Тесты онлайн, бесплатный конструктор тестов. Психологические тестирования, тесты на проверку знаний.
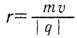
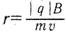
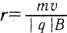
Список вопросов базы знанийФизика (11 класс)Вопрос id:976614 Изменяясь во времени, магнитное поле порождает ?) электрическое поле ?) гравитационное поле ?) потенциальное поле ?) ЭДС индукции Вопрос id:976615 Индуктивность проводника ___ магнитной проницаемости среды, в которой находится проводник ?) зависит от ?) равна ?) обратно пропорциональна ?) не зависит от Вопрос id:976616 Индуктивность проводника ___ тока в проводнике ?) не зависит от силы ?) пропорциональна силе ?) зависит от силы ?) равна силе Вопрос id:976617 Индукционные токи, возникающие в сплошных плоских проводниках, перемещающихся в магнитном поле, называются токами ?) Кюри ?) Эрстеда ?) Фарадея ?) Фуко Вопрос id:976618 Индукционный ток в ___контуре возникает при изменении числа линий магнитной индукции, пронизывающих этот контур ?) незамкнутом не проводящем ?) замкнутом не проводящем ?) замкнутом проводящем ?) незамкнутом проводящем Вопрос id:976619 Индукционный ток своим ___ препятствует изменению магнитного потока, вызывающего данный ток ?) действующим значением ?) электрическим полем ?) магнитным полем ?) тепловым полем Вопрос id:976620 Коэффициент пропорциональности между током в проводящем контуре и магнитным потоком, пронизывающим этот контур, называется ___ контура ?) проводимостью ?) емкостью ?) индуктивностью ?) сопротивлением Вопрос id:976621 Линии индукции магнитного поля тока представляют собой ___ кривые ?) пунктирные ?) незамкнутые ?) штрихпунктирные ?) замкнутые Вопрос id:976622 Линии магнитной индукции однородного магнитного поля ?) параллельны ?) окружности ?) перпендикулярны ?) прямоугольники Вопрос id:976623 Линии напряженности вихревого электрического поля ?) имеют начало ?) имеют окончание ?) не замкнуты ?) замкнуты Вопрос id:976624 Линия, по касательной к которой расположен вектор магнитной индукции в данной точке поля, называется линией?) магнитной индукции ?) потенциалов ?) напряжения ?) зарядов Вопрос id:976625 Магнитная индукция является ?) константой ?) вектором ?) скаляром ?) мнимой величиной Вопрос id:976626 Магнитная проницаемость среды определяется по формуле ?) ![]() ?) ![]() ?) ![]() Вопрос id:976740 Магнитная сила, действующая на проводник с током, достигает максимального значения, когда магнитная индукция ___ проводнику ?) находится под углом к ?) не равна нулю и параллельна ?) равна нулю и перпендикулярна ?) не равна нулю и перпендикулярна Вопрос id:976743 Магнитное поле с замкнутыми силовыми линиями называется ?) круговым ?) вихревым ?) резервным ?) тепловым Вопрос id:976745 Магнитное поле существует ___ пространства, окружающего проводник с током или постоянный магнит ?) вне пространства ?) в отделных точках ?) в отдельных областях ?) во всех точках Вопрос id:976748 Магнитные материалы, в которых при перемагничивании не возникают вихревые токи, называются ?) ферритами ?) феррокерамикой ?) диамагнетиками ?) диэлектриками Вопрос id:976751 Магнитные поля, созданные движущимися электронами в атомах и молекулах, имеют ?) хаотическую ориентацию ?) разную величину индукции ?) одинаковую величину индукции ?) направленную ориентацию Вопрос id:976753 Магнитные свойства любого тела определяются ___ электрическими токами внутри него ?) действительными ?) незакнутыми ?) замкнутыми ?) мнимыми Вопрос id:976756 Магнитный поток 30 мВб, пронизывающий замкнутый контур,убывает до нуля 1,5 · 10 -2 с. Если сопротивление контура равно 4 Ома, сила тока, возникающего в контуре, равна ___ А ?) 5 ?) 0,5 ?) 7,5 ?) 2,5 Вопрос id:976759 Магнитный поток определяется числом линий ___, пронизывающих площадь замкнутого контура ?) магнитного поля ?) магнитной индукции ?) электрического поля ?) электрической напряженности Вопрос id:976762 Максимальным магнитным потоком через площадь замкнутого контура называют величину, равную ___ модуля вектора магнитной индукции и площади контура ?) сумме ?) произведению ?) частному ?) разности Вопрос id:976764 Микроскопические токи, которые возникают в результате движения электронов в атомах и молекулах вещества, называются ___ токами ?) тепловыми ?) молярными ?) механическими ?) молекулярными Вопрос id:976767 Модуль вектора магнитной индукции