Список вопросов базы знанийАлгебра (школьное обучение)Вопрос id:657930 На рисунке изображен график производной функции у = f(x). Найдите число точек, в которых тангенс угла наклона касательной к этой функции равен 2.
Вопрос id:657931 Найдите корень (или сумму корней, если их несколько) уравнения
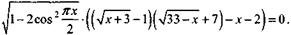
Вопрос id:657932 Найдите корень (или сумму корней, если их несколько) уравнения
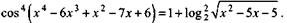
Вопрос id:657933 Найдите корень (или сумму корней, если их несколько) уравнения
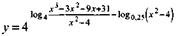
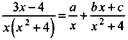
Вопрос id:657934 Найдите корень (или сумму корней, если их несколько) уравнения
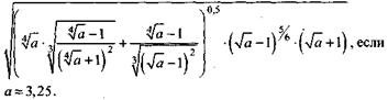
Вопрос id:657935 Найдите корень (или сумму корней, если их несколько) уравнения
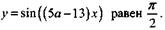
Вопрос id:657936 Найдите наименьший, положительный период функции
Вопрос id:657937 Найдите произведение координат всех точек (х;у) на плоскости, для которых выполнено условие
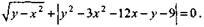
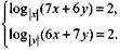
Вопрос id:657938 Найдите сумму всех значений переменных, являющихся решением (или решениями, если их несколько) системы
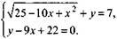
Вопрос id:657939 Найдите сумму всех значений переменных, являющихся решением (или решениями, если их несколько) системы
Вопрос id:657940 Найдите сумму всех значений переменных, являющихся решением (или решениями, если их несколько) системы
Вопрос id:657941 Найдите сумму модулей всех значений переменных, являющихся решением (или решениями, если их несколько) системы
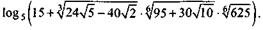
Вопрос id:657942 Найти значение выражения
Вопрос id:657943 Функция y = f(x) определена на интервале (–6; 4). На рисунке изображен график ее производной. Найдите точку а, в которой функция у = f(x) принимает наибольшее значение.
Вопрос id:657944 Функция y=f(x) определена на промежутке (-6; 5). На рисунке изображен график ее производной. Найдите длину промежутка убывания этой функции.
Вопрос id:657945 В 915 в северном направлении вышел пешеход, скорость которого составила 4 километра в час. Через некоторое время из того же пункта на запад вышел другой пешеход. Определите, через какое количество минут после выхода первого пешехода вышел второй пешеход время его выхода, если в 113 расстояние между пешеходами было 9,75 километра, а в 1300 – 18,75 километра. Вопрос id:657946 В конус, осевое сечение которого есть равносторонний треугольник, вписан шар. Найдите объем конуса, если объем шара равен 8. Вопрос id:657947 В конусе с диаметром основания 8 и высотой 3 из точки основания А проведена образующая l и диаметр d1. Второй диаметр d2 образует с диаметром d1 угол 60°. Найдите расстояние между образующей l и диаметром d2. Вопрос id:657948 В параллелограмме ABCD сторона АВ равна 10 и точка М делит сторону AD пополам. Через точки А и М проведена окружность с диаметром AM, причем точка В лежит вне этой окружности. Найдите сторону AD, если ВМ = 8 и площадь четырехугольника BCDM равна 72. Вопрос id:657949 В правильной призме ABCDA1B1 D1 со стороной основания 3 и высотой Вопрос id:657950 В правильной призме ABCDA1B1 D1 со стороной основания 72 и высотой 63 точка Е лежит на ребре AD таким образом, что СЕ является биссектрисой треугольника ACD. Найдите расстояние от точки Е до плоскости В1CD1. Вопрос id:657951 В прямоугольнике ABCD со сторонами АВ = 10 и ВС = 16,5 точка L является серединой АВ. На стороне AD последовательно расположены точки М и N таким образом, что AM : MN : ND =1 : 17 : 15. Найдите площадь треугольника MNP, где Р – точка пересечения отрезков LN и СМ. Вопрос id:657952 В прямоугольном параллелепипеде ABCDA1B1 D1 заданы длины сторон АВ = 5, ВС =12, Вопрос