вектор Вопрос id:634906 Даны точки M1(1,–1,0), M2(–1,–1,–1) и M3(0,0,1) ?) плоскость x + 3y – 2z + 2 = 0 проходит через эти точки ?) плоскость x + 3y – 2z + 2 = 0 не проходит через точку M3 ?) вектор ?) вектор (2,0,1) перпендикулярен плоскости, проходящей через точки М1, М2, М3 Вопрос id:634907 Даны точки M1(1,–1,0), M2(–1,–1,–1) и плоскость x + 3y – 2z + 2 = 0 ?) точка M1 не лежит на плоскости ?) точка M2 является проекцией точки M1 на плоскость ?) вектор ?) вектор Вопрос id:634908 Даны точки M1(1,–1,3), M2(2,0,4) и плоскость x + y + z – 6 = 0 ?) точка M2 является проекцией точки M1 на плоскость ?) прямая M1M2 параллельна плоскости ?) точка M1 является проекцией точки M2 на плоскость ?) расстояние от точки M2 до плоскости равно 2 Вопрос id:634909 Даны точки ?) вектор ?) уравнение плоскости, проходящей через эти точки, имеет вид x + 3y – z +1 =0 ?) уравнение плоскости, проходящей через эти точки, имеет вид ![]() ?) уравнение плоскости, проходящей через эти точки, имеет вид x + 3y – z =0 Вопрос id:634910 Даны точки М1(–2,2,0), М2(0,0,–2) и плоскость x + 2y – 2z – 3 = 0 ?) плоскость делит расстояние между точками пополам ?) точка М1 отстоит от плоскости вдвое ближе, чем М2 ?) обе точки удалены от плоскости на расстоянии 3 ед. ?) точка М1 отстоит от плоскости вдвое дальше, чем М2 Вопрос id:634911 Даны точки М1(–2,2,0), М2(0,0,–2) и плоскость x + 2y –2z – 3 = 0 ?) обе точки лежат на плоскости ?) точка М1 отстоит от плоскости вдвое дальше, чем М2 ?) плоскость проходит через середину отрезка М1М2 ?) точка М1 отстоит от плоскости вдвое ближе, чем М2 Вопрос id:634912 Дата плоскость 3x + y – 2z + 5 = 0. Точка P(−1,0,1) ?) расстояние от точки P до плоскости равно ?) расстояние от точки P до плоскости равно нулю ?) расстояние от точки Р до плоскости равно 5 ?) лежит на плоскости Вопрос id:634913 Для матриц А и В найдено произведение . Тогда матрица В должна иметь …?) 4 строки ?) 2 строки ?) 3 строки ?) 1 строку Вопрос id:634914 Для матриц А и В найдено произведение . Тогда матрица А должна иметь …?) 1 столбец ?) 4 столбца ?) 3 столбца ?) 2 столбца Вопрос id:634915 Для матриц А и В найдено произведение . Тогда матрица А должна иметь …?) 2 столбца ?) 4 столбца ?) 1 столбец ?) 3 столбца Вопрос id:634916 Для матриц А и В найдено произведение . Тогда матрица А должна иметь …?) 4 столбца ?) 2 столбца ?) 3 столбца ?) 1 столбец Вопрос id:634917 Для прямой Вопрос id:634918 Если , то значение определителя матрицы ?) 2 ?) 6 ?) 10 ?) 0 Вопрос id:634919 Если , то значение определителя матрицы ?) 9 ?) 0 ?) 17 ?) 11 Вопрос id:634920 Если определитель квадратной матрицы ?) ?) ?) ?) Вопрос id:634921 Если определитель квадратной матрицы ?) -2 ?) -8 ?) 2 ?) 8 Вопрос id:634922 Значение определителя равно…?) ?) ?) ?) Вопрос id:634923 Из плоскостей 1) 2x + 6y – 3z + 14 = 0; 2) 3x + 2y – 6z + 21 = 0; 3) 6x + 3y – 2z + 7 = 0 на одинаковом расстоянии от точки M0(0,0,–1) находятся плоскости ?) только 1, 2 ?) ни одна ?) 