Тесты онлайн, бесплатный конструктор тестов. Психологические тестирования, тесты на проверку знаний.
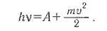
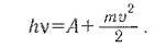
Список вопросов базы знанийФизика (11 класс)Вопрос id:976001 Работа выхода для материала катода вакуумного фотоэлемента равна 1,5 эВ. Катод освещается монохроматическим светом, у которого энергия фотонов равна 3,5 эВ. Запирающее напряжение, при котором фототок прекратится, равно ___ В ?) 5,0 ?) 3,5 ?) 2,0 ?) 1,5 Вопрос id:976002 Работа выхода для материала пластины равна 2 эВ. Пластина освещается монохроматическим светом. Энергия фотонов падающего света, при условии, что максимальная кинетическая энергия фотоэлектронов 1,5 эВ равна ___ эВ ?) 3,5 ?) 0,5 ?) 1,5 ?) 2 Вопрос id:976003 Работа выхода электронов для исследуемого металла равна 3 эВ. Максимальная кинетическая энергия фотоэлектронов, вылетающих с поверхности металлической пластинки под действием света, длина волны которого составляет 2/3 длины волны, соответствующей красной границе фотоэффекта для этого металла, равна ?) 2/3 эВ ?) 2 эВ ?) 3/2 эВ ?) 1 эВ Вопрос id:976004 Работа выхода электронов при увеличении энергии квантов падающего на металлическую поверхность света с 3 эВ-до 5 эВ ?) увеличится на 2 эв ?) увеличится на 5 эв ?) не изменится ?) увеличится на 3 эв Вопрос id:976005 Работа, которую нужно совершить для извлечения электрона из металла, и на сообщение электрону кинетической энергии, называется работой Вопрос id:976006 Радиоактивность сопровождается выделением ___ ?) альфа –лучей ?) гамма- лучей ?) световых лучей ?) энергии Вопрос id:976007 Развитие ядерной энергетики связано с принципиальными проблемами, а именно ?) содействие распространению ядерного оружия ?) размещение АЭС ?) радиоактивные отходы ?) возможность аварий Вопрос id:976008 Разность энергий покоя ядер и частиц до реакции и после реакции, называется ___ выходом ядерной реакции Вопрос id:976009 Расстояние ___ движения тела относительно данной системы отсчета ?) не зависит от скорости ?) не равно произведению времени и скорости ?) равно произведению времени и скорости ?) зависит от скорости Вопрос id:976010 Реакция ___легких ядер при очень высокой температуре называется термоядерной реакцией Вопрос id:976011 Реакция деления ядер урана в природных условиях идет с выделением энергии в ?) замкнутую систему ?) окружающую среду ?) камеру сгорания ?) атмосферу Вопрос id:976012 Реакция деления ядер урана сопровождается выделением ?) большой кинетической энергии ?) нейтронов ?) электрической энергии ?) γ-лучей Вопрос id:976013 Реакция слияния ___ядер при очень высокой температуре называется термоядерной реакцией Вопрос id:976014 Реакция слияния легких ядер при очень высокой температуре называется___ реакцией Вопрос id:976015 Реакция, в которой частицы, вызывающие ее (нейтроны), образуются как продукты этой реакции, называется ___ ядерной реакцией Вопрос id:976016 Реакция, при которой происходит изменение атомных ядер при взаимодействии их с элементарными частицами или друг с другом, называется Вопрос id:976017 Релятивистский закона сложения скоростей заключается в том, что при любых скоростях результирующая скорость ___ света?) превышает скорость ?) не превышает скорость ?) равна скорости ?) не равна Вопрос id:976018 Русский физик ___ впервые измерил давление света на твердые тела и газы (ответ дать только фамилией в им.