Тесты онлайн, бесплатный конструктор тестов. Психологические тестирования, тесты на проверку знаний.
Список вопросов базы знанийАлгебра и геометрия (курс 3)Вопрос id:635199 Уравнение плоскости, проходящей через точки ?) ![]() ?) x + y + 2z + 2 = 0 ?) 3x + y + 2z – 2 = 0 ?) ![]() Вопрос id:635200 Уравнение плоскости, проходящей через точку M0(1, –1, –1), перпендикулярно к прямой ?) (x + 1) + (y + 1) + (z + 1) = 0 ?) x + 2y + 3z + 10 = 0 ?) (x + 1) + 2(y – 1) + 3(z – 1) = 0 ?) x + y+ z+ 3 = 0 Вопрос id:635201 Уравнение плоскости, проходящей через точку ?) x – 2y + 1 = 0 ?) 2x + y – 2 = 0 ?) 2x + y – 1 = 0 ?) 2x + y = 0 Вопрос id:635202 Уравнение плоскости, равноудаленной от двух параллельных плоскостей x + 2y – 2z – 4 = 0 и x + 2y -2z + 6 = 0, имеет вид ?) x + 2y – 2z + 1 = 0 ?) x + 2y – 2z + 5 = 0 ?) x + 2y – 2z – 5 = 0 ?) x + 2y – 2z – 1 = 0 Вопрос id:635203 Уравнение плоскости, равноудаленной от двух параллельных плоскостей x + y – z +3 = 0 и 2x+ 2y – 2z + 4 = 0, имеет вид ?) ?) ?) 2x + 2y -2z – 1 = 0 ?) 2x + 2y – 2z + 1 = 0 Вопрос id:635204 Уравнение прямой, проходящей через точки ?) ?) ?) ?) Вопрос id:635205 Уравнение прямой, проходящей через точку ?) ?) ?) ?) Вопрос id:635206 Уравнения Вопрос id:635207 Уравнения называются ___ (какими?) уравнениями прямой (слово)Вопрос id:635208 Установите верные соответствия
Вопрос id:635209 Установите верные соответствия
Вопрос id:635210 Установите верные соответствия
Вопрос id:635211 Установите верные соответствия между поверхностью
Вопрос id:635212 Установите верные соответствия между точками пересечения прямой
Вопрос id:635213 Установите соответствие между изображением поверхности и ее названием.
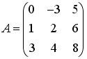
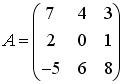
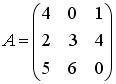
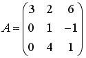
Вопрос id:635214 Установите соответствие между матрицами А и суммами элементов
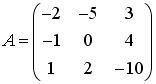
Вопрос id:635215 Установите соответствие между матрицами А и суммами элементов
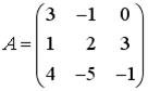
Вопрос id:635216 Установите соответствие между матрицами А и суммами элементов
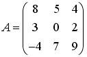
Вопрос id:635217 Установите соответствие между матрицами А и суммами элементов
Вопрос id:635218 Установите соответствие между матрицами и их рангами.
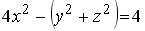
Вопрос id:635219 Установите соответствие между поверхностью второго порядка и ее уравнением
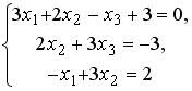
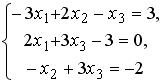
Вопрос id:635220 Установите соответствие между системой линейных уравнений и ее расширенной матрицей.
