Тесты онлайн, бесплатный конструктор тестов. Психологические тестирования, тесты на проверку знаний.
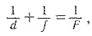
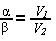
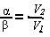
Список вопросов базы знанийФизика (11 класс)Вопрос id:977027 ___показатель преломления среды – показатель преломления среды относительно вакуума, равный отношению синуса угла падения к синусу угла преломления при переходе светового луча из вакуума в данную среду Вопрос id:977028 ___решетка – совокупность большого числа очень узких щелей, разделенных непрозрачными промежутками Вопрос id:977029 ___волны – электромагнитные волны с длиной волны меньшей, чем у фиолетового света Вопрос id:977030 ___линза – линза, ограниченная двумя выпуклыми сферическими поверхностями Вопрос id:977031 ___называется явление изменения направления распространения света через границу двух сред Вопрос id:977032 ___показатель преломления – постоянная величина, равная отношению синуса угла падения к синусу угла преломления Вопрос id:977033 ___света происходит при переходе атома из стационарного состояния с меньшей энергией в стационарное состояние с большей энергией Вопрос id:977034 ___– излучение, при котором падающий на вещество свет частично отражается, а частично поглощается, после чего тело начинает само светиться Вопрос id:977035 ___– излучение, при котором энергия, необходимая атомам для излучения света, может заимствоваться и из нетепловых источников Вопрос id:977036 ___– прибор, действие которого основано на явлении интерференции Вопрос id:977037 ___– прозрачное тело из оптического или органического стекла, ограниченное сферическими поверхностями Вопрос id:977038 ___– свечение твердых тел, вызванное бомбардировкой их электронами Вопрос id:977039 ___– ядро атома водорода, имеющее положительный заряд, равный по модулю заряду электрона Вопрос id:977040 ___–– пучок прозрачных гибких волокон цилиндрической формы, покрытых оболочкой из прозрачного материала с меньшим, чем у волокна, показателем преломления Вопрос id:977041 ___– раздел физики, в котором рассматриваются закономерности излучения, поглощения и распространения света Вопрос id:977042 ___волны – электромагнитные волны, которые вызывают нагрев тела Вопрос id:977043 ___линза – линза, ограниченная выпуклой сферической поверхностью и плоскостью Вопрос id:977044 ___линза – линза, ограниченная двумя вогнутыми сферическими поверхностями Вопрос id:977045 Абсолютный показатель преломления зависит от состояния среды ?) температуры ?) наличия упругих напряжений ?) плотности ?) расположения Вопрос id:977046 Абсолютный показатель преломления некоторой прозрачной среды, в которой распространяется световая волна с длиной волны м и частотой 4 • 1014 Гц, равен?) 1,33 ?) 1,20 ?) 1,50 ?) 1,25 Вопрос id:977047 В естественном свете колебания напряженности электрического поля и магнитной индукции происходят по всем направлениям, которые ___направлению распространения волныВопрос id:977048 В опыте Резерфорда по взаимодействию α - частиц с веществом электроны не оказывают заметного влияния на рассеяние α -частиц. Объясняется это тем ?) различием зарядов α-частицы и электрона ?) беспорядочным движением электронов в веществе ?) чем масса электрона во много раз меньше массы α-частицы ?) что взаимодействие между электроном и α-частицей является электромагнитным Вопрос id:977049 В формуле тонкой линзы перед членом ставится знак «___», если изображение действительноеВопрос id:977050 В формуле тонкой линзы перед членом ставится знак «___», если изображение мнимоеВопрос id:977051 В формуле тонкой линзы перед членом ставится знак «минус», если изображениеВопрос id:977052 В формуле тонкой линзы перед членом ставится знак «плюс», если изображениеВопрос id:977053 Величина, обратная фокусному расстоянию, называется оптической___ линзы Вопрос id:977054 Вогнуто-выпуклая линза – линза, ограниченная ___ и вогнутой сферическими поверхностями Вопрос id:977055 Волновому механическому движению присущи явления ___ ?) интерференции ?) поляризации ?) преломления ?) дифракции Вопрос id:977056 Волны от