определяется формулой ?) ![]() ?) ![]() ?) ![]() ?) ![]() Вопрос id:976848 Модуль вектора магнитной индукции проводника с током зависит от ?) силы тока ?) напряженности ?) электрического заряда ?) потенциала Вопрос id:976849 Направление вектора силы Ампера определяется правилом ?) Буравчика ?) Павой руки ?) Левой руки ?) Ленца Вопрос id:976850 Направление индукционного тока в замкнутом проводящем контуре при его движении в магнитном поле определяется правилом ?) Джоуля ?) Ленца ?) Ома ?) Фарадея Вопрос id:976851 Направление силовых линий электрической напряженности совпадает с направлением ?) распространения электромагнитного поля ?) магнитной индукции ?) индукционного тока ?) магнитного потока Вопрос id:976852 Особая форма материи, посредством которой осуществляется взаимодействие между движущимися электрически заряженными частицами, называется ___ полем ?) гравитационным ?) ультрафиолетовым ?) магнитным ?) тепловым Вопрос id:976853 Отношение заряда частицы к ее массе называется ___ зарядом ?) нейтральным ?) положительным ?) удельным ?) отрицательным Вопрос id:976854 Переменное электрическое поле порождает магнитное поле согласно гипотезе ?) Ампера ?) Фарадея ?) Максвелла ?) Эрстеда Вопрос id:976855 Под действием силы Лоренца меняется ___ частицы ?) ускорение ?) масса ?) величина скорости ?) направление скорости Вопрос id:976856 Постоянные магниты создают___поле ?) электромагнитное ?) магнитное ?) тепловое ?) электрическое Вопрос id:976857 Поток магнитной индукции характеризует распределение ___ поля по поверхности, ограниченной замкнутым контуром ?) магнитного ?) электрического ?) теплового ?) электромагнитного Вопрос id:976858 Предельная температура, выше которой исчезают ферромагнитные свойства магнитных материалов, называется температурой ?) Кельвина ?) Кюри ?) плавления ?) кипения Вопрос id:976859 При введении постоянного магнита в замкнутую катушку магнитный поток ?) увеличивается ?) уменьшается ?) не изменяется ?) становится равным нулю Вопрос id:976860 При возрастании температуры ферромагнетики ___ ферромагнитные свойства ?) уменьшают ?) теряют ?) увеличивают ?) приобретают Вопрос id:976861 При движении проводника в магнитном поле перемещение зарядов внутри проводника и ЭДС индукции вызывает сила ?) Кулона ?) Ньютона ?) Ампера ?) Лоренца Вопрос id:976862 При изменении силы тока в проводнике в нем возникает вихревое ___ поле ?) тепловое ?) гравитационное ?) электрическое ?) магнитное Вопрос id:976863 При намагничивании тела изменение индукции магнитного поля вещества происходит ?) при нагревании ?) под действием внешнего магнитного поля ?) при охлаждении ?) без внешних воздействий Вопрос id:976864 Проводник с запасом свободных электронов позволяет обнаружить возникающее ___ поле, которое приводит в движение свободные электроны ?) гравитационное ?) тепловое ?) магнитное ?) электрическое Вопрос id:976865 Процесс превращения звуковых колебаний воздуха в колебания электрического тока осуществляется при помощи ?) телефона ?) динамика ?) громкоговорителя ?) микрофона Вопрос id:976866 Работа вихревого электрического поля при перемещении единичного заряда на замкнутом пути ?) отрицательная ?) положительная ?) равна нулю ?) не равна нулю Вопрос id:976867 Радиус окружности , по которой движется заряженная частица в однородном магнитном поле, равен ?) ![]() ?) ![]() ?) ![]() ?) ![]() Вопрос id:976868 Сила индукционного тока в проводящем контуре пропорциональна скорости изменения ?) напряжения в контуре ?) напряженности электрического поля ?) потенциала проводников ?) магнитного потока Вопрос id:976869 Сила Лоренца действует в магнитном поле на ___ частицу ?) заряженную ?) нейтральную ?) незаряженную ?) элементарную Вопрос id:976870 Сила тока, равная 1 А , создает в контуре магнитный поток, равный 1 Вб, индуктивность контура равна 1 ?) Гаусс ?) Максвелл ?) Тесла ?) Генри Вопрос id:976871 Сила тока, создающего магнитный поток 2 · 10 –2 Вб в контуре индуктивностью 5 мГн, равна ___ А ?) 20 ?) 40 ?) 4 ?) 2 Вопрос id:976872 Сила, действующая на проводник с током в магнитном поле, называется силой ?) Ампера ?) трения ?) тяжести ?) Кулона Вопрос id:976873 Сила, с которой магнитное поле действует на движущуюся заряженную частицу, называется силой ?) Джоуля ?) Лоренца ?) Кулона ?) Ампера |
Copyright tests.ithead.ru 2013-2026
в данной точке поля, называется линией









