Тесты онлайн, бесплатный конструктор тестов. Психологические тестирования, тесты на проверку знаний.
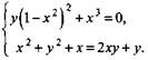
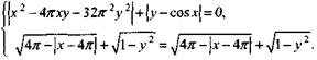
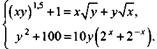
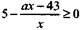
Список вопросов базы знанийАлгебра (школьное обучение)Вопрос id:658030 В прямоугольном параллелепипеде ABCDA1B1C1D1 заданы AD = 6, АВ = 5 и АА1 = 9. Найдите объем пирамиды EB1C1F, где Е – точка на AA1 и АЕ = 6, a F – точка на CD и CF = 4 Вопрос id:658031 В треугольнике АВС проведена медиана АМ. Найдите площадь треугольника АВС, если АС = 3 Вопрос id:658032 Высота правильной четырехугольной призмы Вопрос id:658033 Дан ромб ABCD с острым углом В. Площадь ромба равна 320, а синус угла В равен 0,8. Высота СН пересекает диагональ BD в точке К. Найдите длину отрезка СК Вопрос id:658034 Дана правильная призма АВСА1В1С1, где АА1, ВВ1 и СС1 – боковые ребра. Сфера, центр которой лежит на ребре АА1, пересекает ребро А1С1 в точке М и касается плоскости основания АВС и плоскости СВВ1. Известно, что АВ = 12, А1М : МС1 = 3 : 1. Найдите площадь боковой поверхности призмы ?) ?) ?) 324 ?) Вопрос id:658035 Дана правильная призма АВСА1В1С1, где АА1, ВВ1 и СС1 – боковые ребра. Сфера, центр которой лежит на ребре АА1, пересекает ребро А1С1 в точке М и касается плоскости основания АВС и плоскости СВВ1. Известно, что АВ = 12, А1М : МС1 = 3 : 1. Найдите высоту призмы ?) ?) ?) 9 ?) Вопрос id:658036 Дана правильная треугольная пирамида со стороной основания, равной Вопрос id:658037 Дана правильная треугольная пирамида. Центр основания пирамиды является вершиной конуса, окружность основания которого радиуса Вопрос id:658038 Дана правильная шестиугольная пирамида. Центр основания пирамиды является вершиной конуса, окружность основания которого вписана в боковую грань пирамиды. Найдите сторону основания пирамиды, если объем конуса равен Вопрос id:658039 Дана призма АВСDА1В1С1D1, в основании которой лежит квадрат, а боковые ребра наклонены к плоскости основания под углом в 60°. Отрезок D1A перпендикулярен плоскости основания. Найдите длину этого отрезка, если площадь боковой поверхности призмы равна 6 Вопрос id:658040 Для монтажа оборудования необходима подставка объёмом 1296 дм3 в форме прямоугольного параллелепипеда. Квадратное основание подставки будет вмонтировано в пол, а её задняя стенка – в стену цеха. Для соединения подставки по рёбрам, не вмонтированным в пол или стену, используется сварка. Определите размеры подставки, при которых общая длина сварочного шва будет наименьшей ?) 12 дм, 10 дм и 9 дм ?) 12 дм, 12 дм и 9 дм ?) 12 дм, 6 дм и 9 дм ?) 12 дм, 9 дм и 9 дм Вопрос id:658041 Известно, что уравнение ![]() ?) – 1 ?) – 1,5 ?) 1,5 ?) 1 Вопрос id:658042 Концы отрезка ВС лежат на окружностях двух оснований цилиндра. Радиус основания цилиндра равен 25, длина отрезка ВС равна ?) 26 ?) 24 ?) 28 ?) 20 Вопрос id:658043 Концы отрезка ВС лежат на окружностях двух оснований цилиндра. Радиус основания цилиндра равен 25, длина отрезка ВС равна Вопрос id:658044 Найдите все значения ?) (– 1; 2] ?) [– 1; 2) ?) (– 1; 2) ?) [– 1; 2] Вопрос id:658045 Найдите все значения параметра ?) (0,7; 1) ?) (-1; 0,7) ?) ?) (-∞; 0,7) Вопрос id:658046 Найдите все положительные значения параметра a, при которых в области определения функции ?) (0,8; 0,98) ?) (0,8; 0,98] ?) [0,8; 0,98) ?) [0,8; 0,98] Вопрос id:658047 Найдите длину промежутка (или наибольшую из длин таких промежутков, если их несколько) тех значений параметра а, при которых число целых решений неравенства Вопрос id:658048 Найдите длину промежутка (или наибольшую из длин таких промежутков, если их несколько) тех положительных значений параметра а, при которых множество решений неравенства Вопрос id:658049 Найдите длину промежутка значений параметра а или сумму длин таких промежутков, если их несколько, при которых в решении неравенства Вопрос id:658050 Найдите значение функции в точке максимумаВопрос id:658051 Найдите количество всех решений системы уравнений ![]() Вопрос id:658052 Найдите наибольшее значение а, при котором уравнение x3 + 5x2 + ax + b = 0 с целыми коэффициентами имеет три различных корня, один из которых равен – 2 Вопрос id:658053 Найдите наибольшее целое значение параметра а, при котором уравнение Вопрос id:658054 Найдите наименьшее значение функции Вопрос id:658055 Найдите нули функции ?) 