п.) Вопрос id:976019 С точки зрения квантовой теории, световое давление создается ___, которые при поглощении их телом передают ему свой импульс ?) протонами ?) нейтронами ?) фотонами ?) кварками Вопрос id:976020 Световое давление создается силой Вопрос id:976021 Свободный нейтрон за время около 15 мин распадается ?) нейтрино ?) электрон ?) протон ?) антинейтрино Вопрос id:976022 Свойства света подобные свойствам частиц, обнаруживаемые при излучении и поглощении, называются Вопрос id:976023 Свойства спина элементарных частиц обусловлены ___ природой частиц ?) электрической ?) корпускулярной ?) волновой ?) магнитной Вопрос id:976024 Скорость распространения γ-лучей равна ___ км/с ?) 300000 ?) 200000 ?) 150000 ?) 250000 Вопрос id:976025 След движения быстрой заряженной частицы в газе делается видимым в результате конденсации пересыщенного пара на ионах в ?) пузырьковой камере ?) сцинтилляционном счетчике ?) счетчике Гейгера ?) камере Вильсона Вопрос id:976026 Соли урана самопроизвольно, без каких-либо внешних влияний, создают ___ излучение Вопрос id:976027 Сумма числа протонов и числа нейтронов в ядре называется___ числом Вопрос id:976028 Счетчик Гейгера применяется для регистрации ?) γ – квантов ?) нейтронов ?) фотонов большой мощности ?) электронов Вопрос id:976029 Теоретическая ядерная физика изучает ?) законы Ньютона ?) ядерные реакции ?) физические теории ?) модели атомного ядра Вопрос id:976030 Термоядерная реакция слияния изотопов водорода, дейтерия и трития, в результате чего образуется гелий и излучается нейтрон, имеет вид ?) ![]() ?) ![]() ?) ![]() ?) ![]() Вопрос id:976031 Термоядерной называется реакция слияния легких ядер атомов, происходящая при температурах порядка сотен ___ градусов ?) тысяч ?) миллионов ?) миллиардов Вопрос id:976032 То, что при α-распаде ядро теряет положительный заряд 2е и масса его убывает приблизительно на четыре атомные единицы массы, а элемент смещается на две клетки к началу периодической системы, определяется правилом Вопрос id:976033 То, что процессы природы протекают одинаково во всех инерциальных системах отсчета, определяется___ постулатом СТО (ответ дать словом) Вопрос id:976034 То, что скорость света в вакууме одинакова для всех инерциальных систем отсчета и не зависит ни от скорости источника, ни от скорости приемника светового сигнала, определяется___ постулатом СТО (ответ дать словом) Вопрос id:976035 У тяжелых ядер удельная энергия связи уменьшается за счет растущей с увеличением зарядового числа ___силы отталкивания протонов Вопрос id:976036 Уменьшение массы покоя, сопровождающего деление ядра, эквивалентно выделению Вопрос id:976037 Уменьшение массы при образовании ядра из нуклонов означает, что при этом уменьшается энергия этой системы нуклонов на величину энергии Вопрос id:976038 Управление ядерной реакцией заключается в регулировании скорости размножения ___ в уране ?) свободных нейтронов ?) связанных электронов ?) свободных протонов ?) связанных позитронов Вопрос id:976039 Управляемой термоядерной реакцией является реакция слияния ?) дейтерия с тритием ?) протона с тритием ?) протона с дейтерием ?) урана с тритием Вопрос id:976040 Уравнение ___ для фотоэффекта имеет вид (ответ дать только фамилией в род.п.)Вопрос id:976041 Уравнение Эйнштейна для ___ имеет вид ![]() Вопрос id:976042 Установите соответствие между понятиями
Вопрос id:976043 Установите соответствие понятий
Вопрос id:976044 Установите соответствие понятий
Вопрос id:976045 Установите соответствие понятий
Вопрос id:976046 Установите соответствие понятий
Вопрос id:976047 Установить соответствие
Вопрос id:976048 Установить соответствие
Вопрос id:976049 Установить соответствие
Вопрос id:976050 Установлено, что все химические элементы с порядковым номером более ___ являются радиоактивными ?) 83 ?) 53 ?) 63 ?) 73 |
Copyright tests.ithead.ru 2013-2026
результирующая скорость
___ света



(ответ дать только фамилией в род.п.)