различных источников света___ когерентными Вопрос id:977057 Волоконная оптика применяется ___ ?) для передачи телевизионного изображения ?) на электростанциях ?) в шахтах ?) в медицине Вопрос id:977058 Вследствие интерференции происходит ___ в пространстве ?) изменение яркости изображения ?) затемнение картины ?) перенос вещества ?) перераспределение энергии Вопрос id:977059 Газ ___наиболее интенсивно свет тех длин волн, которые он испускает в сильно нагретом состоянии Вопрос id:977060 Газ поглощает наиболее интенсивно свет тех длин волн, которые он___ в сильно нагретом состоянии Вопрос id:977061 Дисперсия – зависимость показателя ___света от частоты колебаний ?) поглощения ?) преломления ?) отражения ?) яркости Вопрос id:977062 Дифракционная решетка имеет ряд параллельных щелей шириной а каждая, щели разделены непрозрачными промежутками шириной b. Угол φ к нормали, под которым наблюдается первый дифракционный максимум, определяется условием ?) a sin φ = λ/2 ?) (a + b) sin φ = λ ?) b sin φ = λ/2 ?) (a + b) sin φ = λ/2 Вопрос id:977063 Дифракционная решетка освещается зеленым светом. При освещении решетки красным светом картина дифракционного спектра ?) исчезнет ?) расширится ?) не изменится ?) сузится Вопрос id:977064 Дифракционные картины от одной щели и от пропускающей дифракционной решетки со штрихами такого же размера непохожи, потому что ?) ширина решетки значительно больше ?) прошедшие решетку световые пучки интерферируют друг с другом ?) совпадать должны ширина щели и период решетки ?) энергия светового потока, прошедшего через решетку, значительно больше Вопрос id:977065 Дифракция механических волн проявляется особенно отчетливо в случаях, когда размеры препятствий ___ ?) сравнимы с длиной волны ?) больше длины волны ?) равны нулю ?) меньше длины волны Вопрос id:977066 Длина волны рентгеновского излучения ___ длины волны ультрафиолетового излучения Вопрос id:977067 Длины волн линейчатого спектра вещества___ от способа возбуждения свечения атомов Вопрос id:977068 Для получения рентгеновских лучей разработано устройство, называемое ?) счетчиком Гейгера ?) рентгеновской трубкой ?) вакуумным диодом ?) камерой Вильсона Вопрос id:977069 Для построения изображения точки можно использовать любые два луча, ход которых через линзу известен: луч, который ___ ?) проходит через фокус ?) проходит через оптический центр ?) падает на линзу параллельно главной оптической оси ?) проходит перпендикулярно главной оптической оси Вопрос id:977070 Для того, чтобы первый дифракционный максимум для света с длиной волны 0,5 мкм наблюдался под углом 30° к нормали, дифракционная решетка должна иметь на 1 мм количество штрихов, равное ?) ![]() ?) 103 ?) 500. ?) ![]() Вопрос id:977071 Для того, чтобы угол преломления получился равным 300 , при условии, что показатель преломления стекла 1,7, угол падения узкого светового пучка на поверхность стекла равен ___ ° ?) 60 ?) 45 ?) 30 ?) 0 Вопрос id:977072 Для тонкой линзы справедливы формулы ?) d + f = F ?) ![]() ?) d + f = D ?) ![]() Вопрос id:977073 Если V1 – скорость электромагнитной волны в первой среде, V2 – ее скорость во второй среде, угол α есть угол падения волны на границу раздела двух сред, – угол преломления, то закон преломления выражается равенством ?) ![]() ?) ![]() ?) ![]() ?) ![]() Вопрос id:977074 Если луч света направлен перпендикулярно разделу двух сред, то луч ___ ?) рассеивается ?) преломляется ?) не преломляется ?) фокусируется Вопрос id:977075 Если тонкая пленка имеет ___толщину, то при освещении ее белым светом появляются различные цвета ?) одинаковую ?) малую ?) большую ?) неодинаковую Вопрос id:977076 Естественный свет является___светом ?) неполяризованным ?) когерентным ?) поляризованным ?) плоскополяризованным |
Copyright tests.ithead.ru 2013-2026
м и частотой 4 • 1014 Гц, равен
и магнитной индукции
происходят по всем направлениям, которые ___направлению распространения волны
ставится знак «___», если изображение действительное
ставится знак «___», если изображение мнимое
ставится знак «минус», если изображение
ставится знак «плюс», если изображение