1, 2, 3 ?) только 2, 3 Вопрос id:634924 Канонические уравнения прямой ?) ?) ?) ?) Вопрос id:634925 Канонические уравнения прямой, проходящей через точки ?) ?) ?) ?) Вопрос id:634926 Канонические уравнения прямой, проходящей через точку M(2, 0, –3) параллельно оси OZ, имеют вид ?) ?) ?) ?) Вопрос id:634927 Канонические уравнения прямой, проходящей через точку М(2, 0, 1) параллельно оси OZ, имеют вид ?) ?) ?) ?) Вопрос id:634928 Каноническое уравнение прямой, проходящей через точку M(2,0,–3), перпендикулярно плоскости ?) ?) ?) ?) Вопрос id:634929 Матрица не имеет обратной при k, равном …?) - 10 ?) − 5 ?) 10 ?) 0 Вопрос id:634930 Матрица не имеет обратной при k, равном …?) 10 ?) 4 ?) 3 ?) − 4 Вопрос id:634931 Матрица не имеет обратной при k, равном …?) - 10 ?) 10 ?) 0 ?) 3 Вопрос id:634932 Матрица не имеет обратной при k, равном …?) 2 ?) 3 ?) - 4 ?) 4 Вопрос id:634933 Матрица не имеет обратной при k, равном …?) - 15 ?) 2 ?) 10 ?) 15 Вопрос id:634934 Матрица вырождена при ?) -2 ?) 8 ?) 4 ?) 2 Вопрос id:634935 Матрица не имеет обратной при k, равном …?) 0 ?) 10 ?) -10 ?) 5 Вопрос id:634936 Матрица не имеет обратной при k, равном …?) 9 ?) - 9 ?) 10 ?) 3 Вопрос id:634937 Матрица, обратная данной матрице , имеет вид …?) ![]() ?) ![]() ?) ![]() ?) ![]() Вопрос id:634938 Направляющий вектор прямой ?) ?) ?) ?) Вопрос id:634939 Направляющим вектором прямой ?) ?) ?) ?) Вопрос id:634940 Нормаль к плоскости 2y – z + 2 = 0 ?) перпендикулярна оси OX ?) параллельна оси OZ ?) параллельна плоскости XOY ?) перпендикулярна плоскости z = 0 Вопрос id:634941 Нормаль к плоскости x + 2y + 1 = 0 ?) параллельна плоскости XOY ?) параллельна оси OZ ?) проходит через точку М(1,2,–1) ?) перпендикулярна оси OZ Вопрос id:634942 Нормальным вектором плоскости 3x – 2y + 5x = 0 является вектор ?) ?) ?) ?) Вопрос id:634943 Нормальным вектором плоскости, проходящей через точку A(1, 2, 3), перпендикулярно вектору ?) ?) ?) ?) Вопрос id:634944 Общее уравнение плоскости, проходящей через точку M(1, 2, 3) и ось OY, имеет вид ?) 2x – y = 0 ?) x – 3z = 0 ?) 3x – z = 0 ?) 3x + z = 0 Вопрос id:634945 Однополостный гиперболоид ?) эллипсу ?) паре пересекающихся прямых ?) гиперболе ?) в одной точек Вопрос id:634946 Однополостный гиперболоид ?) паре пересекающихся прямых ?) гиперболе ?) эллипсу ?) пересечение пусто Вопрос id:634947 Определитель равен 0, если ?) 1 ?) 2 ?) – 4 ?) 0 Вопрос id:634948 Определитель равен 0 при ?) 5 ?) – 5 ?) 0 ?) 2 Вопрос id:634949 Определитель равен ...?) 23 ?) 19 ?) – 23 ?) 8 Вопрос id:634950 Определитель ?) 0 ?) – 8 ?) 1 ?) 8 Вопрос id:634951 Определитель матрицы равен …?) - 24 ?) - 30 ?) - 18 ?) 18 Вопрос id:634952 Определитель матрицы равен …?) 1 ?) − 1 ?) 0 ?) 10 |
Copyright tests.ithead.ru 2013-2026

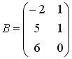
. Тогда матрица В должна иметь …
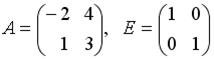
. Тогда матрица А должна иметь …
. Тогда матрица А должна иметь …
. Тогда матрица А должна иметь …
, то значение определителя матрицы
, то значение определителя матрицы
равно…
не имеет обратной при k, равном …
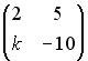
не имеет обратной при k, равном …
не имеет обратной при k, равном …
не имеет обратной при k, равном …
не имеет обратной при k, равном …
вырождена при
не имеет обратной при k, равном …
не имеет обратной при k, равном …
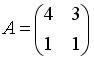
, имеет вид …



равен 0, если
равен 0 при
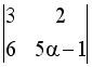
равен ...
равен …
равен …