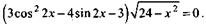
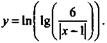
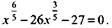
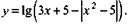
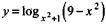
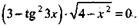
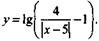
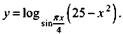
Список вопросов базы знанийАлгебра (школьное обучение)Вопрос id:657880 Найдите множество значений функции ?) {7} ?) (0;7] ?) [7;+∞) ?) (0;+∞) Вопрос id:657881 Найдите множество значений функции у = 5 sin2 х – cos2 х – 5 ?) [–6;0] ?) [–2;0] ?) [–1;0] ?) [–5; 0] Вопрос id:657882 Найдите множество значений функции у = log2(x2 + 4) ?) (-∞;+∞) ?) [0;+ ∞) ?) [2;+ ∞) ?) [1;+∞) Вопрос id:657883 Найдите наибольшее целое значение функции Вопрос id:657884 Найдите наибольшее целое значение функции у = 2-cos2x Вопрос id:657885 Найдите наименьшее целое значение функции Вопрос id:657886 Найдите наименьший корень уравнения Вопрос id:657887 Найдите наименьший корень уравнения Вопрос id:657888 Найдите область определения функции ?) (-∞;4) ?) (-∞;3) ∪ (4;+∞) ?) (3;4) ?) (4;+∞) Вопрос id:657889 Найдите область определения функции ?) (–∞;3,5] ?) (–∞;3] ?) [3,5;+∞) ?) [3;+∞) Вопрос id:657890 Найдите область определения функции ?) [3;+∞) ?) (–∞;3] ?) (–∞; 4] ?) [4;+∞) Вопрос id:657891 Найдите положительный корень (или сумму таких корней, если их несколько) уравнения Вопрос id:657892 Найдите промежуток, которому принадлежит корень (или сумма корней, если их несколько) уравнения 8x – 2x = 50 ?) (1;2) ?) (–1;0) ?) (2; 4) ?) (0;1) Вопрос id:657893 Найдите решение неравенства ?) (-∞;2] ?) {2} ?) [2;+∞) ?) (-∞;2) ∪ (2; +∞) Вопрос id:657894 Найдите решение неравенства ?) (-∞;-14] ?) [-14; 2) ?) [-6;2) ?) [0; 2) Вопрос id:657895 Найдите решение неравенства ?) (-∞;-6)∪[0;3) ?) (-∞;-6]∪{0} ?) [-6;3] ?) [-6;0]∪(3;+∞) Вопрос id:657896 Найдите решение неравенства ?) (- ∞;2] ?) [2;+ ∞) ?) (1;2] ?) {2} Вопрос id:657897 Найдите сумму всех целых чисел, входящих в область определения функции ?) 6 ?) 10 ?) 15 ?) 20 Вопрос id:657898 Найдите сумму всех целых чисел, входящих в область определения функции ?) 30 ?) 18 ?) 16 ?) 20 Вопрос id:657899 Найдите сумму всех целых чисел, входящих в область определения функции ?) 16 ?) 12 ?) 10 ?) 14 Вопрос id:657900 Найдите сумму корней уравнения ?) –1,25 ?) – 5,25 ?) 2,75 ?) 4 Вопрос id:657901 Найдите сумму целых решений неравенства ?) -1 ?) 1 ?) 0 ?) -2 Вопрос id:657902 Найдите сумму целых решений неравенства ?) 60 ?) 30 ?) 50 ?) 40 Вопрос id:657903 Найдите угловой коэффициент касательной к графику функции у = хlnх в точке х0 =3е ?) 2ln3 ?) 2 + 3ln3 ?) 1 + ln3 ?) 2 + ln3 Вопрос id:657904 Найдите число действительных значений х, лежащих на отрезке [0; 10] и обладающих тем свойством, что числа sinx, sin2x, sin3x являются тремя последовательными членами арифметической прогрессии Вопрос id:657905 Найдите число корней уравнения ?) 6 ?) 12 ?) 10 ?) 8 Вопрос id:657906 Найдите число корней уравнения ?) 2 ?) 0 ?) 3 ?) 1 Вопрос id:657907 Найдите число корней уравнения ?) 0 ?) 1 ?) 3 ?) 2 Вопрос id:657908 Найдите число корней уравнения ctg2x = ctg5x, принадлежащих промежутку [–4; 4] ?) 6 ?) 7 ?) 4 ?) 5 Вопрос id:657909 Найдите число точек разрыва функции ?) 1 ?) 2 ?) 4 ?) 3 Вопрос id:657910 Найдите число целых значений из области определения функции ?) 3 ?) 4 ?) 2 ?) 5 Вопрос id:657911 Найдите число целых значений из области определения функции ?) 4 ?) 2 ?) 1 ?) 3 Вопрос id:657912 Найдите число целых значений функции у = 6,6 · arcos x +1,6 · arcsin x Вопрос id:657913 Найдите число целых решений неравенства ?) 2 ?) 1 ?) 3 ?) 4 Вопрос id:657914 Определите число корней уравнения Вопрос id:657915 Решением неравенства ?) ![]() ?) ![]() ?) ![]() ?) ![]() Вопрос id:657916 Укажите наибольшее из чисел. ?) 40,1 ?) 0,52,8 ?) 0,250,25 ?) 2-0,5 Вопрос id:657917 Укажите номер графика убывающей функции ?) ![]() ?) ![]() ?) ![]() ?) ![]() Вопрос id:657918 Укажите промежуток, которому принадлежит корень уравнения ?) [-2;-1) ?) [-1;-0,5) ?) [0,5; 1,5) ?) [-0,5;0,5) Вопрос id:657919 Укажите функцию, сумма целых значений которой отрицательна ?) ![]() ?) ![]() ?) ![]() ?) ![]() Вопрос id:657920 Упростите ?) ?) ?) ?) 0 Вопрос id:657921 Упростите выражение ?) а3 ?) а2 ?) 1 ?) а Вопрос id:657922 Упростите выражение ?) a3,5 ?) a21 ?) а23,5 ?) a13,75 Вопрос id:657923 На рисунке изображен график ее производной функции
Вопрос id:657924 На рисунке изображен график производной функции y = f(x). В ответе укажите количество точек графика этой функции, в которых касательная параллельна оси Ох.
Вопрос id:657925 На рисунке изображен график производной функции y = f(x). Найдите число промежутков убывания этой функции.
Вопрос id:657926 На рисунке изображен график производной функции y = f(x). Найдите число промежутков возрастания этой функции.
Вопрос id:657927 На рисунке изображен график производной функции y = f(x). Найдите число точек экстремума этой функции.
Вопрос id:657928 На рисунке изображен график производной функции у = f(x). В ответе укажите количество промежутков возрастания этой функции.
Вопрос id:657929 На рисунке изображен график производной функции у = f(x). Найдите число точек минимума этой функции.
|


















