Тесты онлайн, бесплатный конструктор тестов. Психологические тестирования, тесты на проверку знаний.
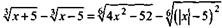
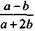
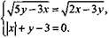
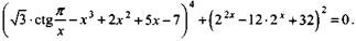
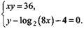
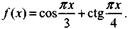
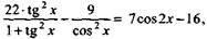
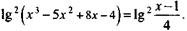
Список вопросов базы знанийАлгебра (школьное обучение)Вопрос id:657980 Найдите корень (или произведение корней, если их несколько) уравнения Вопрос id:657981 Найдите корень (или произведение корней, если их несколько) уравнения Вопрос id:657982 Найдите корень (или произведение корней, если их несколько) уравнения Вопрос id:657983 Найдите корень (или произведение корней, если их несколько) уравнения Вопрос id:657984 Найдите корень (или произведение корней, если их несколько) уравнения Вопрос id:657985 Найдите корень (или произведение корней, если их несколько) уравнения Вопрос id:657986 Найдите корень (или произведение корней, если их несколько) уравнения Вопрос id:657987 Найдите корень (или сумму корней, если их несколько) уравнения Вопрос id:657988 Найдите корень (или сумму корней, если их несколько) уравнения Вопрос id:657989 Найдите наибольшее значение функции Вопрос id:657990 Найдите наибольшее из возможных значений величины Вопрос id:657991 Найдите наибольшее целое значение функции Вопрос id:657992 Найдите наибольшее целое значение функции Вопрос id:657993 Найдите наименьшее значение функции Вопрос id:657994 Найдите наименьшее из возможных значений величины Вопрос id:657995 Найдите наименьшее целое значение функции Вопрос id:657996 Найдите наименьшее целое значение функции Вопрос id:657997 Найдите наименьший, положительный период функции Вопрос id:657998 Найдите площадь фигуры, координаты всех точек которой удовлетворяют условию Вопрос id:657999 Найдите положительный корень (или сумму таких корней, если их несколько) уравнения Вопрос id:658000 Найдите произведение координат всех точек (х; у) на плоскости, для которых выполнено условие Вопрос id:658001 Найдите сумму всех двузначных натуральных чисел, которые при делении на 7 дают в остатке 3. Вопрос id:658002 Найдите сумму всех значений переменных, являющихся решением (или решениями, если их несколько) системы Вопрос id:658003 Найдите сумму всех значений переменных, являющихся решением (или решениями, если их несколько) системы Вопрос id:658004 Найдите сумму всех значений переменных, являющихся решением (или решениями, если их несколько) системы Вопрос id:658005 Найдите число корней уравнения Вопрос id:658006 Найдите число корней уравнения Вопрос id:658007 Найдите число корней уравнения Вопрос id:658008 Найти значение выражения Вопрос id:658009 Найти значение выражения Вопрос id:658010 Нечетная функция y = f(x) определена на всей числовой прямой. Для каждого неотрицательного значения аргумента х значение этой функции на 1 меньше, чем значение функции Вопрос id:658011 Основание прямой призмы является ромб, причем площади диагональных сечений равны 9,6 и 4. Найдите площадь боковой поверхности призмы. Вопрос id:658012 Основанием пирамиды FABC является правильный треугольник ABC со стороной 12. Боковое ребро FA длиною 15 Вопрос id:658013 Основанием пирамиды FABC является прямоугольный треугольник ABC с гипотенузой АВ = 15. Тангенс угла ВАС равен Вопрос id:658014 Основанием пирамиды является треугольник, две стороны которого 4 и Вопрос id:658015 Радиусы вписанной и описанной около прямоугольного треугольника окружностей равны соответственно 3 и 11. Найдите площадь треугольника. Вопрос id:658016 Ребенок заболеет менингитом, если в его организме окажется не менее 10000 бактерий нейсерии менингита. Если заранее не сделана соответствующая прививка, то каждые два дня число попавших в организм бактерий нейсерии утраивается. Если в течении 12 дней после попадания инфекции болезнь не наступает, организм начинает вырабатывать антитела, прекращающие размножение бактерий. Найдите минимальное количество бактерий, которое должно попасть в организм, чтобы ребенок, не прошедший прививку, заболел Вопрос id:658017 Точки касания пятиугольника делят окружность, вокруг которой он описан, на части, длины которых пропорциональны числам: 1, 2, 2, 3, 4. Найдите площадь этого пятиугольника, если известно, что длина радиуса вписанной окружности является наименьшим, положительным корнем уравнения Вопрос id:658018 Точки касания треугольника делят окружность, в которую он вписан, на дуги, длины которых образуют арифметическую прогрессию. Разность прогрессии составляет 20% от длины наибольшей дуги. Найдите площадь этого треугольника, если известно, что длина радиуса описанной окружности является наименьшим, положительным корнем уравнения r4 –6r2 +6 = 0. Вопрос id:658019 Точки касания четырехугольника делят окружность, вокруг которой он описан, на дуги, длины которых образуют возрастающую арифметическую прогрессию. Разность прогрессии составляет 40% от длины второй по величине дуги. Найдите площадь этого четырехугольника, если известно, что длина радиуса вписанной окружности является наибольшим, положительным корнем уравнения Вопрос id:658020 Функция у = f(x) определена на всей числовой прямой и является периодической с периодом, равным 10. Известно, что f(1) = 1, f(5) = 3 и на отрезке [1;5] функция является линейной. Найдите значение функции f (24). Вопрос id:658021 Числа а и b выбраны таким образом, что верно равенство Вопрос id:658022 Найдите ординату точки (или произведение ординат, если точек несколько) на плоскости, координаты (х,у) которых удовлетворяют условиям
Вопрос id:658023 Найдите ординату точки (или произведение ординат, если точек несколько) на плоскости, координаты (х; у) которых удовлетворяют условиям
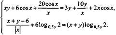
Вопрос id:658024 Найдите число решений системы уравнений
Вопрос id:658025 Найдите число решений системы уравнений
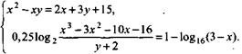
Вопрос id:658026 Пусть (х0; у0) - решение системы Найдите произведение Вопрос id:658027 В кубе ABCDA1B1C1D1 на серединах ребер AD и DC заданы соответственно точки М и N. Точка L лежит на ребре СС1, причем CL : LC1 = 1 : 5. Площадь круга, вписанного в каждую грань куба, равна 11. Вокруг куба описан шар. Определите площадь круга – сечения шара плоскостью, проходящей через точки М, N, L Вопрос id:658028 В параллелепипеде ABCDA1B1C1D1 длины сторон основания ABCD равны АВ = 9, AD=12, причем Вопрос id:658029 В прямоугольном параллелепипеде ABCDA1B1C1D1 АВ = 6 м, ВС = 8 м, |
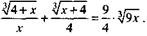
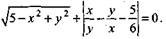
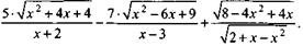
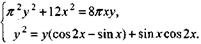
Copyright tests.ithead.ru 2013-2026



