Тесты онлайн, бесплатный конструктор тестов. Психологические тестирования, тесты на проверку знаний.
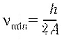
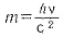
Список вопросов базы знанийФизика (11 класс)Вопрос id:973977 Изотоп водорода с атомной массой 3 называется «___» ?) тритий ?) дейтерий ?) маенетрон ?) протон Вопрос id:973978 Изотоп водорода с относительной атомной массой 2 называется «___» ?) протон ?) дейтерий ?) маенетрон ?) тритий Вопрос id:973979 Изотопы вещества имеют ___заряды атомных ядер ?) маленькие ?) разные ?) одинаковые ?) большие Вопрос id:973980 Изотопы вещества имеют ___массы атомных ядер ?) большие ?) маленькие ?) одинаковые ?) разные Вопрос id:973981 Интенсивность излучения определяется ___ урана в препарате и совершенно не зависит от того, в какие соединения он входит ?) соединением ?) свойствами ?) качеством ?) количеством Вопрос id:973982 Искусственная радиоактивность была открыта ?) Ирен и Фредериком Жолио-Кюри ?) Марией Кюри ?) Э. Резерфордом ?) Жолио Кюри Вопрос id:973983 Корпускулярно-волновой дуализм присущ ?) всем телам ?) микрочастицам ?) отдельным телам ?) нуклонам Вопрос id:973984 Максимальное значение скорости фотоэлектронов определяется формулой ?) ![]() ?) ![]() ?) ![]() ?) ![]() Вопрос id:973985 Мария Склодовская-Кюри и ее муж Пьер Кюри выделили новый, неизвестный ранее химический элемент ___, названный так в честь родины Марии Склодовской-Кюри - Польши ?) радон ?) Полоний ?) стронций ?) плутоний Вопрос id:973986 Масса тела m, двигающегося со скоростью , определяется формулой?) ![]() ?) ![]() ?) ![]() ?) ![]() Вопрос id:973987 Масса фотона, длина волны которого соответствует видимой части спектра λ=600 нм, равна ___ кг ?) 4,68•10 -30 ?) 5,68•10 -25 ?) 8,68•10 -45 ?) 3,68•10 -35 Вопрос id:973988 Масса ядра всегда меньше ___масс нуклонов, из которых оно состоит ?) логаифма ?) суммы ?) разности ?) произведения Вопрос id:973989 Массовое число равно___ числа протонов и числа нейтронов в ядре ?) разности ?) частному от деления ?) произведению ?) сумме Вопрос id:973990 Метод регистрации заряженных частиц с помощью процессов восстановления металлического серебра, называется методом___ фотоэмульсий ?) металлических ?) пластиковых ?) толстослойных ?) тонкослойных Вопрос id:973991 Минимальная энергия, необходимая для полного расщепления ядра на отдельные нуклоны, называется ?) ядерной энергией ?) энергией связи ?) гравитационной энергией ?) электромагнитной энергией Вопрос id:973992 Наименьшая масса делящегося вещества, при которой может протекать цепная ядерная реакция, называется ___ массой ?) опасной ?) неполной ?) полной ?) критической Вопрос id:973993 Напряжение между электродами, при котором сила фототока равна нулю, называется___ напряжением ?) действительным ?) прямым ?) положительным ?) задерживающим Вопрос id:973994 Нейтрон был открыт ученым ?) Гинзбургом ?) Кюри ?) Резерфордом ?) Д. Чедвиком Вопрос id:973995 Объем газа данной массы увеличился в 4 раза. Средняя скорость движения молекул осталась неизменной, давление газа при этом ?) не изменилось ?) уменьшилось в 4 раза ?) увеличилось в 4 раза ?) уменьшилось в 8 раз Вопрос id:973996 Объем идеального газа изобарно увеличился в 2 раза. Работа газа при расширении ?) равна нулю ?) может быть как положительна, так и отрицательна ?) положительна ?) отрицательна Вопрос id:973997 Основное уравнение молекулярно-кинетической теории выражается формулой ?) P = 2/3 nEk ?) P = ρRT/M ?) Ek = 3/2kT ?) P = nkT Вопрос id:973998 Особый тип взаимодействия, присущий большинству элементарных частиц, относится к___ взаимодействиям ?) слабым ?) сильным ?) электромагнитным ?) гравитационным Вопрос id:973999 Отношение числа нейтронов в каком-либо «поколении» к числу нейтронов предшествующего «поколения» называется коэффициентом размножения ?) нейтрино ?) нейтронов ?) электронов ?) протонов Вопрос id:974000 Первый закон термодинамики при адиабатном процессе: изменение внутренней энергии идеального газа равно ?) работе, совершаемой газом ?) работе внешних сил ?) нулю ?) количеству теплоты, переданной газу Вопрос id:974001 Первый закон термодинамики при изохорном процессе: изменение внутренней энергии идеального газа равно ?) нулю ?) работе внешних сил ?) работе, совершаемой газом ?) количеству теплоты, переданной газу Вопрос id:974002 Первым ядром, подвергшимся