Тесты онлайн, бесплатный конструктор тестов. Психологические тестирования, тесты на проверку знаний.
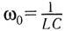
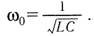
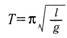
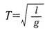
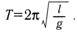
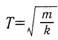
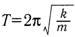
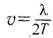
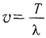
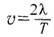
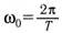
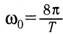
Список вопросов базы знанийФизика (11 класс)Вопрос id:974356 Колебательным движением называется ___ повторение движений тела через определенный промежуток времени ?) частое ?) постоянное ?) периодическое ?) временное Вопрос id:974357 Координата колеблющегося тела изменяется в пределах от 10 до 30 см. Амплитуда колебаний равна ___ см ?) 10 ?) 5 ?) 20 ?) 30 Вопрос id:974358 Координата тела, совершающего свободные колебания, меняется с течением времени по___ закону ?) экспонтенциальному ?) синусоидальному ?) тангенциальному ?) логарифмическому Вопрос id:974359 Математический маятник колеблется с частотой 0,1 кГц. Маятник совешит 10 полных колебаний в течение ___ с ?) 1 ?) 0,01 ?) 10 ?) 0,1 Вопрос id:974360 Материальная точка, подвешенная на невесомой и нерастяжимой нити, находящейся в поле тяжести Земли, называется___ маятником ?) сложным ?) пружинным ?) математическим ?) простым Вопрос id:974361 Минимальный промежуток времени, через который движение тела полностью повторяется, называется___ колебания ?) частотой ?) амплитудой ?) фазой ?) периодом Вопрос id:974362 Модуль наибольшего смещения тела от положения равновесия называется ___ гармонических колебаний ?) фазой ?) периодом ?) амплитудой ?) частотой Вопрос id:974363 Незатухающие колебания тела возможны при отсутствии силы ?) тяжести ?) трения ?) отталкивания ?) упругости Вопрос id:974364 Незатухающие периодические колебания, возникающие в колебательной системе под воздействием внешней периодической силы, называются___ колебаниями ?) гармоническими ?) тепловыми ?) свободными ?) вынужденными Вопрос id:974365 Неподвижный сердечник с размещенной в нем обмоткой называется___ генератора ?) ротором ?) статором ?) контактами ?) якорем Вопрос id:974366 Нить математического маятника отклонили на небольшой угол и отпустили без толчка. Кинетическая энергия маятника достигнет максимума через ___периода ?) 1/16 ?) 1/4 ?) 1/8 ?) 1/2 Вопрос id:974367 Отраженный от объекта радиосигнал возвратился к радиолокатору через 200 мкс. Расстояние от антенны радиолокатора до объекта равно___м ?) 3 · 104 ?) 6 · 106 ?) 3 · 106 ?) 6 · 104 Вопрос id:974368 Период колебаний пружинного маятника равен 0,005 с. Частота колебаний равна ?) 0,5 Гц ?) 2 кГц ?) 0,2 кГц ?) 5 кГц Вопрос id:974369 Период колебаний пружинного маятника равен 1 с., масса груза - 100 г, примерная жесткость пружины равна ___ Н/м ?) 0,6 ?) 0,4 ?) 6 ?) 4 Вопрос id:974370 Период колебания нитяного маятника зависит от ?) массы тела ?) длины нити ?) амплитуды колебаний ?) начального положения тела Вопрос id:974371 Период колебания тела на пружине зависит от___ ?) жесткости пружины ?) ускорения свободного падения ?) амплитуды колебаний ?) длины пружины Вопрос id:974372 Период свободных колебаний в колебательном контуре определяется по формуле ?) ![]() ?) ![]() ?) ![]() ?) ![]() Вопрос id:974373 Период свободных колебаний в колебательном контуре определяется формулой ?) Фарадея ?) Томсона ?) Герца ?) Макссвелла Вопрос id:974374 Период собственных колебаний нитяного маятника определяется формулой ?) ![]() ?) ![]() ?) ![]() ?) ![]() Вопрос id:974375 Период собственных колебаний пружинного маятника определяется формулой ?) ![]() ?) ![]() ?) ![]() ?) ![]() Вопрос id:974376 Периодические изменения физической величины в зависимости от времени, происходящие по закону синуса или косинус, называются___ колебаниями ?) гармоническими ?) вынужденными ?) свободными ?) тепловыми Вопрос id:974377 Периодическое повторение механических движений тела через определенный промежуток времени называется ___ движением ?) тепловым ?) криволинейным ?) прямолинейным ?) колебательным Вопрос id:974378 Подвешенное на нити или закрепленное на оси тело, которое может совершать колебания под действием силы тяжести, называется ?) рычагом ?) анкером ?) воротом ?) маятником Вопрос id:974379 Полная энергия колеблющегося тела при отсутствии сил трения ?) изменяется ?) мнимая ?) не изменяется ?) равна нулю Вопрос id:974380 При гармонических колебаниях вдоль оси ОХ координата тела меняется по закону (м). Частота колебаний тела равна ___ Гц?) 10 ?) ![]() ?) 