Тесты онлайн, бесплатный конструктор тестов. Психологические тестирования, тесты на проверку знаний.
Список вопросов базы знанийАлгебра и геометрия (курс 3)Вопрос id:635149 Прямая ?) перпендикулярны при любом λ ?) перпендикулярны при λ = 4 ?) прямая лежит в плоскости при λ = −10 ?) параллельны при λ = −10 Вопрос id:635150 Прямая Вопрос id:635151 Прямая ?) в двух точках ?) в одной точке ?) по эллипсу ?) в начале координат Вопрос id:635152 Прямая ?) М1(1,2,–1) и М2(0,2,–1) ?) прямая лежит на поверхности ?) прямая не пересекает поверхность ?) в множестве точек Вопрос id:635153 Прямая Вопрос id:635154 Прямая Вопрос id:635155 Прямая задана пересечением плоскостей ?) ее параметрические уравнения: x = t – 1; y = 2t – 2; z = 3t – 3 ?) ее каноническое уравнение ?) ее параметрические уравнения ;?) ее канонические уравнения Вопрос id:635156 Прямые ?) скрещиваются ?) перпендикулярны ?) пересекаются ?) параллельны Вопрос id:635157 Прямые ?) параллельны ?) имеют общую точку A(3,2,–2) ?) лежат в одной плоскости ?) совпадают Вопрос id:635158 Разложение определителя по элементам первой строки имеет вид…?) ![]() ?) ![]() ?) ![]() ?) ![]() Вопрос id:635159 Ранг квадратной матрицы ?) ?) ?) ?) Вопрос id:635160 Ранг матрицы ?) 16 ?) 2 ?) 4 ?) 10 Вопрос id:635161 Ранг матрицы ?) 16 ?) 28 ?) 2 ?) 7 Вопрос id:635162 Ранг матрицы ?) 8 ?) 18 ?) 2 ?) 32 Вопрос id:635163 Ранг матрицы ?) 20 ?) 2 ?) 9 ?) 36 Вопрос id:635164 Ранг матрицы ?) 28 ?) 13 ?) 52 ?) 2 Вопрос id:635165 Расстояние d от точки P(1, –1,–2) до прямой ?) d = 1 ?) d = 0 ?) d = 2 ?) d = 4 Вопрос id:635166 Расстояние d от точки P(5,10,15) до прямой ?) d = 0 ?) d = 2 ?) d = 1 ?) d = 3 Вопрос id:635167 Расстояние d между параллельными плоскостями x + 2y – 2z – 4 = 0 и x + 2y – 2z + 6 = 0 равно ?) ?) 1 ?) 5 ?) 2 Вопрос id:635168 Расстояние от начала координат до плоскости 4x – 3y + 15 = 0 равно ?) 5 ?) 15 ?) 3 ?) 0 Вопрос id:635169 Расстояние от точки M0(3, –2, 0) до плоскости 2x + 3y + 6z – 14 = 0 равно ___ (число) Вопрос id:635170 Расстояние от точки M0(–3, 0, 1) до плоскости 2x + 3y + 6z + 21 = 0 равно ?) 7 ?) 21 ?) 3 ?) ± 3 Вопрос id:635171 Точка ?) ?) ?) ?) Вопрос id:635172 Точкой пересечения прямой ?) M(3,6,–1) ?) M(1,9,1) ?) M(4,3,0) ?) M(–3,6,1) Вопрос id:635173 Точкой, симметричной началу координат относительно плоскости ?) M(6, –2,4) ?) M(3, –1,2) ?) M(0,0, –14) ?) Вопрос id:635174 Укажите верные соответствия
Вопрос id:635175 Укажите верные соответствия между секущими плоскостями и кривыми в сечении гиперболоида
Вопрос id:635176 Укажите верные соответствия между секущими плоскостями и кривыми в сечении параболоида x2 + y2 = 4(z + 2) этими плоскостями
Вопрос id:635177 Укажите верные соответствия уравнений плоскостей координатным плоскостям, им параллельным
Вопрос id:635178 Укажите верные соответствия уравнений плоскостей осям, им параллельным
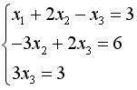
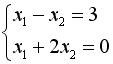
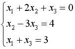