Вопрос id:635221 Параметрические уравнения прямой, проходящей через точки ?) x = 1 + t;y = 1;z = 1 + 2t ?) x = 2 – t;y = 1 + t;z = 3 + 2t ?) x = 2 + t;y = 1;z = 3 + 2t ?) x = 1 + 2t;y = 1 + t;z = 1 + 3t Вопрос id:635222 Параметрические уравнения прямой, проходящей через точку M(1, –1,2) параллельно вектору ?) x = 2 + t;y = –t ;z = 1 + 2t ?) x = –2 + t;y = t;z = –1 + 2t ?) x = –1 + 2t;y = 1 ;z = –2 + t ?) x = 1 + 2t;y = –1 ;z = 2 + t Вопрос id:635223 Параметрические уравнения прямой, проходящей через точку M(2,0,–3), перпендикулярно плоскости ?) x = 2 + 2t;y = 3 ;z = 5 – 3t ?) x = 2+ 2t;y = –3t ;z = –3 + 5t ?) x = –2 + 2t;y = –3t ;z = 3 + 5t ?) x = –2 + 2t;y = 3;z = –5 – 3t Вопрос id:635224 Параметрические уравнения прямой, проходящей через точку M0(2, 0, –3), параллельно прямой ?) x = 2 + 5t;y = 2t;z = – 3 – t ?) x = 2t + 5;y = 2;z = – t – 3 ?) x = 2t + 1;y = – 2 ;z = – 3t + 2 ?) x = 5t + 1;y = 2t – 1;z = – t – 1 Вопрос id:635519 Уравнение x2 + z2 – 4z + 2y = 0 определяет ?) гиперболический параболоид с вершиной (0,–2, 2) ?) параболоид вращения с осью симметрии, параллельной оси OX ?) эллиптический параболоид с вершиной (0,–2, 2) ?) параболоид вращения с осью симметрии, параллельной оси OY Вопрос id:635520 Графику кривой
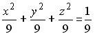
соответствует уравнение ?) ?) ?) ?) Вопрос id:635521 Графику линии
соответствует уравнение ?) (x - 5) + (y + 3)=0 ?) ?) ?) 5x - 3y = 1 Вопрос id:635522 Графику линии
соответствует уравнение ?) 2x - 4y = 1 ?) 2x - 4y = -1 ?) 2x + y - 4 = 0 ?) 2x - y - 4 = 0 Вопрос id:635523 Алгебраическое дополнение A23 матрицы равно ___ (число)Вопрос id:635524 В треугольнике ABC, где ![]() ?) 2 ?) ?) ?) Вопрос id:635525 Вектор ?) ортогонален вектору ?) длина вектора ?) длина вектора ?) равен вектору Вопрос id:635526 Вектор Вопрос id:635527 Вектор Вопрос id:635528 Вектор ?) -2 ?) ?) 1 ?) Вопрос id:635529 Векторным произведением векторов ?) ?) ?) ?) Вопрос id:635530 Вектором нормали ?) ?) ?) ?) Вопрос id:635531 Векторы Вопрос id:635532 Векторы Вопрос id:635533 Величины отрезков, отсекаемых на координатных осях плоскостью 2x + 3y - 5z + 30 = 0, равны ?) a = 15; b = 10; c = -6 ?) a = -15; b = -10; c = 6 ?) a = -15; b = -10; c = -6 ?) a = 15; b = 10; c = 6 Вопрос id:635534 Вершина параболы x - y2 + 4y - 1 = 0 находится в точке ?) A(3, 2) ?) A(- 3, 2) ?) A(0, - 2) ?) A(3, - 2) Вопрос id:635535 Вершина параболы y2 - 4x - 2y - 3 = 0 находится в точке ?) A(1, 1) ?) A(-1, -1) ?) A(-1, 1) ?) A(1, -1) Вопрос id:635536 Вершиной параболы 3x2 + 6x - y + 4 = 0 является точка с координатами ?) x = 1; y = 1 ?) x = - 1; y = 1 ?) x = - 1; y = -1 ?) x = 1; y = -1 Вопрос id:635537 Ветви параболы x - y2 + 4y - 1 = 0 направлены ___ (слово) Вопрос id:635538 Ветви параболы x2 + 4x - 8y + 12 = 0 направлены ___ (слово) Вопрос id:635539 Выражение ?) 0 ?) 1 ?) 4 ?) 2 Вопрос id:635540 Выражение ?) −2 ?) 2 ?) 0 ?) 1 Вопрос id:635541 Выражение Вопрос id:635542 Выражение |
Copyright tests.ithead.ru 2013-2026


называются ___ (какими?) уравнениями прямой (слово)


































равно ___ (число)