Тесты онлайн, бесплатный конструктор тестов. Психологические тестирования, тесты на проверку знаний.
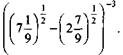
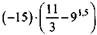
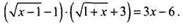
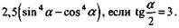
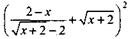
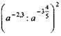
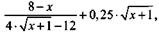
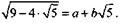
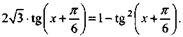
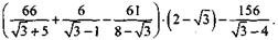
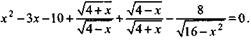
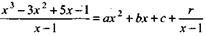
Список вопросов базы знанийАлгебра (школьное обучение)Вопрос id:657830 Выразите величину log246,75« через значения а и b , если logn2 = a и logn3 = b ?) ?) ?) ?) Вопрос id:657831 Выразите число ?) 0,4(9 + а–1) ?) 0,25(3 + а) ?) 0,25(3 + a–1) ?) 0,4(3 + a–1) Вопрос id:657832 Вычислите Вопрос id:657833 Вычислите Вопрос id:657834 Вычислите Вопрос id:657835 Вычислите ![]() Вопрос id:657836 Вычислите: log30,09 + 2log310 Вопрос id:657837 Найдите 2 · tgx0, где х0 – наибольший, отрицательный корень уравнения Вопрос id:657838 Найдите а + b, если Вопрос id:657839 Найдите все решения уравнения ?) ?) ?) ?) Вопрос id:657840 Найдите значение a + b + c + r, если числа а, b, с и r выбраны таким образом, что равенство Вопрос id:657841 Найдите значение log33k, если Вопрос id:657842 Найдите значение log4(8а), если log2a0,25 = 2 Вопрос id:657843 Найдите значение выражения Вопрос id:657844 Найдите значение выражения Вопрос id:657845 Найдите значение выражения Вопрос id:657846 Найдите значение выражения Вопрос id:657847 Найдите значение выражения Вопрос id:657848 Найдите значение выражения Вопрос id:657849 Найдите значение выражения Вопрос id:657850 Найдите значение выражения Вопрос id:657851 Найдите значение выражения Вопрос id:657852 Найдите значение выражения Вопрос id:657853 Найдите значение выражения Вопрос id:657854 Найдите значение выражения при а = 3Вопрос id:657855 Найдите значение выражения Вопрос id:657856 Найдите значение выражения а + b, если Вопрос id:657857 Найдите значение выражения Вопрос id:657858 Найдите значение производной функции Вопрос id:657859 Найдите значение производной функции Вопрос id:657860 Найдите значение производной функции Вопрос id:657861 Найдите значение производной функции Вопрос id:657862 Найдите значение производной функции Вопрос id:657863 Найдите значение производной функции y = sin(3x + 7) – cos(3π + 7) в точке х0 =0 Вопрос id:657864 Найдите значение производной функции у = (2х – 1) · е–х в точке х0 = –1 Вопрос id:657865 Найдите значение х + у, если равенство выполнено для всех положительных а и bВопрос id:657866 Найдите значение Вопрос id:657867 Найдите корень (или произведение действительных, различных корней, если их несколько) уравнения Вопрос id:657868 Найдите корень (или произведение корней, если их несколько) уравнения Вопрос id:657869 Найдите корень (или произведение корней, если их несколько) уравнения Вопрос id:657870 Найдите корень (или сумму действительных, различных корней, если их несколько) уравнения Вопрос id:657871 Найдите корень (или сумму корней, если их несколько) уравнения Вопрос id:657872 Найдите корень (или сумму корней, если их несколько) уравнения Вопрос id:657873 Найдите корень (или сумму корней, если их несколько) уравнения Вопрос id:657874 Найдите корень (или сумму корней, если их несколько) уравнения Вопрос id:657875 Найдите корень (или сумму корней, если их несколько) уравнения Вопрос id:657876 Найдите корень или сумму (если их несколько) корней уравнения Вопрос id:657877 Найдите множество значений функции ?) [0; 32] ?) (0;32] ?) (0;64] ?) (–∞;+∞) Вопрос id:657878 Найдите множество значений функции ?) (0;+∞) ?) (–∞;+∞) ?) (0;5] ?) (0;1] Вопрос id:657879 Найдите множество значений функции ?) ?) ?) ?) |
Copyright tests.ithead.ru 2013-2026

при а = 3
выполнено для всех положительных а и b