Вопрос id:635179 Укажите пару уравнений взаимно перпендикулярных плоскостей: ?) ?) ?) ?) Вопрос id:635180 Укажите систему линейных уравнений, подготовленную для обратного хода метода Гаусса. ?) ![]() ?) ![]() ?) ![]() ?) ![]() Вопрос id:635181 Уравнение 2x2 + z2 – 4z – y2 = 0 определяет ?) однополостный гиперболоид с осью симметрии, параллельной оси OY ?) однополостный гиперболоид с центом симметрии в точке (0,0,0) и осью симметрии OY ?) эллипсоид с полуосями ?) однополостный гиперболоид, осью симметрии которого служит ось OY Вопрос id:635182 Уравнение x2 + y2 + z2 – 2x – 8 = 0 определяет сферу с центом в точке C и радиусом R, где ?) C(1,0,0), R = 3 ?) C(0,0,1), R = ?) C(1,0,0), R = 8 ?) C(0,0,0), R = 3 Вопрос id:635183 Уравнение x2 + y2 – z2 – 4x = 0 определяет ?) сфера с центом (2,0,0) и радиусом R = 2 ?) однополостный гиперболоид с центом симметрии в точке (0,0,0) ?) однополостный гиперболоид с центом симметрии в точке (2,0,0) ?) эллипсоид с центом (2,0,0) Вопрос id:635184 Уравнение x2 + z2 = 0 в пространстве определяет ?) окружность ?) ось OY ?) точку (0,0,0) ?) мнимую окружность Вопрос id:635185 Уравнение x2 + z2 = 2z в пространстве определяет ?) цилиндрическую поверхность с образующими параллельными оси OY ?) цилиндрическую поверхность, направляющей которой является окружность ?) параболоид вращения ?) однополостный параболоид Вопрос id:635186 Уравнение x2 + z2 – 4z + 2y = 0 определяет ?) эллиптический параболоид с вершиной (0,–2, 2) ?) гиперболический параболоид с вершиной (0,–2, 2) ?) параболоид вращения с осью симметрии, параллельной оси OY Вопрос id:635187 Уравнение x2 – 4y2 = 4 в пространстве определяет ?) цилиндрическую поверхность имеющей направляющей гиперболу с полуосями a = 2, b = 1; образующие параллельны оси OZ ?) цилиндрическую поверхность с образующими параллельными оси OZ ?) гиперболу ?) гиперболоид (однополостный) Вопрос id:635188 Уравнение x2 – y2 + z2 = 0 в пространстве определяет ?) однополостный гиперболоид с осью симметрии OY ?) конус вращения ?) конус с вершиной в начале координат и осью симметрии OY ?) точку (0,0,0) Вопрос id:635189 Уравнение x2 – y2 – 2x + 1 = 0 в пространстве определяет ?) пару прямых ?) цилиндрическую поверхность, направляющей которой служит гипербола, а образующие параллельны оси OZ ?) пару плоскостей x – y = 1 и x + y = 1, параллельных оси OZ ?) гиперболу Вопрос id:635190 Уравнение y + x2 = 0 в пространстве определяет ?) цилиндрическую поверхность с образующими параллельными оси OZ и направляющей параболой ?) параболу в плоскости XOY ?) цилиндрическую поверхность с образующими параллельными оси OY и направляющей параболой ?) параболоид вращения с вершиной в точке (0,0,0) Вопрос id:635191 Уравнение ?) a = 2, b = 3, c = 5 ?) a = 1, ?) a = 4, b = 9, c = 25 ?) a = 4, b = 6, c = 10 Вопрос id:635192 Уравнение ?) O(–1,2,–1) ?) O(1,4,1) ?) O(1,–2,1) ?) O(0,0,0) Вопрос id:635193 Уравнение ?) a = 1, b = 2, c = 1 ?) a = 1, d = –2, c = 1 ?) a = 3, b = 6, c = 3 ?) a = 1, b = 4, c = 1 Вопрос id:635194 Уравнение ?) конус ?) сферу радиуса a ?) однополостный гиперболоид вращения ?) двуполостный гиперболоид Вопрос id:635195 Уравнение перпендикуляра, опущенного из начала координат на плоскость 3x + y – 2z +5 = 0, имеет вид ?) ?) x = y = z ?) 3x = y = – 2z ?) Вопрос id:635196 Уравнение плоскости, проходящей через начало координат и точки ?) ![]() ?) x + 3y – z = 0 ?) –x + 3y – z = 0 ?) ![]() Вопрос id:635197 Уравнение плоскости, проходящей через прямые ?) 2x – y + z – 4 = 0 ?) 2x – y + z =0 ?) 2(x – 1) – (y + 2) + z = 0 ?) 2x + y – 3z = 0 Вопрос id:635198 Уравнение плоскости, проходящей через точки M1(5, 0, 0), M2(0, 2, 0) и M3(0, 0, 1), имеет вид ?) 2x + 5y + 10z = 10 ?) ?) ?) 5x + 2y + z = 25 |
Copyright tests.ithead.ru 2013-2026
;
по элементам первой строки имеет вид…