искусственному преобразованию, было ядро атома ?) водорода ?) кислорода ?) лития ?) азота Вопрос id:974003 Полупроводниковые фотоэлементы получили применение при изготовлении ?) Гальванических батареек ?) Генераторов тока ?) Химических аккумуляторов ?) солнечных батарей Вопрос id:974004 После открытия Планка начала развиваться новая физическая теория ?) атомная ?) молекулярная ?) квантовая ?) электронная Вопрос id:974005 После радиоактивного β-распада элемент смещается на ___ Периодической системы Менделеева ?) одну клетку ближе к концу ?) три клетки ближе к концу ?) одну клетку дальше от конца ?) две клетки ближе к концу Вопрос id:974006 Постоянная Планка равна ___ Дж • с ?) h = 8,63 • 10-34 ?) h = 5,63 • 10-34 ?) h = 6,63 • 10-34 ?) h = 6,63 • 10-30 Вопрос id:974007 Постоянную массу газа в сосуде сжали, совершив работу, равную 30 Дж. Внутренняя энергия газа при этом увеличилась на 25 Дж. Следовательно, газ ?) получил извне количество теплоты, равное 55 Дж ?) получил извне количество теплоты, равное 5 Дж ?) отдал окружающей среде количество теплоты, равное 5 Дж ?) отдал окружающей среде количество теплоты, равное 55 Дж Вопрос id:974008 Поток положительно заряженных полностью ионизированных атомов гелия называется ?) гамма - лучами ?) импульсом ?) альфа - лучами ?) бета-лучами Вопрос id:974009 Превращения ядер подчиняются правилу ___, сформулированному впервые Содди ?) смещения ?) замещения ?) запрещения ?) превращения Вопрос id:974010 Предельная минимальная частота, при которой начинается фотоэффект νmin, выражается так ?) ![]() ?) ![]() ?) ![]() ?) ![]() Вопрос id:974011 Предельная минимальная частота, при которой начинается фотоэффект νmin, называется ___границей фотоэффекта ?) фиолетовой ?) синей ?) зеленой ?) красной Вопрос id:974012 Предельная наибольшая длина волны света, при которой начинается фотоэффект, называется___ границей фотоэффекта ?) зеленой ?) фиолетовой ?) красной ?) синей Вопрос id:974013 Предельная частота vmin фотоэффекта (красная граница) для разных веществ ?) не равна нулю ?) равна нулю ?) одинакова ?) различна Вопрос id:974014 При α-распаде ядро теряет положительный заряд 2е, и масса его убывает приблизительно на ___ атомные(ую) единицы(у) массы ?) две ?) три ?) одну ?) четыре Вопрос id:974015 При α-распаде ядро теряет положительный заряд, равный ?) 2е ?) 4e ?) 1e ?) 6e Вопрос id:974016 При взаимодействии света с веществом проявляются его ___ свойства ?) электромагнитные ?) тепловые ?) корпускулярные ?) волновые Вопрос id:974017 При взаимодействии ядра лития с протоном, внутренняя энергия ядра лития превращается в ___энергию разлетающихся α-частиц ?) потенциальную ?) кинетическую ?) электрическую ?) магнитную Вопрос id:974018 При гамма-излучении заряд ядра радиоактивного вещества ?) не изменяется ?) изменяется ?) уменьшается ?) увеличивается Вопрос id:974019 При движении масса фотона т равна ?) ![]() ?) ![]() ?) ![]() ?) ![]() Вопрос id:974020 При движении тела со скоростью v, эффект замедления времени определяетсяформулой ?) ![]() ?) ![]() ?) ![]() ?) ![]() Вопрос id:974021 При нормальном атмосферном давлении температура кипения бензола 80,4 °С, анилина 184 °С, ртути 357 °С. Вещества расположены в порядке убывания давления их насыщенных паров следующим образом ?) бензол → анилин → ртуть ?) ртуть → анилин → бензол ?) анилин → бензол→ ртуть ?) бензол → ртуть → анилин Вопрос id:974022 При одинаковой температуре 100 °С давление насыщенных паров воды 105 Па, аммиака - 59·105 Па, а ртути - 37 Па. Вещества расположены в порядке возрастания температуры их кипения в открытом сосуде следующим образом ?) вода → ртуть → аммиак ?) аммиак → ртуть→вода ?) ртуть → вода → аммиак ?) аммиак →вода → ртуть Вопрос id:974023 При открытии естественной радиоактивности Беккерель эксперементировал с ___ ?) солями урана ?) радоном ?) платиной ?) алюминием Вопрос id:974024 При поглощении света металлом квант энергии передается одному ?) электрону ?) нейтрону ?) иону ?) атому Вопрос id:974025 При получении фотоэффекта сила фототока зависит от интенсивности ___ света ?) преломленного ?) поляризованного ?) отраженного ?) падающего Вопрос id:974026 При превращении радиоактивных веществ их активность ___с течением времени ?) изменяется ?) убывает ?) не изменяется ?) возрастает |
Copyright tests.ithead.ru 2013-2026




, определяется формулой