20 ?) 50 Вопрос id:974381 При максимальном отклонении нити маятника от вертикального положения полное ускорение шарика направлено ?) по нити ?) горизонтально ?) вертикально ?) перпендикулярно нити Вопрос id:974382 При прохождении электромагнитных волн в воздухе происходят колебания ?) Напряженности электрического и индукции магнитных полей ?) Концентрации кислорода ?) Молекул воздуха ?) Плотности воздуха Вопрос id:974383 При резонансе изменение амплитуды колебаний колебательной системы в зависимости от частоты зависит от ?) расположения системы ?) коэффициента трения ?) действия внутренних сил ?) величины внешней силы Вопрос id:974384 При увеличении активного сопротивления колебательного контура максимальное значение силы тока при резонансе ?) стремится к бесконечности ?) увеличивается ?) стемится к нулю ?) уменьшается Вопрос id:974385 При установившихся вынужденных колебаниях частота колебаний системы ___ внешней силы частоте(ы) ?) равна ?) не зависит от ?) больше ?) не равна Вопрос id:974386 Приемная вакуумная электронная трубка, в которой видеосигнал преобразуется в видимое изображение на экране, называется ?) светоскопом ?) иконоскопом ?) кинескопом ?) монитором Вопрос id:974387 Простейшая колебательная система, состоящая из конденсатора и катушки индуктивности, присоединенной к его обкладкам, называется ?) колебательным контуром ?) детектором ?) усилителем ?) трансформатором Вопрос id:974388 Процесс выделения из модулированных колебаний высокой частоты низкочастотные колебания называется ?) усилением ?) детектированием ?) умножением ?) модуляцией Вопрос id:974389 Пружина, соединенная с металлическим шариком и закрепленная в вертикальном положении, растягивается под действием силы ___, действующей на шарик ?) архимеда ?) тяжести ?) упругости ?) трения Вопрос id:974390 Путь, пройденный шариком математического маятника за некоторое время, равен 16 А, где А – амплитуда колебаний. Время равно ___периодам ?) 8 ?) 16 ?) 4 ?) 2 Вопрос id:974391 Расстояние между ближайшими друг к другу точками волны, колеблющимися в одинаковых фазах, называется___ волны ?) длиной ?) амплитудой ?) частотой ?) скоростью Вопрос id:974392 Резонанс в электрическом колебательном контуре выражен отчетливо при малом___ сопротивлении ?) индуктивном ?) емкостном ?) активном ?) полном Вопрос id:974393 Резонанс в электрическом колебательном контуре наступает при___колебаниях в контуре ?) затухающих ?) гармонических ?) вынужденных ?) свободным Вопрос id:974394 Силы, действующие между телами колебательной системы, называются ___ силами ?) внешними ?) внутренними ?) произвольными ?) относительными Вопрос id:974395 Силы, действующие на тела системы со стороны тел, не входящих в нее, называются___ силами ?) внешними ?) внутренними ?) произвольными ?) относительными Вопрос id:974396 Системы, в которых генерируются незатухающие колебания за счет поступления энергии от источника внутри системы, называются___системами ?) автоколебательными ?) пространственными ?) автоматическими ?) генерирующими Вопрос id:974397 Скорость распространения механической волны определяется по формуле ?) ![]() ?) ![]() ?) ![]() ?) ![]() Вопрос id:974398 Слои ионизированного газа в верхних частях атмосферы на высоте 100-300 км над поверхностью Земли представляют ?) стратосферу ?) топосферу ?) ионосферу ?) озоносферу Вопрос id:974399 Смещение шарика маятника от положений равновесия изменяется со временем под действием составляющей силы ?) тяжести ?) трения ?) притяжения ?) упругости Вопрос id:974400 Собственная циклическая частота колебаний системы определяется формулой ?) ![]() ?) ![]() ?) ![]() ?) ![]() Вопрос id:974401 Стандартная частота промышленного переменного тока равна ___ Гц ?) 120 ?) 60 ?) 100 ?) 50 Вопрос id:974402 Телевизионные радиосигналы могут быть переданы в диапазоне___ волн ?) средних ?) длинных ?) ультракоротких ?) коротких Вопрос id:974403 Угол отклонения маятника от положения равновесия в данный момент времени называется ___колебаний маятника ?) частотой ?) амплитудой ?) периодом ?) фазой Вопрос id:974404 Ультракороткие радиоволны имеют длины волн ___ м ?) более 10 ?) более 100 ?) менее 20 ?) менее 10 Вопрос id:974405 Устройство, предназначенное для преобразования переменного тока, при котором напряжение увеличивается или уменьшается в несколько раз, называется ?) генератором ?) усилителем ?) преобразователем ?) трансформатором |
Copyright tests.ithead.ru 2013-2026












(м). Частота колебаний тела равна ___ Гц