5 ?) -2 ?) -5 ?) 2 Вопрос id:658056 Найдите сумму значений параметра а, при которых количество корней уравнения (a – 30)x3 – 40x2 + 20x = 0 равно количеству общих точек линий х2 + у2 = а и y = 6 – |x – 2| Вопрос id:658057 Найдите сумму целых значений параметра а, при которых множество решений неравенства Вопрос id:658058 Найдите сумму целых значений параметра а, при которых множество решений неравенства Вопрос id:658059 Найдите сумму целых значений параметра а, при которых множество решений неравенства Вопрос id:658060 Найдите целое значение параметра а (или сумму таких целых значений), при которых множество решений неравенства Вопрос id:658061 Найдите число пар целых чисел (х;у), удовлетворяющих уравнению Вопрос id:658062 Найдите число решений системы уравнений Вопрос id:658063 Найдите число решений системы уравнений Вопрос id:658064 Найдите число решений системы уравнений ![]() Вопрос id:658065 Найдите число решений системы уравнений ![]() Вопрос id:658066 Найдите число целых значений параметра а, при которых множество решений неравенства Вопрос id:658067 Основание пирамиды МАВСD – ромб АВСD, в котором ÐА = 60°. Все двугранные углы при ребрах основания пирамиды равны. Плоскость Вопрос id:658068 Основанием пирамиды FABC является равнобедренный треугольник ABC, в котором АВ = АС = 3, Вопрос id:658069 Основанием пирамиды FABC является треугольник АВС, в котором ?) 4,04 ?) 5 ?) 128/41 ?) 40,4 Вопрос id:658070 Основанием прямой призмы ABCA1B1C1 является прямоугольный ' треугольник с катетами АВ = 4 и ВС = 6. Высота призмы равна 10. Найдите объем пирамиды с вершинами в точке C1 и серединах ребер ВС, BB1 и A1B1 Вопрос id:658071 Основанием прямой призмы ABCA1B1C1 является прямоугольный треугольник с катетами АВ = 1 и ВС = 4. Высота призмы равна 8. Найдите объем пирамиды с вершиной в точке C1 и основанием, совпадающим с сечением призмы плоскостью, проходящей через середины ребер ВС, ВВ1 и A1B1 Вопрос id:658072 Пусть (x0; y0) – решение системы уравнений . Найдите произведение x0 × y0Вопрос id:658073 Решите систему уравнений ![]() ?) [2,4; -7] ?) (2,4; -7) ?) (2,4; -7] ?) [2,4; -7) Вопрос id:658074 Решите систему уравнений ![]() ?) (-0,5; 0,75) ?) (0,5; -0,75) ?) (-0,5; -0,75) ?) (0,5; 0,75) Вопрос id:658075 Сторона основания первой правильной треугольной пирамиды равна Вопрос id:658076 Сторона основания правильной четырехугольной пирамиды равна Вопрос id:658077 Стороны прямоугольника равны 2 и 5. Через каждую точку на его меньшей стороне провели прямую, отсекающую прямоугольный треугольник с периметром 8. Найдите наименьшее значение площади оставшейся части прямоугольника ?) 8 ?) ?) 7 ?) Вопрос id:658078 Сфера радиуса 2 касается плоскости в точке А. В этой же плоскости лежит основание конуса. Прямая, проходящая через центр основания конуса (точку С) и точку сферы, диаметрально противоположную точке А, проходит через точку М. Точка М является точкой касания сферы и конуса (их единственная общая точка). Найдите высоту конуса, если АC = 1 ?) 4/15 ?) 2/15 ?) 1/5 ?) 3/5 Вопрос id:658079 Торговая база закупила у изготовителя партию альбомов и поставила ее магазину по оптовой цене, которая на 30% больше цены изготовителя. Магазин установил розничную цену на альбом на 20% выше оптовой. При распродаже в конце сезона магазин снизил розничную цену на альбом на 10%. На сколько рублей больше заплатил покупатель по сравнению с ценой изготовителя, если на распродаже он приобрел альбом за 70,2 р. ?) 20,3 ?) 22 ?) 20,2 ?) 202 |
Copyright tests.ithead.ru 2013-2026

в точке максимума


. Найдите произведение x0 × y0
