Тесты онлайн, бесплатный конструктор тестов. Психологические тестирования, тесты на проверку знаний.
Список вопросов базы знанийФизика (11 класс)Вопрос id:976303 Расстояние от карандаша до его изображения в плоском зеркале было равно 50 см. Когда карандаш отодвинули от зеркала на 10 см, расстояние между карандашом и его изображением стало равно ___ см ?) 70 ?) 60 ?) 50 ?) 40 Вопрос id:976304 Расстояние от оптического центра линзы до главного фокуса называется___расстоянием линзы Вопрос id:976305 Результат интерференции света на тонкой пленке зависит от ?) угла падения света на пленку ?) длины пленки ?) толщины пленки ?) длины волны света Вопрос id:976306 Рентгеновские лучи излучаются при резком ___ электронов ?) ускорении ?) повороте ?) торможении ?) вращении Вопрос id:976307 Рентгеновские лучи обладают свойствами ?) освещают помещение ?) не отражаются от веществ ?) не испытывают преломления ?) вызывают ионизацию воздуха Вопрос id:976308 Роторы электрических генераторов приводятся во вращение ___ ?) паровыми турбинами ?) солнечными батареями ?) двигателями внутреннего сгорания ?) газовыми турбинами Вопрос id:976310 Свет представляет собой ?) электромагнитную волну ?) поток фотонов ?) поток β - частиц ?) поток α - частиц Вопрос id:976311 Свет строго определенной длины волны называется ___ Вопрос id:976312 Световая волна с колебаниями по всем направлениям, перпендикулярным направлению распространения, называется Вопрос id:976313 Световая волна характеризуется длиной волны, частотой и скоростью распространения. При переходе из одной среды в другую ?) изменяются скорость распространения и длина волны ?) изменяются скорость распространения и частота ?) не изменяется ни один из параметров ?) изменяются длина волны и частота Вопрос id:976314 Световые волны, отраженные от наружной и внутренней поверхностей тонкой пленки ?) красные ?) когерентны ?) синие ?) не когерентны Вопрос id:976316 Свободные колебания математического маятника происходят под действием силы Вопрос id:976318 Свободные колебания пружинного маятника происходят под действием силы___пружины Вопрос id:976320 Сила упругости является причиной возникновения механических волн в ___ ?) вакууме ?) твердых телах ?) воздухе ?) жидкостей Вопрос id:976323 Скорость распространения звуковой волны зависит от ?) температуры среды ?) свойств среды ?) формы источника ?) размеров источника Вопрос id:976324 Скорость света в вакууме ___во всех инерциальных системах отсчета Вопрос id:976325 Скорость света в вакууме является ___скоростью передачи взаимодействий в природе Вопрос id:976326 Скорость света в среде с показателей преломления n = 1,5 примерно равна ___ км/с ?) 300 000 ?) 450 000 ?) 150 000 ?) 200 000 Вопрос id:976327 Собственная частота колебаний колебательного контура тем ___, чем меньше индуктивность контура Вопрос id:976328 Собственная частота колебаний колебательного контура тем меньше, чем ___емкость контура Вопрос id:976329 Собственная частота колебаний пружинного маятника зависит от ___ ?) Силы тяжести ?) массы груза ?) жесткости пружины ?) трения Вопрос id:976330 Собственная частота колебательного контура зависит от ?) емкости конденсатора ?) положения выключателя ?) сопротивления проводов ?) индуктивности катушки индуктивности Вопрос id:976331 Собственная частота математического маятника зависит от ___ ?) массы тела ?) длины нити ?) ускорения свободного падения тела ?) трения Вопрос id:976332 Согласно принципу Гюйгенса, каждая точка среды, до которой дошло возмущение, создаваемое волной, сама становится источником ___волн Вопрос id:976333 Способность атомов к излучению и поглощению энергии правильно описывает утверждение: атомы могут ?) излучать любую порцию энергии, а поглощать лишь некоторый дискретный набор значений энергии ?) поглощать любую порцию энергии, а излучать лишь некоторый дискретный набор значений энергии ?) излучать и поглощать лишь некоторый дискретный набор значений энергии ?) излучать и поглощать любую порцию энергии Вопрос id:976334 Среда с меньшим абсолютным показателем преломления называется оптически___ плотной средой Вопрос id:976335 Среди приведенных примеров электромагнитных волн максимальной длиной волны обладает ?) излучение антенны радиопередатчика ?) ультрафиолетовое излучение Солнца ?) инфракрасное излучение Солнца ?) излучение γ-радиоактивного препарата Вопрос id:976336 Среди приведенных примеров электромагнитных волн минимальной длиной волны обладает ?) излучение γ-радиоактивного препарата ?) инфракрасное излучение Солнца ?) излучение антенны радиопередатчика ?) ультрафиолетовое излучение Солнца Вопрос id:976339 Точечный источник света находится на двойном фокусном расстоянии от центра рассеивающей линзы на главной оптической оси. Если фокусное расстояние F = 9 см, то изображение этого источника будет находиться на расстоянии f от центра рассеивающей линзы, равном ___ см ?) 18 ?) 12 ?) 9 ?) 6 Вопрос id:976340 Траектория частицы в магнитном поле-___ - при постоянной скорости частицы в однородном магнитное поле и скорость частицы, перпендикулярной вектору индукции магнитного поля Вопрос id:976341 Трансформатор ___ напряжение в линии во столько раз, во сколько уменьшает силу тока Вопрос id:976342 Три одинаковые катушки включены последовательно в электрическую цепь постоянного тока. Катушка 1 без сердечника, в катушке 2 – сердечник из кобальта, в катушке 3 – сердечник из трансформаторной стали. Магнитная проницаемость воздуха равна 1, кобальта – 175, трансформаторной стали – 8000. Индукция магнитного поля будет наименьшей в ___катушке(ах) ?) первой ?) второй ?) в первой, второй и третьей ?) третьей Вопрос id:976343 Увеличение массы тем ___, чем скорость движения тела ближе к скорости света Вопрос id:976345 Угол падения α0, соответствующий углу преломления 90°, синус которого равен 1, называется___ углом полного отражения Вопрос id:976347 Уравнения изменения со временем напряжения и силы тока в колебательном контуре имеют вид: u = 20 sin ωt; i = 6·10–2 cos ωt. Емкость конденсатора в контуре - 3 мкФ. Частота ω электромагнитных колебаний равна ___ рад/с ?) 1000 ?) 10 –1 ?) 20 ?) 500 Вопрос id:976348 Условие минимума интерференционной картины определяется равенством ?) ∆d =( 2k+1)• λ/2 ?) ∆d = 2k• λ/2 ?) Sin α/ Sinβ = n2 / n1 ?) d • sin α = k • λ Вопрос id:976349 Установите соответствие
Вопрос id:976350 Установите соответствие
Вопрос id:976351 Установите соответствие
Вопрос id:976352 Установите соответствие
Вопрос id:976353 Установите соответствие
Вопрос id:976354 Установите соответствие
Вопрос id:976355 Установите соответствие
Вопрос id:976356 Установите соответствие
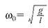
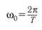
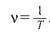
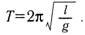
Вопрос id:976357 Установите соответствие
Вопрос id:976358 Установите соответствие
Вопрос id:976359 Установите соответствие
Вопрос id:976360 Установите соответствие
Вопрос id:976361 Установите соответствие
Вопрос id:976362 Установите соответствие
|
Copyright tests.ithead.ru 2013-2026



















, обратная произведению циклической частоты на электрическую емкость конденсатора
, равная произведению циклической частоты на индуктивность