Список вопросов базы знанийАлгебра (школьное обучение)Вопрос id:657778 Подынтегральным выражением называется ?) постоянная С ?) выражение под знаком интеграла ?) функция под знаком интеграла ?) переменная х под знаком интеграла Вопрос id:657779 Постоянная С называется постоянной Вопрос id:657780 Постоянная функция – это функция вида ___, где С = const ?) у = -Сх ?) у = kС ?) у = С ?) у = Сх Вопрос id:657781 Постоянной интегрирования называется ?) выражение под знаком интеграла ?) постоянная С ?) переменная х под знаком интеграла ?) функция под знаком интеграла Вопрос id:657782 При вращении криволинейной трапеции вокруг оси ОX получаем тело, ___ которого находится по формуле Вопрос id:657783 Признак ___ функции – если на промежутке I производная функции равна нулю, то на этом промежутке функция постоянна Вопрос id:657785 Равенство ?) Герона ?) Ньютона-Лейбница ?) Лейбница ?) Ньютона Вопрос id:657787 Составьте верные определения
Вопрос id:657788 Составьте верные определения
Вопрос id:657789 Составьте верные определения
Вопрос id:657790 Составьте верные определения
Вопрос id:657791 Составьте верные определения
Вопрос id:657792 Составьте верные определения
Вопрос id:657793 Составьте верные определения
Вопрос id:657794 Составьте верные формулы
Вопрос id:657795 Составьте верные формулы
Вопрос id:657796 Составьте верные формулы
Вопрос id:657797 Тело, объем которого находится по формуле ?) повороте криволинейной трапеции вокруг оси ОX ?) вращении трапеции вокруг оси ОУ ?) вращении криволинейной трапеции вокруг оси ОX ?) вращении криволинейной трапеции вокруг оси ОУ Вопрос id:657798 Формула Ньютона-Лейбница – это ?) ?) ?) ?) Вопрос id:657799 Функцию f в определенном интеграле называют ___ функцией Вопрос id:657800 Функция под знаком интеграла, называется ___ функцией Вопрос id:657801 Число a в определенном интеграле называют ___ пределом интегрирования Вопрос id:657802 Число b в определенном интеграле называют ___ пределом интегрирования Вопрос id:657803 На рисунке изображен график функции у = f (х). Укажите число решений уравнения f (x) = 0
Вопрос id:657804 На рисунке изображен график функции у = f(x). Укажите число промежутков возрастания функции
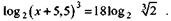
Вопрос id:657805 Найдите значение выражения
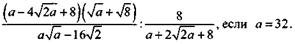
Вопрос id:657806 Найдите значение выражения
Вопрос id:657807 Найдите значение производной функции y = sin(5x + 2) + cos(5x + 2) в точке х0 = –1 ?) 5cos3 + 5sin3 ?) cos3 - sin3 ?) cos3 + sin3 ?) 5cos3 - 5sin3 Вопрос id:657808 Найдите корень (или сумму корней, если их несколько) уравнения
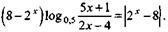
Вопрос id:657809 Найдите корень (или сумму корней, если их несколько) уравнения
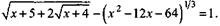
Вопрос id:657810 Найдите корень, принадлежащий отрезку [0,8; 4], (или произведение таких корней, если их несколько) уравнения
Вопрос id:657811 Найдите промежуток, которому принадлежит корень уравнения
?) (0;+∞) ?) (–∞;–2) ?) [–2;–1) ?) [–1; 0] Вопрос id:657812 Найдите сумму целых решений неравенства
?) –9 ?) 0 ?) –4 ?) –6 Вопрос id:657813 Найдите число целых решений неравенства
?) 4 ?) 3 ?) 5 ?) 2 Вопрос id:657814 Найдите число целых решений неравенства
?) 9 ?) 8 ?) 10 ?) 7 Вопрос id:657815 Укажите уравнение окружности, изображенной на рисунке
?) (x – 2) 2 + (y – 1) 2 = 4 ?) (x – 2) 2 + (y – 2) 2 = 4 ?) (x – 1) 2 + (y – 1) 2 = 2 ?) (x – 2) 2 + (y – 1) 2 = 2 Вопрос id:657816 Функция y = f(x) задана графиком. Найдите решение неравенства f(x) < 1
?) (0;6) ?) (–2; 2) ?) (–1;5) ?) (0;3) Вопрос id:657817 Функция y = f(x) задана графиком. Укажите множество значений этой функции
?) [-2;3] ?) [-3;2] ?) [-2;0) ?) [-4;2] Вопрос id:657818 Функция y = f(x) задана графиком. Укажите множество значений этой функции
?) [–2; 2] ?) ?) [–5; 4] ?) [–5; 5] Вопрос id:657819 Функция y = f(x) задана графиком. Укажите функцию, график которой изображен на рисунке
?) у = 2x-1 ?) y = 2x ?) y = 2x-1-1 ?) у = log2(x-1) Вопрос id:657820 Функция y = f(x) задана графиком. Укажите число промежутков возрастания этой функции
Вопрос id:657821 Функция y = f(x) задана на промежутке [-7; 8]. Найдите число целых решений неравенства f(х)>1
Вопрос id:657822 Функция y = f(x) задана на промежутке [–6; 10]. Укажите число решений уравнения f(x) = 3
Вопрос id:657823 Функция y = f(x) определена графиком. Найдите число целых решений неравенства f(x) > 2
Вопрос id:657824 Функция y = f(х) определена графиком. Укажите промежуток, на котором она принимает только положительные значения
?) (0;3) ?) (3;7) ?) [–1;4] ?) (–2;0) Вопрос id:657825 Функция y=f(x) определена графиком. Найдите решение неравенства f(x) < 0
?) (0;5) ?) (-2;1) ?) (-5;-1) ?) (-1;1) Вопрос id:657826 Функция у = f (х) задана графиком. Укажите число целых значений этой функции
Вопрос id:657827 Функция у = f(x) задана графиком. Укажите соотношение, которое определяет заданное множество на рисунке
?) х2 – у2 = 1 ?) x2 – у2 = 4 ?) x2 – у2 = 0 ?) х2 + у2 = 0 Вопрос id:657828 Функция у = f(x) определена графиком на промежутке [–2; 7]. Найдите число целых решений двойного неравенства 0 < f(x) < 3
Вопрос id:657829 Функция у = f(x), имеющая период Т = 5, задана графиком на промежутке [–1;4]. Найдите значение этой функции при х = 11
|
