id:657953 В треугольник ABC вписана окружность радиуса 2, которая делит отрезок АС на части с длинами 5 и 4. Найдите площадь треугольника ABC. Вопрос id:657954 Водитель проехал первый из трех кругов гонки со скоростью, на 19,8 меньше запланированной. Для того, чтобы приехать в запланированное время, он на каждом из последующих двух кругов увеличивал фактическую скорость на 15%. Определите запланированную скорость водителя. Вопрос id:657955 Вычислите Вопрос id:657956 Дан параллелограмм ABCD. Высота ВН пересекает диагональ АС в точке К. Найдите длину отрезка АК, если АВ=10, ВС = 24 и АС = Вопрос id:657957 Дан параллелограмм ABCD. Высота ВН пересекает диагональ АС в точке К. Найдите длину отрезка ВК, если АВ = 50, ВС = 40 и Вопрос id:657958 Дана призма ABCA1B1 , в основании которой лежит равнобедренный прямоугольный треугольник с прямым углом С, а боковые ребра наклонены к плоскости основания под углом, синус которого равен 0,6. Отрезок С1А перпендикулярен плоскости основания и равен 3. Площадь боковой поверхности призмы обозначим S. Найдите целое, для которого выполнено условие Вопрос id:657959 Если к четырем числам а, b, с, d, составляющим геометрическую прогрессию, прибавить соответственно 1, 16, 4 и 46, то получатся 4 числа, составляющие арифметическую прогрессию. Найдите сумму чисел а, b, с, d. Вопрос id:657960 Задана арифметическая прогрессия с первым членом 2 и разностью 5, а также геометрическая прогрессия с первым членом 1 и знаменателем 2. Найдите сумму первых четырех совпадающих членов этих прогрессий. Вопрос id:657961 Задана арифметическая прогрессия с первым членом 3 и разностью 4, а также другая арифметическая прогрессия с первым членом 4 и разностью 5. Найдите сумму первых 11 совпадающих членов этих арифметических прогрессий. Вопрос id:657962 Из пунктов А и В навстречу друг другу в 1020 вышли катер и буксир. Двигаясь с постоянными скоростями, они встретились в 1300, после чего продолжили движение. В 1340 катер прибыл в пункт В. Найдите количество минут, которые был в пути из пункта В в пункт А буксир. Вопрос id:657963 Известно, что произведение суммы цифр двузначного числа на разность этих цифр равно 48. Найдите это двузначное число (или сумму таких двузначных чисел, если их несколько). Вопрос id:657964 Известно, что произведение суммы цифр двузначного числа на разность этих цифр равно 55. Найдите это двузначное число (или сумму таких двузначных чисел, если их несколько). Вопрос id:657965 Найдите в точке экстремума функции Вопрос id:657966 Найдите в точке экстремума функции Вопрос id:657967 Найдите значение выражения abc, если равенство Вопрос id:657968 Найдите значение выражения Вопрос id:657969 Найдите значение выражения Вопрос id:657970 Найдите значение выражения ![]() Вопрос id:657971 Найдите значение выражения ![]() Вопрос id:657972 Найдите значение параметра а (или произведение таких значений, если их несколько), при которых наименьший, положительный период функции Вопрос id:657973 Найдите значение параметра а (или произведение таких значений, если их несколько), при которых наименьший, положительный период функции Вопрос id:657974 Найдите значение параметра а (или произведение таких значений, если их несколько), при которых наименьший, положительный период функции Вопрос id:657975 Найдите значение параметра а (или сумму таких значений, если их несколько), для которых уравнение Вопрос id:657976 Найдите значение функции f(15) , если известно, что функция y = f (х) – нечетная, имеет период 8 и на отрезке [0;4] функция имеет вид у = 12х-3х2. Вопрос id:657977 Найдите значение функции g(4), если известно, что f(2x – 1) = x – 3 и f(g(x)) = 2x – 5. Вопрос id:657978 Найдите значение функции Вопрос id:657979 Найдите корень (или произведение корней, если их несколько) уравнения 3x + 63 = 72lоg2x. |






